时间序列用于描述某种现象随时间发展变化的特征。在生活和工作中经常需要作出预测。比如,预测一只股票价格的走势,预测下一年度的销售额等。
1、什么是时间序列?
时间序列是同一现象在不同时间上的相继观察值排列而成的序列。
例如,下图是2000-2013年我国人均GDP、啤酒产量和居民消费价格指数的时间序列。
人均GDP就是一个时间序列,可以看出,时间序列包括时间指标和数值指标两个部分。
2、时间序列的描述性分析
描述时间序列最直观的方式就是绘制折线图。在Excel中将上述人均GDP时间序列绘制成折线图如下。
用同样的方式,绘制啤酒销量和居民消费价格指数的折线图。
在上方的折线图中,人均GDP及啤酒产量呈现持续上升的变动趋势,这里提到的趋势其实属于时间序列的一种成分。
居民消费价格指数则不光有趋势成分,还可能有一些其他成分。
3、时间序列的成分
时间序列中常见的成分有四类:趋势、季节性、周期性和随机性。
趋势:时间序列在长时期内呈现出来的某种持续上升或持续下降的变动,称为长期趋势。
季节性:时间序列在一年内重复出现的周期性波动。
周期性:也称循环波动,是时间序列中呈现出来的围绕长期趋势的一种波浪形或震荡式变动,变动周期多在一年以上。
随机性:时间序列中去除趋势、周期性和季节性之后的偶然性波动。
4、时间序列的分类
根据时间序列是否有趋势成分,可以将时间序列分为两类:平稳序列和非平稳序列。
在对时间序列进行预测时,分为以下4步:
确定时间序列的成分找出适合的预测方法评估预测方法利用最佳预测方案进行预测具体操作如下:
1、确定时间序列的成分
确定成分主要是确定趋势成分和季节性成分。
(1)确定趋势成分
确定趋势成分,绘制折线图即可,如前面我们绘制的人均GDP等数据的折线图。
(2)确定季节性
确定季节性,一般是绘制年度折叠时间序列图。
例如,有以下数据,某企业2010-2015年各季度的啤酒销量数据。
年度折叠时间序列图如下。
从上图中可以看出,啤酒销量在前三个季度有上升的趋势,到第4季度出现下降趋势。所以,啤酒销量存在季节性成分。
说明:上方的年度折叠时间序列图通过Excel绘制多条折线图即可实现。
2、找出适合的预测方法
确定了时间序列的成分后,就需要选择适当的预测方法,选择的方法如下图所示。
从上图可以看出,预测方法主要有三类:平滑法预测、趋势预测方法和季节性预测法。
限于篇幅,本文将会介绍其中的两类,平滑法预测和趋势预测法。
3、评估预测方法
选定了某个特定的方法进行预测时,需要评价该方法的准确定,常见的预测误差的方法有以下4种。
4、利用最佳预测方案进行预测
根据选择的预测方案进行预测,前面说过,本文将会介绍其中的两类,平滑法预测和趋势预测法,下面介绍这两种方法。
平滑法预测主要用于平稳序列(只有随机成分)的预测,常用方法有简单平均法、移动平均法和指数平滑法。
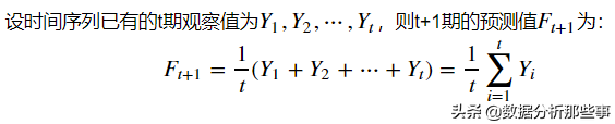
1、简单平均法
根据已有的t期观察值通过简单平均来预测下一期的数值。
例如,针对之前提到的居民消费价格指数数据,采用简单平均法预测2014年的居民消费价格指数。
这里在Excel中通过average求均值即可。
2、移动平均法
通过对时间序列逐期递移求得平均数作为预测值的一种预测方法。
常用的有简单移动平均法:将最近的k期数据加以平均,作为下一期的预测值。
例如,根据居民消费价格指数数据,分别去移动间隔k=3和k=5,预测历史各年份和2014年的居民消费价格指数,计算出预测误差,并将原序列和预测后的序列绘制成图形进行比较。
在Excel中,通过average公式即可求出,这里k=3,也就是说将前面3期的数据加以平均,作为第4期的预测值,所以是从第4期开始预测的。
Excel也提供了移动平均法分析工具,使用方法如下。
(1)在数据分析工具中选择“移动平均”:
(2)在“移动平均”窗口中,这样选择:
注意:输出区域,选择的是2001年所在的行!
(3)确定后,直接给出预测值
从上图中可以看到,用Excel分析工具库得出的结果与公式计算的一致,只是上方有个2个错误值,手动删除即可。
说明:当k=5时,操作方法和k=3类似,这里不再赘述。
根据以上预测的结果,绘制折线图如下。
3、指数平滑法
指数平滑法原理:当利用过去观测值的加权平均来预测未来的观测值时(这个过程称为平滑)。
例如,根据居民消费价格指数数据,选择平滑系数a=0.3和a=0.5,预测历史各年份和2014年的居民消费价格指数,计算出预测误差,并将原序列和预测后的序列绘制成图形进行比较。
Excel也提供了指数平滑法分析工具,使用方法如下。
(1)在数据分析工具中选择“指数平滑”:
(2)在“指数平滑”窗口中,这样选择:
说明:上方的阻尼系数为1-a。
说明:当a=0.5时,操作方法和a=0.3类似,这里不再赘述。
根据以上预测的结果,绘制折线图如下。
趋势预测法分为线性趋势预测和非线性趋势预测。
限于篇幅,这里只介绍线性趋势预测。
例如,根据给出的啤酒产量数据,根据最小二乘法确定直线趋势方程,计算出各期的预测值和预测误差,预测2014年的啤酒产量,并将原序列和各期的预测值序列绘制成图形进行比较。
这里其实就是以年份作为自变量x,以啤酒产量作为y,进行一元线性回归即可。
关于一元线性回归可参考之前的文章统计学中的一元线性回归及其Excel实操。
将原始序列和预测值绘制成折线图如下所示。
总结:
本文主要介绍了关于时间序列分析的三方面的知识:
1、时间序列基础概念
2、时间序列预测的步骤
3、两类预测方法:平滑法预测和趋势预测法。
你是否使用时间序列分析进行过一些预测呢?欢迎留言评论!
版权声明:我们致力于保护作者版权,注重分享,被刊用文章【时间序列分析案例(基于Excel的时间序列分析和预测)】因无法核实真实出处,未能及时与作者取得联系,或有版权异议的,请联系管理员,我们会立即处理! 部分文章是来自自研大数据AI进行生成,内容摘自(百度百科,百度知道,头条百科,中国民法典,刑法,牛津词典,新华词典,汉语词典,国家院校,科普平台)等数据,内容仅供学习参考,不准确地方联系删除处理!;
工作时间:8:00-18:00
客服电话
电子邮件
beimuxi@protonmail.com
扫码二维码
获取最新动态
