来源:微信公众号“前瞻科技杂志”
作者:王大轶(研究员,国家杰青、国防卓青(首届)基金获得者,“973”项目技术首席专家,国务院政府特殊津贴专家,入选国家“百千万人才工程”、国家“万人计划”科技创新领军人才)
文章摘要:
深空探测任务具有探测目标远、飞行时间长、环境变化大等特点,传统的“地面测控站—航天器”大回路运行导航模式在实时性、安全性和可靠性等方面已无法满足任务需求,而自主导航技术是解决这些问题的有效手段,已成为未来深空探测发展的一个重要方向。
为确保任务安全可靠,一般需要对关键的敏感器单机进行冗余容错设计,即采用多源融合的自主导航。
文章分析了航天器多源融合自主导航关键技术的5个方面,包括相对动力学建模方法、可观测性理论、多源融合滤波方法、误差补偿方法和地面实验验证技术,结合自主导航工程实施和技术发展需求,提出未来航天器多源融合自主导航技术发展的趋势和重点。
2013年12月14日,“嫦娥三号”探测器成功着陆于月球虹湾地区,使中国成为第3个有能力独立自主实施月球软着陆的国家。
2019年1月3日,“嫦娥四号”探测器成功着陆于月球背面的冯卡门坑,实现了人类历史上首次对月球背面的软着陆。
2020年12月17日,“嫦娥五号”返回器携带1731 g月壤返回地球,标志着中国圆满完成探月工程“绕、落、回”三步走战略目标。
2021年5月15日,“天问一号”探测器成功着陆于火星乌托邦平原南部,标志着中国星际探测实现了从地月系到行星际的跨越,揭开后续深空探测的新篇章。
深空探测自主导航是整个任务的核心关键,为确保安全可靠,一般需要对关键的敏感器单机进行冗余容错设计,采用微波雷达、激光雷达、光学相机、惯性测量单元等敏感器提供的多源信息进行自主导航。
基于卡尔曼滤波器的自主导航是一种最优递归式的导航信息融合估计过程,可以有效抵抗各种不确定因素影响。
在可观测性理论的指导下设计融合滤波结构和误差补偿算法是实现航天器多源融合自主相对导航的正确途径。
在深空环境下,受限于空间信息获取手段、航天器计算能力和误差校正条件等因素的严重制约,仅依赖后端的融合结构及滤波算法难以实现高精度、快收敛的自主导航,需要在航天器上表征及定量评估系统可观测能力,进而在理论指导下选取最佳的导航敏感器及最优的测量数据段,从根源上提升自主导航系统性能。
因此,实现可观测能力在星上表征、判定及量化是多源融合自主导航技术需要解决的首要基础问题。
多源融合技术是指利用多个同类或异类测量单元的信息,在一定的准则下进行多级别、多层次的信息提取、分析处理和协同融合,最终产生对观测对象的一致性描述。
为提高环境适应能力,需要配置微波雷达、激光雷达以及光学相机等不同种类的导航敏感器,根据不同工作条件、不同任务场景下的测量信息实现多源融合自主导航。
因此,为保证导航系统的安全可靠自主运行,在星上资源约束条件下实现多源异构数据高效融合是极具挑战的难题。
系统误差和随机误差是影响导航精度的关键因素,其中系统误差对估计精度的影响高达80%,必须对其进行校正。
传统的系统误差和随机误差校正方法往往需要进行高维矩阵运算,难以星上自主运行,通常依靠地面支持或者星上装订固定矩阵。
因此,为获得高精度导航结果,在满足星上计算资源约束的前提下,实现系统误差的精确校正和随机误差的有效抑制是亟需解决的关键问题。
本文针对基于航天器可观测性理论的多源融合自主导航相关技术,首先总结归纳了航天器相对动力学模型、可观测性理论,多源融合滤波方法、误差补偿方法以及地面实验验证技术的现有成果,然后结合现有技术的调研结果,分析限制航天器自主相对导航的技术瓶颈,并给出未来发展方向。
相对动力学建模方法
相对动力学建模与分析是航天器自主相对导航的前提,建立物理意义明确且恰当的相对动力学模型能够简化导航系统的设计。
传统的航天器相对动力学模型建立方法是将相对轨道和相对姿态分开讨论的,后来也有将相对轨道与姿态统一建模的方法。
航天器相对轨道动力学航天器相对轨道动力学的研究主要分为直角坐标系法和轨道要素法。直角坐标系法广泛应用于相对轨道制导与控制的研究。
轨道要素法主要用于定量分析摄动影响和设计轨道。
1 直角坐标系法
最经典的方法是Clohessy和Wiltshire在研究航天器轨道交会对接问题时提出的近距离航天器相对轨道运动的线性化动力学方程——C-W方程,也可称为Hill方程或者H-C-W方程。
C-W方程是一种线性化的解析形式,方程形式简单,易于求解解析解,但只适用于近圆轨道,且未考虑摄动力。
Alfriend等设计了考虑地球引力函数的带谐调和项(J2项)的改进型C-W方程。
此外,Tschauner和Hempel研究了能够使用任意偏心率轨道的相对轨道动力学方程——T-H方程。
2 轨道要素法
轨道要素法使用绝对轨道要素或者相对轨道要素来描述航天器间的相对运动。
Baoyin等研究了能描述任意偏心率轨道、任意距离的相对运动模型。
Gurfil通过消除密切约束非密切轨道根得到轨道要素差,并以此来描述相对运动,这一方法能便利地研究一阶小扰动对相对轨道要素的长期影响。
2016年德国宇航中心在AVANTI实验中采用相对轨道要素法来构建导航状态方程。
Montenbruck等总结轨道要素法的优点是能清晰地描述相对运动的集合特征,因此非常适用于卫星编队构型设计和相对导航模型构建。
航天器相对姿轨一体化动力学传统的相对运动是分别研究轨道和姿态的,把其中一者对另一者的干扰视为外界扰动。
如果要精细化地描述相对姿态和轨道,就需要进行航天器相对姿轨一体化动力学建模。
Gong等在一个旋转坐标系中构建了太阳帆航天器的姿轨耦合动力学模型。
Kristiansen等用相对位置、速度、误差四元数和相对角速度作为状态矢量构建了六自由度相对姿轨动力学模型。
上述方法只是将传统的相对轨道和相对姿态模型相结合,模型结构复杂。
Sinclair等用Cayley形式将航天器的轨道和姿态运动描述成四维刚体旋转运动,在统一框架下构建了航天器姿轨耦合模型。
Wang等利用对偶四元数建立了交会对接终段的六自由度相对运动模型,只需8个参数就能达到齐次变换矩阵16个参数的效果,大幅提高效率。
可观测性理论
可观测能力是指系统在有限时间内根据观测量确定系统状态的能力。
通过对系统可观测能力的判定及量化分析,不仅可以回答“系统状态是否可以被估计”等定性问题,还可以回答“系统状态的估计难度有多大”以及“测量信息对导航精度的提升有多少”等定量问题,经过学术界和工程界的不断研究和实践,已经证明可观测能力评估对系统状态完备、快速、准确估计具有根本性意义。
可观测能力表征方法非线性系统的可观测能力表征方法主要分为基于格莱姆矩阵、基于微分流形以及基于可区分性等方法。
1 基于格莱姆矩阵的可观测能力表征方法
利用格莱姆矩阵来表征系统可观测能力最早由Müller等提出,能方便地表征线性系统的可观测能力。
但将该方法用于表征非线性系统可观测能力是学者研究的热点方向,主要分为2种思路:
(1)将非线性系统线性化后得到线性系统,通过建立线性系统的格莱姆矩阵来分析非线性系统的局部可观测性。Powel等将非线性系统近似线性化后得到格莱姆矩阵,并分析线性化误差对可观测性分析的影响,结果表明线性系统的可观测条件仅为非线性系统可观测的充分条件。Zeng在可区分性的基础上给出基于测度的非线性系统格莱姆矩阵建立方法,并证明这种表征形式是线性系统格莱姆矩阵向非线性系统的推广。
(2)通过建立系统的测度表达式或李雅普诺夫方程来推导非线性系统的格莱姆矩阵。Vaidya利用建立的李雅普诺夫测度方程给出了建立一般非线性系统格莱姆矩阵的方法,但由于李雅普诺夫方程很难得到解析解,该方法仅适于数值分析可观测性。
上述2类方法能构建格莱姆矩阵并表征非线性系统的可观测能力。但受制于格莱姆矩阵的复杂形式,非线性系统的可观测能力难以解析表征,因此基于格莱姆矩阵的可观测能力表征方法通常用于数值分析过程。
2 基于微分流形的可观测能力表征方法
基于微分流形理论的非线性系统可观测能力表征方法可以表征局部可观测能力,是目前最流行的分析方法之一。
Hermann等结合系统可区分性利用微分流形理论分析非线性系统的可观测性,在系统状态和观测方程连续、可微前提下,以观测方程对状态方程各阶Lie导数的微分构成可观测性矩阵。
Sira-Ramirez证明基于微分流形的非线性系统可观测性矩阵与线性系统的Kalman可观测性矩阵等价,证明这是一种局部可观测能力的表征方法。
3 基于可区分性的可观测能力表征方法
微分流形方法要求系统状态和观测方程连续、可微,难以应用于离散系统,因此众多学者研究了基于可区分性概念的离散系统可观测能力表征方法。
De Santis等在可区分性的基础上讨论离散系统可观测性和可诊断性的统一表达。
Giua等对状态分散测量的离散系统给出基于可区分性的分散可观测性定义。
可观测能力判定方法非线性系统的可观测能力判定方法主要分为基于秩判据、基于零空间以及基于范数等方法。
1 基于秩判据的可观测能力判定方法
秩判据最早源于线性系统可观测能力判定方法,判断可观测性矩阵是否满秩。
但是判定非线性系统可观测能力时需要高阶Lie导数运算和格莱姆矩阵积分运算,难以得到解析表达式,因此往往通过数值方法计算可观测性矩阵并判断是否满秩。
2 基于零空间的可观测能力判定方法
基于零空间的可观测能力判定方法最早由Castillo等提出,通过判断零空间的维度来判定可观测能力。
非线性系统的可观测性矩阵的零空间需要结合实际背景分析,如Rothman等在工程中成功应用该方法,但当系统维度较高时往往难以获得其零空间。
3 基于范数的可观测能力判定方法
基于范数的可观测能力判定方法最早用于分析非线性切换系统,后由Li等推广至一般非线性系统。
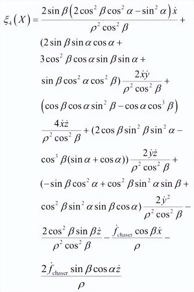
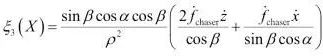
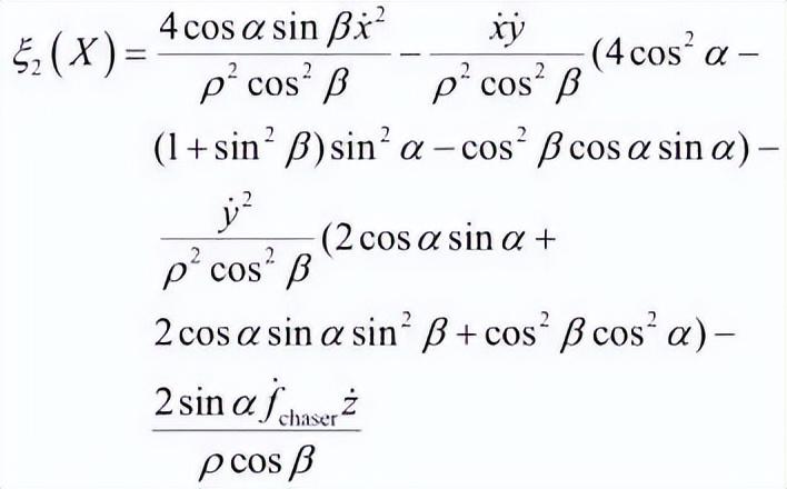
董天舒和王大轶等根据航天器动力学模型的二阶属性,将建立的非线性系统Lie导数梯度空间等价降维成一个六维共有子空间来表征系统的可观测能力,可在不损失精度的条件下大幅降低可观测能力表征维数,并给出范数形式的可观测性判据。
该研究团队发现,当系统状态方程最高阶次为二阶时,具有如下属性。
定理1 当系统状态方程最高阶次为二阶时,系统任意阶Lie导数仅与系统状态、观测及其一阶导数相关。
定理2 当系统满足定理1时,基于Lie导数的可观测性矩阵的行空间存在一个六维的共有子空间,该子空间可等价表征系统可观测能力。
定理3 当
时,系统可观测;当
时,系统不可观测;其中,
表达式分别如下:
可观测能力表达方法
可观测能力的判定是用于判断系统可观测能力的有无,无法给出系统观测效果和状态估计精度,可观测能力的表达能够解决这一问题。
非线性系统可观测能力表达方法主要分为基于条件数、基于范数、基于Fisher信息矩阵及基于协方差矩阵等方法。
1 基于条件数的可观测能力表达方法
基于条件数的可观测能力表达方法是一种几何分析方法,最早由Zhe提出,通过计算非线性系统局部可观测性矩阵的条件数判断该矩阵的病态程度,进而表达可观测能力。
Katriniok等用状态方程和观测方程的雅可比矩阵构成系统的局部可观测性矩阵,并利用条件数的方法对其进行量化。
2 基于范数的可观测能力表达方法
基于范数的可观测能力表达方法最早由Moore提出,借鉴信号强度的思想,用格莱姆可观测性矩阵的Frobenius范数表达系统的可观测能力。
Sevaston等用格莱姆矩阵的1范数、2范数或无穷范数描述系统传递函数的增益,进而表达可观测能力。
3 基于Fisher信息矩阵的可观测能力表达方法
基于条件数和范数的方法能用于表达非线性系统可观测能力,但无法给出系统估计精度的边界,有些学者用Fisher信息矩阵从统计角度进行表达。
Lee等用Fisher信息矩阵的行列式表达同步定位与建图(Simultaneous Localization and Mapping,SLAM)系统的局部可观测能力。
Zhao等结合Cramer-Rao不等式,通过分析Fisher信息矩阵的主对角线元素表达火星着陆器导航系统可观测能力。
4 基于协方差矩阵的可观测能力表达方法
基于协方差矩阵的可观测能力表达方法最早由Ham等提出,研究结果表明归一化后的系统协方差矩阵可以线性表征系统可观测能力。
Hahn等将这一结论推广至非线性系统,证明了当非线性系统退化到线性系统时,可观测性协方差矩阵与格莱姆矩阵等价。
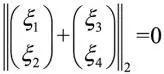
董天舒等利用六维共有子空间的迹的下界表达系统可观测能力,该方法能给出可观测能力的一维解析表达式,避免了传统可观测能力表达式的高维矩阵运算和高阶偏微分运算。
定理4 当系统可观测时,系统共有子空间的迹下界存在,且可表示为如下解析表达式:
定理4给出的可观测能力量化表达式仅需进行简单的一维运算,避免了复杂的高维矩阵运算,与现有的可观测能力量化评估方法相比计算量明显减少,为多源融合自主导航系统可观测能力星上评估奠定了理论基础。
多源融合滤波方法
目前被普遍接受的多源融合的定义是1991年由美国实验室理事联合会(JDL)提出:多源融合技术是一种多层次、多方面的处理过程,即把多个传感器和信息源的数据信息加以联合、相关和合并,获得对实体目标位置和身份的精确估计,以及对战场态势和威胁的完整评估。
融合滤波结构多源融合的滤波结构主要分为集中式和分布式。
如何设计可适应动态多变测量信息的多源融合结构是极具挑战的难题,其直接决定各敏感器之间在不同任务条件下如何组合、协同和调整,进而保证导航系统的安全可靠自主运行。
1 集中式融合滤波结构
集中式融合滤波结构的思想是将各敏感器的测量数据直接输入一个卡尔曼滤波器中进行状态估计。
由于所有敏感器测量到的数据都未经处理直接输入到集中式融合滤波结构中,可以认为集中式融合滤波结构是线性最小方差准则下的全局最优估计。
集中式融合滤波结构的缺点如下:
(1)集中式融合滤波结构需要同时处理各个敏感器的测量数据,状态向量、状态方程和测量方程维数较高,对计算资源严重受限的航天器而言负担较重。
(2)每个子系统的故障都会通过集中的信号测量和状态更新过程影响整个导航系统,如果某一子系统的故障较严重,甚至会导致系统崩溃。
2 分布式融合滤波结构
分布式融合滤波结构的思想是将各敏感器的测量数据输入到相应的子滤波器中进行本地状态估计,然后将各路的状态估计值和协方差矩阵输入到主滤波器进行全局状态估计。
这样就克服了集中式融合滤波结构计算量大、故障率高的问题。
最经典的分布式融合结构是Carlson提出的联邦卡尔曼滤波器。
Zhu等研究了联邦卡尔曼滤波器的最优性问题,证明其与集中式融合滤波结构等价,融合精度相同,并且也是全局最优的。
分布式融合滤波结构的一个重点研究方向是如何设置信息融合权重,即考虑各子滤波器估计结果输入到主滤波器时的置信度水平。
Xiong等用协方差矩阵特征值和观测矩阵奇异值作为融合权重,但计算量很大,不利于工程实现。
时空配准多源融合时需要将多个敏感器的测量数据对齐到统一基准下进行预处理,这一过程称为时空配准,分为时间配准和空间配准。
1 时间配准
由于多源敏感器的观测时间不同步,数据频率不一致,在信息融合时需要解决异步数据的时间配准问题。
时间配准是指将多源敏感器的测量数据同步到统一时间基准,把不同更新频率的敏感器产生的异步测量数据对齐到同一时刻。
时间配准方法主要分为:在融合估计前消除时间异步、针对异步测量信息的异步融合2类方法。
(1)在融合估计前消除时间异步方法。
周锐等采用最小二乘虚拟法将高频敏感器的测量值融合到低频敏感器观测时刻的虚拟测量值,这种方法需要假定2类传感器的采样周期相差整数倍。
Aeberhard等利用误差协方差矩阵信息协助时间配准,但只考虑了子滤波器与主滤波器的配准,忽略各滤波器之间的冗余互补。
(2)针对异步测量信息的异步融合方法。
秦永元等在融合周期内计算子滤波器的输出次数和与融合时间的同步时间差,等子滤波器累积输出多次结果后计算在融合时间点上的输出值,得到全局次优估计结果。
黄显林等提出非等间隔的联合滤波方法,将各子系统周期的最大公约数和最小公倍数作为计算周期和融合周期,当没有测量信息时进行时间递推,当有测量信息时进行时间和状态更新,从理论上解决非等间隔滤波的全局最优问题。
2 空间配准
空间配准主要包括坐标系统一和敏感器空间偏差消除两方面。
为实现对导航参数的统一描述,需要将各测量量、状态量等转换到相同的坐标系下进行描述,这是导航学科中的常见问题。
在敏感器空间偏差消除方面,Zhou等用提出的精确极大似然法对目标位置和敏感器偏差同时估计。
Okello等提出极大似然配准方法,根据不同种类敏感器测量集合的极大似然函数来估计状态和敏感器偏差。
基于机器学习的多源融合机器学习是让计算机从以往的数据中学习经验并产生模型的一种人工智能。
近年来机器学习飞速发展,如深度学习、强化学习、迁移学习等,在计算机视觉、自然语言处理、自动驾驶、数据挖掘等领域得到广泛应用。
Kang等用卷积神经网络和支持向量机预测供水网络的泄漏点和到关键节点的距离。
Sabokrou等针对拥挤路段的检测与定位问题,构建了2个级联的三维神经网络,浅层网络用于检测背景,深层网络用于检测复杂目标。
目前神经网络在多源融合中经常用于决策,较少用于对数据的融合。如何用神经网络进行多源融合是今后可以研究的方向。
误差补偿方法
导航精度是影响自主导航性能的核心因素。影响导航系统估计精度的因素有系统误差和随机误差。
通过对在轨数据统计分析,系统误差对估计精度的影响高达80%,滤波算法必须对系统误差进行校正,同时抑制随机误差的影响。
系统误差建模Sun等构建了主点误差、焦距误差、像面倾斜和畸变等系统误差测量模型,并进行地面标定。
Mi等考虑了如Sun等所述的系统误差,发现各系统误差参数之间存在强相关性,故该物理模型不适用于在轨误差校准。
为消除各系统误差参数之间的强相关性,提出用三次多项式近似代替敏感器的系统误差,实验发现这种方法能显著提高标校精度。
Xiong等利用三角函数拟合周期性变化的敏感器低频误差。
上述方法依赖地面标定或者地面辅助测量等先验信息,而处于深空的航天器很难依赖地面辅助,必须实现自主的系统误差补偿。
系统误差在轨校正Pittelkau利用UD分解改进了增广卡尔曼滤波器,估计了姿态传感器的安装误差。
Xiong等利用增广卡尔曼滤波器实现敏感器低频误差的在轨标定,并通过推导误差协方差来评估校准低频误差方法的性能。
Wang等针对星敏感器的相对安装误差提出一种正则化鲁棒滤波器,在建立姿态测量不确定性模型的基础上给出加权最小二乘解并推导了正则化鲁棒滤波器,实验表明该方法极大减小了相对安装误差。
孙博文等基于约束流形的系统误差精确校正及参数解析化滤波方法,实现多系统误差的等价降维表征,基于可观测性理论和观测约束流形的构建,实现降维误差的统一建模和自主校正。
Li等基于约束优化和代数几何理论,利用轨道动力学存在二次型约束的条件,实现状态约束流形下的解析式状态估计。
地面实验验证技术
仿真实验是航天器多源融合自主导航技术验证与性能评估的重要手段。
深空探测具有任务周期长、探测目标远、不确定因素多等特点,任务过程十分复杂。
为保证安全可靠,关键技术和分系统必须经过充分的验证与评估,才能在工程中推广应用。
航天器多源融合自主导航系统研制难度大、搭载机会难得、在轨实验成本高,因此仿真实验就成为自主导航技术验证、评估的重要甚至是唯一手段。
通过地面数学与物理仿真模拟在轨环境、观测条件与导航过程,验证方案设计的合理性、理论模型的正确性及技术指标的实现性,评估航天器多源融合自主导航系统的功能与性能,为促进自主导航技术从理论成果向工程应用转化提供技术基础和平台保障。
航天器多源融合自主导航技术的地面仿真实验主要以数学仿真和半物理仿真为主。
在数学仿真方面,目前主要针对单一敏感器或固定敏感器组合进行数据模拟与导航性能评估,如俄罗斯SpaceTech GmbH的光学测量数据模拟软件、西弗吉尼亚大学的Glidar点云测量数据模拟软件、美国宇航学会的闭环光学图像仿真系统Basilisk等;在半物理仿真方面,当前主要以近距离测量数据的物理模拟与导航性能评估为主,如日本宇宙航空研究开发机构的图像/点云匹配测试系统、德国宇航中心用于验证敏感器单机性能及滤波算法的EPO 2.0、哈尔滨工业大学搭建的基于几何特征的位姿测量半物理仿真实验系统、上海航天控制技术研究所的超近距离导航半物理仿真系统。
多源融合自主导航技术发展建议
国内外现状随着“嫦娥三号”探测器使中国成为第3个有能力独立自主实施月球软着陆的国家,“嫦娥四号”探测器实现人类首次月球背面软着陆,“嫦娥五号”返回器携带1731 g月壤返回地球,“天问一号”探测器首次成功实现通过一次任务完成火星环绕、着陆和巡视三大目标,中国在深空探测领域跨入了世界先进行列。
但是在近地天基空间态势感知方面中国起步较晚。
2013年5月,美国参谋长联席会议颁布的新版《空间作战条令》,首次将空间态势感知列为与空间力量增强、空间支持、空间控制和空间力量运用并列的独立任务领域,并排名第一,将其视为一切空间作战活动的基础和前提。
从1996年起,美国大力加强天基空间态势感知系统的建造,逐步建立运行于低轨、高轨的多套天基系统,包括空间中段监视试验卫星(Midcourse Space Experiment,MSX)、试验卫星系列计划(Experiment Satellite Series,XSS)、微型卫星技术试验(Micro-satellite Technology Experiment,MiTEx)、天基空间监视系统(Space Based Surveillance System,SBSS)、地球同步空间态势感知计划(Geosynchronous Space Situational Awareness Program,GSSAP)及局部空间自主导航与制导试验(Automated Navigation and Guidance Experiment for Local Space,ANGELS)等。
俄罗斯先后开展了空间战斗站、多功能平台等计划;欧洲开展了“自动转移飞行器”(ATV)、“机组转移飞行器”(CTV)、“空间拖船”(ConeXpress)等计划;日本也开展了“工程试验卫星”(ETS-VII)及“H-II转移飞行器”(HTV)计划。
对于中国SJ-17卫星,美国战略与国际研究中心网站上公布了其自2018年1月10日至2018年9月11日在地球静止轨道(Geostationarg Orbit,GEO)上的每日经度数据及其轨位变化动画,展示SJ-17时而大范围机动、时而在GEO某位置悬停或绕飞的活动情况。
近年来,美国GSSAP卫星在10~15 km的距离上抵近侦察俄罗斯民用航天器“Ekspress-AM8”(2017年7月)和“光线”(2017年9月),以及俄罗斯军方航天器“钟声”(俄方代号“宇宙-2520”,2017年10月)、“彩虹-1M”3号(2017年11月)、“彩虹-1M”2号(2018年5月)。
此外,GSSAP卫星还在2016年9月至2017年9月多次接近中国制造的卫星,包括军用卫星TJS-1、为巴基斯坦制造的“Paksat-1R”卫星、为尼日利亚制造的“Nigcomsat-1R”卫星。
为了保护中国的空间资源不受攻击和破坏,需要研制用于保护关键空间资产的防御性与进攻性系统,发展天基空间态势感知能力,通过侦察和跟踪敌我卫星及轨道碎片等空间目标,早期发现和及时跟踪敌对目标的变化。
天基感知/侦察任务主要包括:获取相对位置、测定相对姿态、辨识目标特性和预测目标意图等,其中前2项工作一般称为相对导航,是后续任务的前提和基础。
但是中国的卫星普遍不具备相对导航能力,与美国有较大差距,需要加快多源融合自主相对导航技术的研究。
技术瓶颈传统的可观测性理论、融合结构和滤波算法由于算法复杂,难以在计算资源受限的航天器上直接应用。
制约多源融合自主导航技术星上实现的根本原因是传统可观测性理论的计算过程十分复杂,星上无法自主评估多源信息的观测能力,进而无法在理论指导下优化融合结构、简化滤波算法。多源融合自主导航的技术瓶颈如下。
1 可观测能力评估只能在导航方案设计阶段进行,无法在星上直接应用
现有的可观测能力评估方法需要用到复杂高维矩阵运算及高阶偏微分运算,在星上计算资源严苛约束条件下,只能在导航方案设计阶段使用,难以满足航天器可观测能力星上自主评估的需求。
因此,需要创新发展现有可观测性理论,针对星上计算资源的严苛约束,研究既可精确评估又可星上运算的航天器可观测能力分析方法。
2 多源融合估计方法需要配准时空异构信息、运算高维系统矩阵,异常复杂的计算过程难以星上实现
根据数据处理层级的不同,融合系统的体系结构一般分为集中式和分布式。
集中式结构估计精度高、信息损失少,但数据互联困难,计算负担重,要求系统必须具备大容量的计算能力。
航天器由于处理器计算能力有限,一般只能用于解决敏感器种类少、数据结构简单的估计问题,如日本“隼鸟2号”探测器就采用基于惯性导航+测高+视线角(合作标志球)这类简单信源的导航方案。
对于配备微波雷达、激光雷达、光学相机、惯性测量单元等多种测量敏感器、多个复杂信源通道的融合方式,集中式结构在前端对多源异构数据处理的运算量异常庞大,且在后端需要构建高维状态和测量矩阵。
分布式结构一定程度上克服了集中式计算量大的问题,但容易丢失过多数据造成系统不可观或融合结果错误。
目前分布式结构在航天器上的应用鲜有报道,其根本原因是缺乏一套能够星上自主分配各子系统估计结果到融合中心置信度水平的信息共享算法,以确保导航系统具备对深空复杂动态环境的容错能力和适应能力。
3 系统误差不能统一建模进行星上自校正、滤波算法中的增益矩阵无法在线更新,严重制约导航精度等关键性能的提升
航天器星上计算资源严重受限,然而多源导航敏感器的系统误差数目众多并且更新增益矩阵时需要高维矩阵求逆运算,这使得传统滤波中基于复杂矩阵运算的状态方差预测及增益矩阵的递归式更新难以在航天器多源融合自主导航系统中实现。
在系统误差校正方面,目前主要是借助于地面辅助计算进行在轨校正,如“隼鸟1号”任务、“Deimos-2”地球卫星采用地面支持和星上观测相结合的方式实现多个系统误差的校正。在随机误差抑制方面,传统的卡尔曼滤波算法需要采用矩阵求逆等复杂运算法则计算增益矩阵,难以在星上运行。
美国的“阿波罗”月球着陆任务采用固定增益矩阵进行测量更新。
综上,传统方法难以实现航天器高精度自主导航。如何在满足星上计算资源约束的前提下,实现系统误差的精确校正和随机误差的有效抑制是亟需解决的关键问题。
4 系统级仿真实验中,多变探测环境和多源测量数据难以真实模拟,多仿真模块难以精准协同,无法有效评估导航系统性能
现有实验技术难以满足基于航天器可观测性理论的多源融合自主导航地面仿真实验需求,具体面临如下难题。
多源融合自主导航系统配置了微波雷达、激光雷达、光学相机等多种敏感器,由于探测任务时间长、环境不确定因素多,星历、轨道、姿态、光照等因素大动态变化严重影响敏感器测量数据质量,各敏感器的数据结构差异大、时空基准不匹配、工作模式不统一,因此如何实现探测环境和多源测量数据的精确模拟是地面实验首先要解决的技术难题;
以航天器可观测性理论为依据实现多源融合自主导航,要求仿真实验系统能够依据可观测能力评估结果实时动态调整构架(系统拓扑、模块接口、通信策略),进一步增加地面仿真实验难度,因此如何实现基于可观测性评估的仿真构架动态调整是地面实验的核心难题;
航天器多源融合自主导航仿真实验系统主要由探测环境模拟、多源异构数据模拟、系统能力评估、融合滤波、状态估计、精度评估等模块构成,模块之间功能与接口差异大,数据通信与管理难,同时需要精确的时钟同步以满足多源融合自主导航需求,因此如何实现多模块精准协同是仿真实验需要解决的关键难题。
发展建议1 冗余观测系统可观测能力等价降维表征及解析量化方法
目前航天器可观测能力分析方法多以复杂的高维可观测性矩阵运算及高阶偏微分运算为基础,未考虑星上计算资源严重受限的约束,难以满足航天器可观测能力星上自主评估的需求。
需要创新发展现有航天器可观测性理论,研究既可精确评估又可星上计算的可观测能力分析方法,实现系统可观测能力星上自主评估,为多源融合导航技术的星上运行奠定理论基础。
2 面向多源异构数据的自适应融合结构构建方法
在严苛的星上资源约束条件下,多敏感器测量数据结构不一致、采样时间不同步、工作模式不统一等问题,为航天器多源融合自主导航技术提出了全新的挑战。
需要以航天器可观测性理论为基础,构建面向多源异构数据的自适应融合结构,利用可观测度量化评价准则指导滤波器结构随测量数据可观测度变化的动态调整,最大限度降低滤波器结构的复杂度和冗余度。
3 基于约束流形的系统误差精确校正及参数解析化滤波方法
导航滤波算法对观测数据、动力学模型等信息源进行处理,通过系统误差的校正和随机误差的抑制,以实现高精度的状态估计。
需要基于航天器可观测性理论和状态、观测约束,构建系统误差降维表征和增益参数解析化方法,提高自主导航滤波估计精度。
4 航天器多源融合自主导航仿真实验技术
针对地面仿真实验面临的探测环境和多源测量数据模拟、仿真构架实时动态调整和多模块精准协同的技术难题,未来可进行全链路分布式协同的航天器多源融合自主导航地面仿真实验、基于物理模拟器实现多因素大动态变化条件下探测环境和多源测量数据的精确模拟、采用数学物理相结合方式实现基于可观测性评估的仿真构架动态调整、基于多模式数据对齐的模块协同方法完成多模块的时钟同步与协同仿真等工作,实现多源融合自主导航技术的方法验证与性能评估。
结束语
航天器多源融合自主导航技术在减小地面测控负担、提高航天器适应能力和扩展航天器应用潜力等方面具有无法替代的作用,是各航天强国优先发展并严格保密的核心技术。
由于中国测控资源有限,在深空探测任务中,依靠科技创新、自立自强地发展自主导航技术尤为迫切。
大力发展航天器多源融合自主导航技术将保障月球永久阴影区探测、小行星采样返回探测、火星采样返回探测、木星系及行星际穿越探测、太阳系边际探测等一系列深空探测活动顺利实施,加快中国从航天大国走向航天强国的步伐,实现人类进一步了解宇宙、认识太阳系、探索地球与生命的起源和演化的科学梦想。
引用本文
王大轶, 李嘉兴, 董天舒, 葛东明. 基于航天器可观测性理论的多源融合自主导航技术[J].前瞻科技,2022,1(1):146-158;doi:10.3981/j.issn.2097-0781.2022.01.012
版权声明:我们致力于保护作者版权,注重分享,被刊用文章【可微怎么证明(基于航天器可观测性理论的多源融合自主导航技术)】因无法核实真实出处,未能及时与作者取得联系,或有版权异议的,请联系管理员,我们会立即处理! 部分文章是来自自研大数据AI进行生成,内容摘自(百度百科,百度知道,头条百科,中国民法典,刑法,牛津词典,新华词典,汉语词典,国家院校,科普平台)等数据,内容仅供学习参考,不准确地方联系删除处理!;
工作时间:8:00-18:00
客服电话
电子邮件
beimuxi@protonmail.com
扫码二维码
获取最新动态
