编辑导语:对于购买潮流商品的人来说,得物和识货两个购买平台不能少。本文分析了得物和识货的发展现状以及功能设计上的优缺点,并提出了改进建议。一起来看看吧。
第一次尝试写竞品分析报告,分析得可能并不是那么专业且全面,望各位看官海涵并提出建议。
分析目的:分析得物和识货的发展现状以及功能设计上的优缺点,并提出改进建议。
一、产品信息
由得物和识货的产品信息中可以看出,得物比起识货更注重社区内容的发展,商品主要为球鞋,并且更强调商品鉴定服务,在发货后会先由平台进行鉴定再给到用户识货则注重于为用户提供一个性价比较高的电商导购平台,商品主要也是球鞋,但往后还加入了生活服务的模块,商品种类更多更杂,对于社区的建设不如得物重视
二、用户分析
1. 地域分布
两个产品的用户群体大致相同,以下是用户人群的地域分布:
得物和识货的用户主要分布在沿海和东、南部经济相对发达的省份地区,用户群的人均收入较高,对商品质量和真假也有较高的要求。同时这些省份的潮流文化较发达,用户对于潮流文化的接受程度也普遍较高。
2. 用户年龄、性别分布
(1)得物
30-39岁和20-29岁的用户占比最高,合计超过65%,如此的年龄分布与得物的产品定位是相对应的——得物提供高质量的商品和专业的鉴定流程,因此在交易过程中会产生额外费用,商品价格普遍会比其他电商平台贵。
20-39岁的人群相比19岁以下的用户群体,有更稳定、更高的收入,因此也更能接受得物的商品价格。男性用户比女性用户占比高了大概十个百分点,是因为男生群体更热衷于球鞋文化,在潮流装备上花钱的意愿也比女性强。
得物的男女比例不会像识货一样有很大的偏差,个人认为原因在于得物的社区内容发展得更好,而社区里女性用户发表的文章不在少数,这对女性用户的留存有着很大作用。
(2)识货
同样是20-39岁的用户占比最高,但19岁以下的用户占比较得物会稍微多一点,这是因为识货的多渠道选择带来的高性价比更受19岁以下用户群体的青睐,这部分人群大多为初高中生,消费水平不高,识货解决了他们对于性价比的需求。
识货的男女占比差距较大,男性用户几乎是女性用户的两倍,可以看出识货跟随着虎扑的步伐,主打男性市场。
3. 用户特征
生活在经济较发达的城市,年龄多为20到30岁,喜欢潮流文化,对鞋类等潮流装备有一定追求的人群。
4. 用户需求
(1)得物
在其他平台或本平台上购买商品后进行鉴定购买正品球鞋等潮流装备的渠道,对于商品的质量有较高的要求出售一手或二手潮流装备认识更多喜欢潮流文化的网友,浏览各类潮流商品资讯,发布与潮流生活相关的帖子(2)识货
在其他平台或本平台上购买商品后进行鉴定购买正品球鞋等潮流装备的多个渠道,更注重商品的性价比出售二手潮流装备;④也有社区互动方面的需求,但需求量较小三、趋势分析
排名上得物一直处于体育类APP的第一,识货排在第三。
得物近一年的下载量呈略微下降趋势,识货的下载量稍有波动但总体上没有太大变化。得物的平均下载量是识货的三倍多。
搜索指数上,得物在21年初有较大的涨幅,而后保持着略微下降的趋势。识货则一直处于平稳趋势,没有大的起伏。得物的平均搜索量是识货的五倍左右。
总体上看,得物在热度、排名、用户数量等方面都远超识货。
但在评分上,得物略低于识货,从App Store、知乎、微博等社区的评论中也可以看出大部分用户对得物的评价都比较差,并且在买鞋方面更推荐识货。
大致原因有:
得物的客服服务差,识货会将用户引导至淘宝等电商平台,大平台的客服服务态度普遍较好在用户认知中,得物基本无法退货,即使退货程序也会很复杂,并且要用户自己出邮费等费用,识货推荐的电商平台少有此类情况(实际上得物有一部分商品已支持七天无理由退货,但用户对得物的印象依然是“退货难”)2020年6月,中消协就因假冒伪略等问题点名得物平台,今年年初上海市市监局指出得物平台的抽样不合格率达50%,导致用户对其信任度降低得物的商品价格较高,识货提供多个购买渠道,用户可自行选择性价比高的渠道购买商品因为要先寄到平台鉴定,导致物流很慢,闪电直发的价格会贵上不少,大部分用户不愿意承担该费用不排除此类差评可能是“水军”对得物的故意抹黑,于是我对身边有得物、识货两个平台购鞋经历的人群做了一个小访谈,通过访谈可大概将他们分为三个人群:
得物买家:该人群表示信任得物的正品鉴定,认为识货推荐的电商平台与识货有利益关系,给识货好处后便能得到识货的认证。而得物的卖家(比如个人卖家)与得物官方之间并没有什么利益关系,因此不会联合欺骗消费者。识货买家:大多数更愿意使用识货的买家觉得得物的物流太慢,并且认为得物“真假参卖”,退货流程又麻烦或不可退货。对于识货的商品,他们认为也有一定机率买到假货,但识货提供的购买渠道较多,可自行挑选比较靠谱的商家购买,售后更有保障,价钱相比得物会便宜不少,物流也更快一些。没有偏向某一边的买家:这一部分买家认为得物和识货的商品质量都差不多,而关于商品是不是正品,鉴定一下就行了,反正都有“假一赔三”等保障。他们在购买时可能更多的会考虑价钱,哪家便宜去哪家买。在人数上,选择在得物购买的用户还是占多数,结合访谈内容可知,网上大量抹黑得物的用户中有相当一部分可能是“水军”故意为之。其实不管是得物还是识货,都会有真假参卖的问题,不仅仅是这两个平台,整个电商平台都会有这一现象。
由于缺少相关数据,也无法判断到底是得物的假货多还是识货的多,无论如何,得物和识货都应该就假货和商品质量的问题对商家进行整顿,卖假的利润固然高,但这不过是短时收益,如果用户流失了,损失的就是长期利益。
四、商业模式
1. 得物商业模式
社区流量变现交易过程中向卖家收取保证金(出价的5%),技术服务费5%,转账手续费1%,查验费8元,鉴别费15元和包装服务费10元鉴别业务和球鞋洗护收费得物的主要收入来源于交易过程中向卖家收取的各种费用,这不是一笔小数目,但最终这些费用是由买家来承担的。在得物购买商品的用户会比较在意商品是不是正品,并且相信得物的鉴定服务,因此愿意接受较高的价钱。
2. 识货商业模式
社区流量变现为各电商平台和店铺引流,并收取一定的分成鉴定业务收费识货向其他电商平台收取的分成较低,因此价格会比得物低一些,满足了用户对于性价比的要求。
五、产品架构
1. 得物产品结构图
2. 识货产品结构图
根据产品架构可以直观地看出得物相对于识货,鉴定服务的权重更高,符合得物的产品目标——主打正品和鉴定。而识货比得物多了一个模块——生活服务,推荐生活中各种优惠充值,可以看出识货不止是想做球鞋这一方面的相关业务。
个人推测识货是想做一个一站式的平台,涵盖了用户生活中的各种服务,满足用户在不同领域中的需求。
识货推出这一模块可能会影响其品牌在用户心中的形象。识货的slogan为“运动潮流的好物与好价”,而生活模块与运动潮流并没有太大关系,多余的功能可能会让用户觉得识货在“球鞋”、“潮流”方面不那么专业。
相反,得物则一直专注于潮流文化相关领域,与识货对比起来就显得更专业,那么当用户想要购买潮流装备时第一时间更可能会想到得物而不是识货。
但识货这一尝试未必是坏事,也许是因为在“潮流”和“球鞋”领域,得物的品牌形象在业界中已难以撼动,识货想要在这方面超越得物十分困难,因而开发其他功能来寻找出路。
如何评价识货的生活模块,还得看以后识货会如何运营该模块的内容,目前看来大多数用户并没有给予该模块过多关注,还无法看出这一功能的实质性作用。
得物对于社区的重视程度远高于识货。得物的产品定位为潮流网购社区,特别强调了社区这一属性,在整个APP的页面设置中都可以看出社区模块在得物APP的权重是非常高的,体现于以下几点:
社区页面作为得物的首页,是打开APP时直接显示的页面,而识货的首页即为购买页面,可以看出得物更偏向于引导用户浏览社区内容,识货偏向于引导用户购物。在社区中,得物的“发布”按钮位于页面右上角,按钮占据的页面空间较小,不会影响用户的浏览体验,识货的发布按钮则悬浮于页面右下角,按钮的图层也在页面其他内容之上,比起得物的发布按钮更加显眼。得物的发布功能内容十分丰富,有“开直播”、“相册”、“拍摄”、“模板”四个选项,提供各种特效和拍摄模板来帮助用户产出优质内容,而识货的发布功能则像普通相机一样,没有什么特殊功能。得物丰富的发布功能是为了方便用户产出优质内容,促进UGC发展。得物将社区的内容分为了“关注”和“推荐”,给“关注”的内容一个专属的栏目,让用户可以更方便地浏览自己最有兴趣的内容,识货的社区内容则没有分关注和推荐,只有各类帖子的推送。在“我的”页面中,识货仅显示了关注数和粉丝数,和用户的头像与名称位于同一栏目中,而得物则是在另外一行显示了获赞与收藏、粉丝、关注以及动态数量这些与社区相关的数据。在“我的”页面中,得物还将“创作中心”作为一行单独的栏目,显示了发布的动态的一些数据、粉丝画像,各种最近热门的活动为用户提供创作灵感,创作的收益以及晒单功能让用户可以快捷地发布内容。识货也有创作者中心模块,但入口放在功能中心中,不是非常显眼,并且只有每周热门活动的总览,功能不像得物的那么丰富。得物的创作中心为用户提供了动态的相关数据,帮助用户运营自己的社区账号,粉丝画像让用户知道关注自己的人群喜欢什么样的内容,也是为了帮助用户运营。创作收益则鼓励用户通过发布动态去赚钱,促进UGC发展,同时也是得物收入的一部分。得物如今致力于发展社区模块,是为了打造一个潮流文化社区,让使用得物的用户能在社区中找到自己喜欢的内容,并通过发布内容满足社交需求、尊重需求和自我实现需求,同时还能通过社区获得收益,最终在得物获得归属感。这一切都是为了用户留存,并且提高自己的品牌影响力。
识货不在发展社区内容上放太多精力,是因为识货定位为一个电商导购平台,重心为引导用户购物,通过给予用户良好的购物体验来实现用户留存。但不排除识货在未来会加大力度发展社区内容的可能性,毕竟如今通过社交和种草内容能在一定程度上促进用户消费。
六、核心业务分析
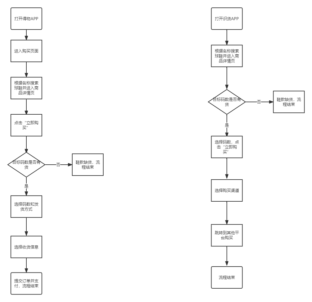
1. 购买球鞋流程
在购买流程上,由于识货还需跳转至其他平台购买,在步骤上会比得物稍微繁琐一些,但给予用户的选择也更多。以下是对得物和识货购买流程中各个页面的分析:
根据关键词搜索商品,识货在一个页面中显示的商品数量要远多于得物,与关键词最相关的商品在识货的页面中只占了一行,并可向右滑动,往下是造型与目标球鞋款式相似和同一品牌的其他球鞋。
得物的整个页面都用于展示与搜索词最相关的球鞋,每个商品的信息框更大,还显示了每双球鞋的收藏人数,让用户清楚地了解该球鞋的热度。
识货在搜索页面展示了大量的商品,过多的信息反而会使用户难以选择。得物在一个页面只显示6件商品的信息,较大的图片和文字能给用户在浏览时更好的体验,同时也不会因为信息过多而不知道从何看起。
在为用户提供商品信息方面,得物有“问问大家”、“尺码感受”和“评价”栏目,识货有“识货讨论”供用户咨询和讨论商品相关信息,且讨论数远多于得物,给予用户的参考信息更多。
得物和识货都有穿搭精选栏目,得物的用户数量较多,发布的穿搭精选也比识货多,但识货整合了全网评价,其中也有许多用户晒出了自己的穿搭照片,且评价数量远多于得物的穿搭精选栏目,能为用户在购买时提供更多参考。
在穿搭精选栏目,得物在右上角设有“发布”按钮,可直接跳转至拍摄页面。
识货则通过“发布晒物笔记赢现金”来吸引和鼓励用户发布穿搭照片,但在页面中并没有直接为用户提供发布按钮,用户需点击查看全部后,在穿搭精选的页面里才有“晒穿搭”这一发布按钮。识货可以将发布按钮设置在商品详情页的穿搭栏目,让用户不用进入到查看全部穿搭精选就可以发布自己的穿搭照片,减少发布的步骤,促进用户发布内容。
得物在商品详情页中会显示最近购买了该球鞋的用户,提供了尺码、价格和购买时间,让用户直观地了解到该鞋价格的走势,帮助用户判断最佳入手时间。
当用户浏览完商品信息,准备下单时,得物的“立即购买”按钮非常显眼,采用了与页面其他元素不同的颜色,实际上也是在引导用户进入到购买的下一步。点击购买按钮后就要选择尺码,每个尺码下方标有对应的价格,选择完尺码后选择发货方式,不同的发货方式对应了不同的价格,同时标注了大概的物流时间。选择完发货方式后来到了确认订单页面,在这个页面选择完收货地址后确认商品信息无误就可以下单了,在页面底部显示了总价格(商品加运费)和“提交订单”按钮,同样的,“提交订单”按钮和“立即购买”按钮一样用了不同于页面其他元素的绿色,对用户进行了进一步的引导。在该页面商品的总价格是商品加运费的价格,比在上一步选择尺码和物流时的价格要高,之所以不在选择发货方式时就显示总价格,可能是为了降低用户购买时的心理防线,尽量引导用户至下一个页面。
得物的购买流程设计遵循了简便、快捷的原则,各个页面的信息量把控得刚刚好,用户对于球鞋只需选择尺码和发货方式,不会因为过多信息而难以做出决定,很大程度上促进了用户完成购买流程。
用户在识货购买球鞋时,是先在球鞋照片下方选择尺码,尺码下方标明了对应价格,让用户第一时间就能了解到所选尺码的价格和不同尺码之间价格的差距。
点击“立即购买”按钮后跳转至购买渠道选择的页面,该页面为用户提供了多个平台的购买渠道,分别有不同价格和不同评分,对比起得物的购买页面,信息量会大很多,用户往往会考虑:价格低的店铺会不会买到假货,或者球鞋的做工较差?这么多个渠道,我应该怎么选?虽说这样能让用户选择适合自己的最具性价比的购买方案,但同时也给部分用户造成了选择上的困难。
对于购买页面的大量信息,识货也不是没有做出相应对策。
首先是在页面中设置可以切换球鞋尺码的选项,切换尺码时会附带上对应的价格;其次,点击筛选后可以通过多个条件来筛选合适的店铺,比如某个平台的会员,发货速度,退货服务和货源,选择收货地址后还可以为用户计算运费;最后还有两个排序方式来对渠道进行排序——按发货速度或价格从低到高。对于价格排序,只设置从低到高,而不设置高到低或者自定义选项,是因为大部分在识货购买球鞋的用户都是追求性价比的,相比起高到低,由低到高的价格排序选项会是绝大部分用户会选择的排序选项,因此并没有必要为用户提供其他的价格排序方式。总而言之,识货的购买流程会比得物繁琐不少,因为识货是一个电商导购平台,给予用户的选择比得物更多,信息量就会更大,同时也更具性价比。识货能做的就是在筛选上为用户提供更多帮助,使用户更容易做出决策。
2. 得物的出售流程
以下是出售流程的详细页面:
出售商品的入口位于商品详情页,与购买按钮相邻,很容易被用户注意到。
整个出售流程十分简单,选择发货方式、尺码,填写完售价后支付保证金就完成了出售流程(不包括后续寄出球鞋和售后)。
在这个流程中可能会让用户难以抉择的就是出售价格,得物为用户提供了最低出售价和最高求购价,卖家可以参考这两个价格来设定出售价。设定完出售价格后,下方马上会显示预计最高收入,用户可以根据实际收入来调整售价。
对于用户不同的出售需求,得物还给出了“立即变现”和“闪电直发”两种出售模式,分别解决了用户着急出售换钱和球鞋占用空间或者不想自己储存管理球鞋的需求。
3. 鉴定服务流程
两个APP的鉴定服务流程大致相同,接下来我将从鉴别服务的入口、鉴定服务类型以及相同类型对比来分析两个APP在鉴定服务上的不同。
两个APP都设计了多个进入鉴别服务的入口。得物的鉴定入口位于底部导航“服务”页面以及个人中心页面中,在“服务”页面中“在线鉴定”按钮的设计最为突出,让用户第一眼就能找到该功能的入口。
在识货中,鉴定服务的入口就不那么明显。首页中有两处入口,第一是识货对商品正品保障的说明页面入口,在该页面底部有鉴别服务的入口,另一处位于页面中部的一处导航栏中。第三个鉴别入口位于“我的”页面的功能中心,点击“专业鉴定”就能进入到鉴别服务的页面。
在该页面中“在线鉴别”按钮用了比“实物鉴别”更突出的红色,且按钮更大,可以看出用户更多使用的是“在线鉴别”。
从入口的设计来看,鉴别服务在得物的权重要比在识货的高,得物专门为鉴别、洗护和二手交易设置了底部导航栏位,与社区和购买位于同一级别,可见得物对于鉴定服务的重视。
而识货虽然在首页就设置了两处鉴别服务的入口(严格意义上来讲,上文所说的第一处还不算是鉴别服务的入口),但其按钮设计并不突出,用户无法快速定位到鉴定服务的位置。
以上为得物和识货所拥有的鉴定类型
得物赋予鉴定功能社交属性,推出了免费鉴定,用户可以发布鉴定到讨论区,等待讨论区大神的鉴定,对于不想花钱鉴定的用户,讨论区鉴定的功能非常实用,发布的鉴定都有不低的回复率。用户还可以在讨论区与其他大神就商品问题发表各自看法,认识更多专业鉴定师,满足社交需求。
识货的实物鉴定是得物所没有的,这种鉴定方法虽然准确度高,但物流原因使其耗时长、费用高,使用实物鉴定的用户不多,因此在页面设计上识货也给了在线鉴别更多的权重,弱化了实物鉴定在用户视野中的占比。
识货还有一个比较特别的鉴定方法为查找店铺,识货会根据对店铺的查验、店铺服务等方面给出该店铺的评分,并给出该店铺商品经过鉴别的结果,供买家自己判断店铺的商品是否可靠。
识货推出这一功能是因为识货为电商导购平台,用户在购买时需要对识货给出的购买渠道进行选择,难以抉择时就可以通过查找店铺来进行判断。
得物的付费鉴别与识货的在线鉴别为相同功能业务,都是通过上传实物照片供鉴定师鉴定,但得物的付费鉴别功能比识货更完善。
两个APP对于新手用户在拍摄实物的问题上都给予了指引,让用户能快速上手发布鉴别,指引流程大致相同。
得物比识货做得更好的点在于得物提供了一键将鉴别同时发布到讨论区,发布到讨论区后,若用户的球鞋为正品,则能获得更多人的肯定,满足了用户的社交需求和尊重需求,同时也能看出得物对于讨论区的重视和发展力度。
其次,得物还支持用户更换鉴定师,给用户更多的选择,而识货的鉴定服务则由系统按照排队人数来分配鉴定师,用户无法自行更换,在服务体验上可能会有所影响。
4. 社区发布流程
得物非常重视社区UGC发展,在用户发布内容的流程上也下了很多功夫,发布功能较完善。
得物的发布按钮位于社区页面右上方,用相机的icon形象地表示了发布功能入口,不过该按钮较小,不能让用户第一眼就注意到,这样设计可能是为了让用户有更好的浏览体验。
用户如要拍摄照片或视频发布,得物会提供很多特效、拍照指引和发帖模板给用户参考,其中大多数拍照指引为球鞋摆拍姿势,模板也都紧跟潮流。
如果用户选择上传照片或视频来发帖,得物提供了多个创作模板,可同时为视频和照片添加特效,用户还可以为照片加上商品标签,发布后点击标签可直接跳转至商品购买页。
最后,在发布时在页面右上角有“秒变得物潮流”为用户提供发帖指引,在文本框处给出文本内容创作建议,引导用户写作,并用“发布原创内容,获取更多respect”的标语来鼓励用户进行原创,用户还可以通过关联话题和位置来引流。
无论是哪种发布方式,得物都给予用户足够的帮助和指引,即使是第一次发布内容的用户也可以轻松创作出优质内容,进一步满足了用户的尊重需求和自我实现需求,同时也为UGC发展形成了良性循环。
识货的发布功能比起得物就相对简单一些,功能单一。发布按钮位于页面右下方,较为显眼,但拍摄功能没有特效或者模板,选择发布照片也只有几个滤镜供用户选择,对于用户产出优质照片的辅助较少。
在发布页面,识货也为用户提供了发帖指引和优秀笔记示例,用户还可以通过关联话题来吸引更多流量,并且可以直接关联商品,在帖子中添加商品购买页的跳转标签。
得物的“标签”难以让用户第一时间联想到其关联商品的功能,识货的关联商品按钮则非常直接明了,可以看出识货的社区功能更偏向于促进交易。
个人觉得,得物的发布功能已相当完善,而识货还有很大的改进空间,特别是拍摄功能和图片编辑功能,需要为用户提供更多的特效和模板,这一部分可向得物、小红书、抖音等UGC发展较好的APP学习。
虽然识货定位为电商导购平台,且未来可能会更加深入地往电商方向发展,但良好的发布体验可以有效促进UGC发展,社交属性也能提高用户留存率,带来更多收益,因此识货需要改善社区功能,加强该模块运营。
七、总结
1. 对于得物
得物作为球鞋(潮流)领域的领头羊,其地位是识货、nice等APP难以撼动的,在同行竞争中有相当大的优势。
得物拥有良好的下单购物体验、专业的鉴定服务,或是免费的讨论区鉴定,加上其在潮流领域的品牌形象,使人们总把得物与潮流、球鞋、鉴定等标签挂钩,所有的这些都为得物赢得了大量用户。
在用户留存方面,发展良好的社区内容有着至关重要的作用。得物对于社区内容发展非常重视,无论是对于内容的分类,还是为用户创造优质的发布体验,得物做得都比识货要好得多,UGC发展起来了,用户的社交需求、尊重需求和自我实现需求得到满足,留存率也就提高了,这也使得物留住了女性用户,而不会像识货一样两极分化严重。
但得物的未来也并不是一片向好,从其趋势中可以看出用户数量的起伏还是比较大的,并且市监局和中消协的点名批评对其口碑产生了一定影响,网上也出现了大量抹黑得物的言论。
因为C2B2C的业务模式,得物的物流较慢、商品价格较高,这使得物损失了一部分用户,并且还有客服服务差、售后服务存在较多问题,以及其在用户心中难以退换货的形象仍没得到改善。
2. 对于识货
识货作为一个电商导购平台,为用户提供了多个购买渠道,并且可对其认证店铺进行查验,让用户放心的同时也保证了较高的性价比。
虽然其用户数量不及得物那么多,但在业内口碑也能与得物不相上下。就用户体验方面,在购买商品时识货由于其导购性质,向用户提供了过多商品信息,增加了用户做决策的难度。
识货的鉴定服务相比得物也存在一定的劣势,比如没有免费的鉴定方式,得物拥有讨论区,用户可以不花钱就得到鉴定。识货在用户留存方面存在问题,大多数用户只看中了识货的性价比,如果某件商品在得物的价格与识货相差不大或者更低,更多用户可能会偏向于选择得物。
得物如今最重要的是重新建立起其在用户心目中代表正品和高质量的形象,加强对商品质量的监管才能吸引更多用户,同时还要对客服进行培训,提升客服的服务素质。
社区方面,得物需要继续发展其UGC内容,这是提高其用户留存的关键所在。对于得物物流慢、价格偏高的问题,关系到其C2B2C的业务模式,因此个人暂时想不出有什么比较好的解决方法。
识货要做的是吸引更多用户和提高用户留存率。识货推出的生活模块也许就是其为吸引更多新用户做出的尝试,不过要使其在用户心中的形象从“购鞋平台“转变为”生活一站式平台“,识货一定不能操之过急,需要慢慢建立生活模块在用户心中的”实用“形象。
在吸引用户和提高用户留存率这两个方面,得物有许多方面都值得现在的识货学习借鉴。
识货可以参考得物的讨论区鉴定模式,为用户提供一种免费的鉴定模式。对于其社区功能,首先应该将用户关注的内容和推荐内容分开来,并改善用户的发布体验,对于拍摄技巧给予适当的辅助,并给用户提供照片模板等,促进用户发布优质内容。
无论如何,对于这两个平台来说,保证商品质量才是最重要的,此外还要做好形象宣传,谁能赢得用户信任,谁就能在潮流电商这个领域走得更远。
本文由 @Bezy 原创发布于人人都是产品经理,未经许可,禁止转载。
题图来自Unsplash,基于CC0协议。
版权声明:我们致力于保护作者版权,注重分享,被刊用文章【pk10代理怎么做多少钱(潮流电商的PK)】因无法核实真实出处,未能及时与作者取得联系,或有版权异议的,请联系管理员,我们会立即处理! 部分文章是来自自研大数据AI进行生成,内容摘自(百度百科,百度知道,头条百科,中国民法典,刑法,牛津词典,新华词典,汉语词典,国家院校,科普平台)等数据,内容仅供学习参考,不准确地方联系删除处理!;
工作时间:8:00-18:00
客服电话
电子邮件
beimuxi@protonmail.com
扫码二维码
获取最新动态
