欧拉公式将三角函数与复指数函数关联起来。本文我将利用不同的方法去推导欧拉公式,并解释,为何欧拉公式被誉为最美的数学公式。
数学史上被公认为最伟大的数学家有阿基米德、牛顿、欧拉、高斯四人。拉普拉斯曾经说,读读欧拉吧,他是所有人的老师。在北大未名BBS中,ukim(北大数院学生于品,现在在清华任教)曾经说过一个很好玩的故事:
John 和 Jacobi 这两个 Bernoulli 家族的人,都算不出来自然数倒数的平方和这个级数,Euler 从他老师 John 那里知道的,并且给出了π2/6 这个正确的答案。Euler(欧拉)是他那个时代最伟大的数学家。法国有一个很著名的哲学家,叫做 Denis Diderot,中文的名字叫做狄德罗,是个无神论者,这个让叶卡捷琳娜女皇不爽,于是他请 Euler来教育一下 Diderot,其实 Euler 本来是弄神学的,他老爸就是的,后来是好几个叫 Bernoulli 的去劝他父亲,才让 Euler 做数学了。Euler邀请 Diderot 来了皇宫,他这次的工作是证明上帝的存在性,然后,在众人面前说:“先生,( a + bn ) / n = x, 因此上帝存在;请回答!”Diderot 自然不懂代数,于是被羞辱,显然他面对的是欧洲最伟大的数学家,他不得不离开圣彼得堡,回到了巴黎……
莱昂哈德·欧拉(Leonhard Euler ,1707年4月15日~1783年9月18日),瑞士数学家、自然科学家。
欧拉本人得到欧拉公式后也非常喜欢。另一位大数学家高斯也说,“一个人第一次看到这个公式而没感觉到它的魅力,他不可能成为数学家。”接下来我们就来看看欧拉公式的证明方法。
首先,我们可以把复数转换一下:
就可以非常简单的泰勒公式推导欧拉公式:
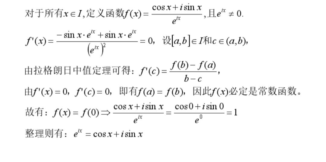
这个证明方法本质是构造函数,利用中值定理可以得到欧拉公式。
接下来我们看看为何它被誉为最美公式:
自然对数的“e”含于其中。最重要的常数 π 含于其中。最重要的运算符号 + 含于其中。最重要的关系符号 = 含于其中。最重要的两个元在里面。零元0 ,单位1是构造群,环,域的基本元素。最重要的虚单位 i 也在其中。由此我们可以看到,欧拉公式以简洁明了的形式把许多数学语言中最重要的元素放在一起,这体现了数学的和谐美与统一美。
正文到此结束。用一张图描述欧拉公式:
版权声明:我们致力于保护作者版权,注重分享,被刊用文章【证明欧拉公式(最美公式欧拉公式是如何得到的)】因无法核实真实出处,未能及时与作者取得联系,或有版权异议的,请联系管理员,我们会立即处理! 部分文章是来自自研大数据AI进行生成,内容摘自(百度百科,百度知道,头条百科,中国民法典,刑法,牛津词典,新华词典,汉语词典,国家院校,科普平台)等数据,内容仅供学习参考,不准确地方联系删除处理!;
工作时间:8:00-18:00
客服电话
电子邮件
beimuxi@protonmail.com
扫码二维码
获取最新动态
