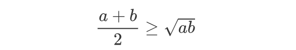
我们有基本不等式,

等号当且仅当a=b时成立。
证明也不难:
从数的角度

从形的角度

一目了然。
正文
算术平均数和几何平均数的概念相当简单,绝大部分人认识到基本不等式这一步,可以说是功德圆满了。继续研究的话,无非两个方向:
第一,由两个数向三个、四个乃至任意n个正数的推广:

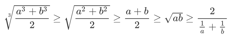
第二,研究其他类型的平均,比如立方平均,平方平均,调和平均(倒数平均)以及它们之间的大小关系,得到更高级的基本不等式:

也就是“立方平均数≥平方平均数≥算术平均数≥几何平均数≥调和平均数”。
上面的不等式同样可以推广到任意n个正数的情形。
绝大部分数学家走到这一步,也可以说是功德圆满了。
高斯,却另辟蹊径。
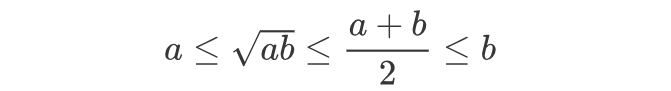
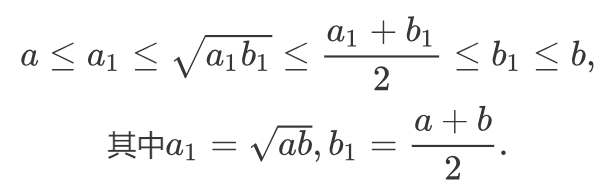
平均,平均,既然叫做”平均数“,自然介于两者之间,缓和了最大与最小。完整的基本不等式应该是:


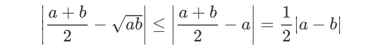
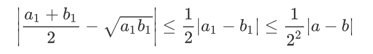
由a和b,得到(a+b)/2和√ab,显然

距离不到原来的一半。
令a1=√ab,b1=(a+b)/2,再计算它们的算术平均数和几何平均数,又有


同样地,它们之间的距离为

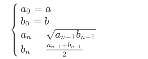
这个过程可以无限进行下去,也就是

那么数列{an}单调递增有上界,数列{bn}单调递减有下界,且当n趋于无穷时,

于是数列{an}和{bn}收敛到相同的极限。
高斯就把这个极限叫做a和b的算术-几何平均数(Arithmetic-Geometric Mean)。记为AGM(a,b)。
高斯当时只研究了算术-几何平均数。但顺着他的这个思路,我们当然还可以发明“算术-平方平均数”,“算术-调和平均数”,“平方-调和平均数”等概念。只需要在上面的迭代过程中,an和bn分别取an-1和bn-1不同的平均数即可。
这些平均数的数值都很容易计算,编个程序,迭代几次就能得到精度相当高的结果,收敛很快。
比如对1和2,小编用MATLAB编程,得到它们的算术-几何平均数约等于1.456791031046907,算术-平方平均数约等于1.540836469462489,平方-调和平均数约等于1.45458688740267。有兴趣的话可以试着计算其他组合的平均数。在计算的过程中,小编发现了一个很有意思的结论。限于篇幅,暂且不表。
本来两个数的平均,算数平均也好,几何平均也好,都很简单,计算简单,结果也简单。对1和2,它们的算术平均是1.5,几何平均是√2,平方平均是√(5/2),调和平均是4/3。然而对如此简单的1和2,它们的算术-几何平均数的卖相却如此“丑陋”!1.456791031046907.....看起来似乎还是个超越数!!!到底是何方神圣?
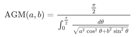
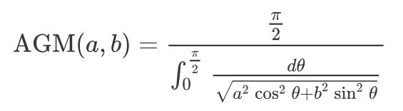
高斯并不仅仅满足于数值运算。很快,他就找到算术-几何平均数AGM(a,b)的解析表达:

圆周率π,三角函数,微积分......等等,算术-几何平均数怎么会和这些概念扯到一起???

当年,高斯22岁。
后续
研究这些平均数,有什么用呢?
对我们来说,可以作为一种数学游戏,具有启发思维的作用。也许,可以应用在某个我们暂时还不知道的领域。
但高斯,他研究算术-几何平均数绝非一时的游戏之作。
作为一个“能从九霄云外的高度按照某种观点掌握星空和深奥数学的天才“,高斯发现,算术-几何平均数跟椭圆积分有很深的联系。
举个例子,有不少人对双纽线比较熟悉,双纽线是平面上到两个定点的距离之积为常数的动点轨迹(类比一下椭圆),长得像一个无穷符号。方程如下:

学过高数的人应该知道,双纽线的面积是2a^2。但我们这里来看双纽线的周长。
为了简单起见,在上图中取a=1,它的极坐标方程是

根据对称性,其周长

利用高斯计算AGM(a,b)的公式,我们很容易得到该双纽线的周长

为了纪念高斯,称

为高斯常数(Gauss's Constant)。
双纽线的周长计算其实是一种椭圆积分,而椭圆积分的反演就是椭圆函数。椭圆函数可以说是19世纪的数学界在复变函数论方面取得的最为辉煌壮观的成果,没有之一。
人类历史上第一个被研究的椭圆函数,就是双纽线周长的积分反演。而研究它的,正是高斯。
椭圆函数在数论方面的应用发展出了模函数、模曲线、自守形式等理论。上世纪末,怀尔斯证明了费尔马大定理,应用的基本工具之一正是椭圆函数。
思考题
高斯22岁发现的定理

有人对证明感兴趣吗?证明仅仅用到了高等数学的基础知识,没有任何知识盲点。如果感兴趣的话,私信或留言告诉我,分享你的思考证明过程。视情况,我将在下一篇贴出。