一般来说,对一元函数微分是比较容易的(可导与可微等价,dy=f'(x)dx),特别是与它的分析对应物(积分)相比。在一些情况下,我们希望事情简单一些。例如,考虑以下函数:
这只不过是一个简单的实数多项式。然而,当涉及到微分时,它就不再那么简单了。乍一看,有(至少)两种微分(求导)方法。
将括号里的内容展开,然后对每一项微分使用乘积的微分法则。显然,第一种方法不是一个很好的选择(太繁琐)。就使用乘积的微分法则而言,情况要好一些,但仍然不够简便:
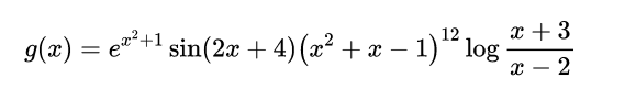
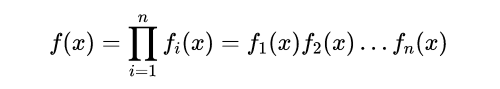
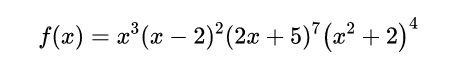
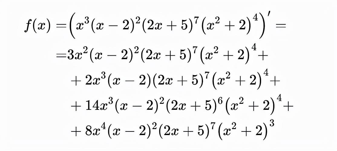
在上述情况下,f的所有因子都是多项式,但如果我们有一个像下面这样的函数,会怎么样呢:
那么,对于像g(x)这样复杂的情况该怎么办,因为使用通常的乘积微分法则会花费大量的时间。
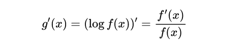
我们可能还记得老师以前讲过,对数使运算更容易,因为指数变成了乘法,乘法变成了加法等等。我们可以通过取对数使这类函数的微分变得更加容易。
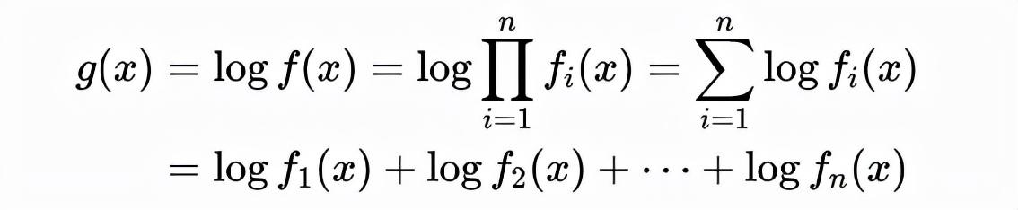
例如,考虑一个像下面这样的函数f:
假设上述乘积中出现的所有因子都是可微的,也是正的。那么f是正的,所以g是有意义的,其中g是以下函数:
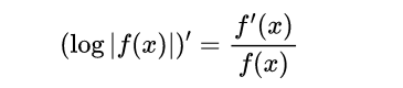
现在,请牢记:
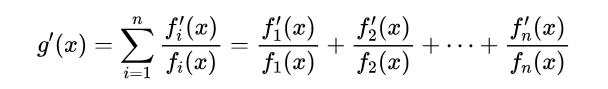
很容易得到下面的函数:
另一方面,观察一下:
可以得到:
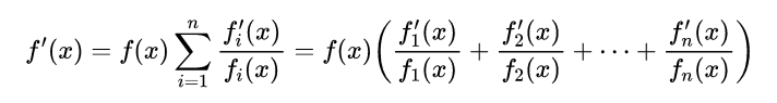
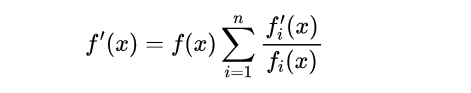
因此,我们得到了一个很好的f的求导公式。虽然在计算中大量使用了对数,但得到的公式却没有对数,这主要是由于对数的导数本身并不包括任何对数,除了f中可能出现的对数。
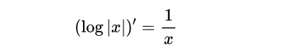
在上面我们假设f的所有因子都是正的。然而,这并不是上述结果成立的必要条件。事实上,请看下面等式:
将上述内容与链式法则结合起来,我们得到以下结果:
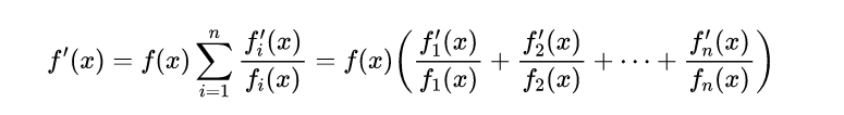
因此,对于任何可微调且不为零的函数f,上式也是成立的。就是说:
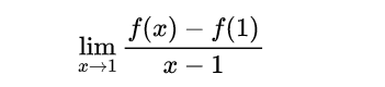
所以,上述公式适用于任何可微调且取非零值的函数。但是,对于有零值的函数又是怎样的呢?例如,假设f是一个这样的函数:
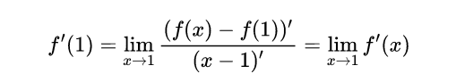
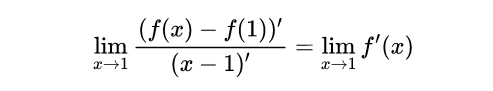
f是在所有实数上定义的。f在任何地方都是可微的,但不知道在x=1处的情况。存在以下极限:我们将证明:
实际上,如果使用洛必达法则,上述情况相对容易。首先,考虑极限:
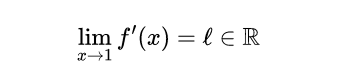
上述极限,如果它存在的话,与f在1处的导数相等:
因此,由于上式右边的极限存在,我们很容易从洛必达法则中得到:
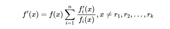
但是我们要讨论的是乘积和导数,而现在我们在证明的是函数导数的连续性。这里出了什么问题?实际上,没有什么。我们已经得到函数(其他函数的乘积)的求导公式,只对非零函数有效。然而,如果一个可微函数f在某些孤立点上有一些零点:
那么,通过上述公式,我们可以得到:
此外,在f的导数是连续的情况下(这是通常的情况),我们也可以对f的零使用相同的公式,只要上面的公式在零点定义得很好。
一般来说,当涉及到函数的乘积时,微分可能是相当困难的。然而,利用一些对数和一点点代数,我们得出了一个很好的公式,在大多数情况下都是有效的。也就是说,对于任何可微的函数:
我们已经证明,如果在任何一点上,f都不为零,那么:
也许,这是我们第一百万次遇到这个公式。
版权声明:我们致力于保护作者版权,注重分享,被刊用文章【洛必达法则的证明(如何利用)】因无法核实真实出处,未能及时与作者取得联系,或有版权异议的,请联系管理员,我们会立即处理! 部分文章是来自自研大数据AI进行生成,内容摘自(百度百科,百度知道,头条百科,中国民法典,刑法,牛津词典,新华词典,汉语词典,国家院校,科普平台)等数据,内容仅供学习参考,不准确地方联系删除处理!;
工作时间:8:00-18:00
客服电话
电子邮件
beimuxi@protonmail.com
扫码二维码
获取最新动态
