1911年,印度数学天才斯里尼瓦萨-拉马努金( Srinivasa Ramanujan)在《印度数学会杂志》上提出了上述问题(如图)。几个月之后,他提供了一个解决方案。 在这篇文章中,我们将讨论拉马努金的解决方案,同时探索一个基于微积分的方法来解决这个问题。所以,让我们直接深入探讨吧。
声明
但首先,让我们明确说明几件重要的事情。
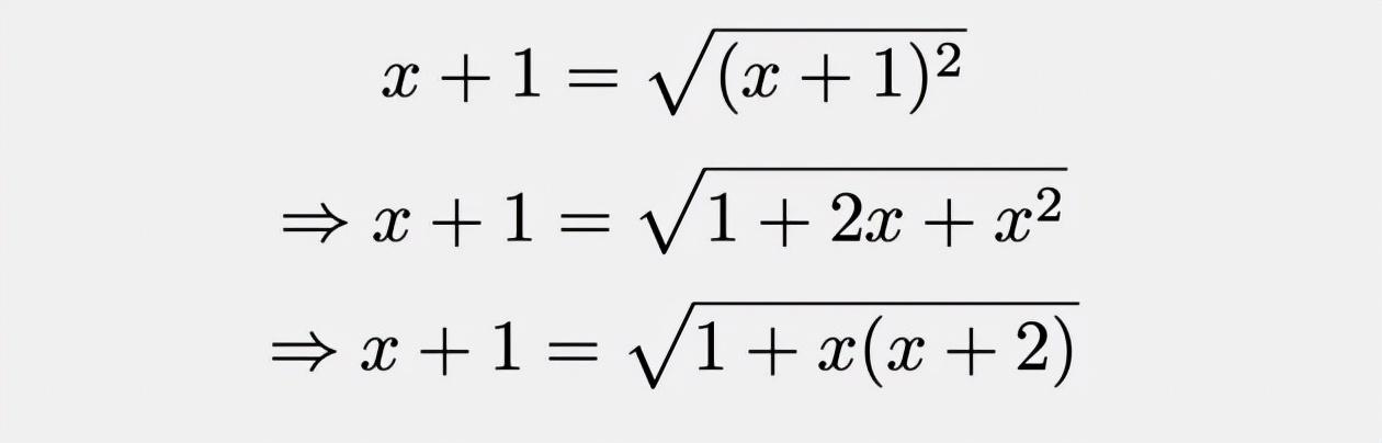
我们将在上面给出的数列收敛的假设下开始。严格地说,我们应该先证明这个数列的收敛性,然后再求它的极限。然而,为了简单起见,我们认为数列的收敛是理所当然的,只关注于求极限。下面介绍的解并不是拉马努金在杂志上提供的精确解。相反,它是一个简化版本,目的是为了抓住拉马努金解的要点。请注意,对于任何非负实数x,我们有:
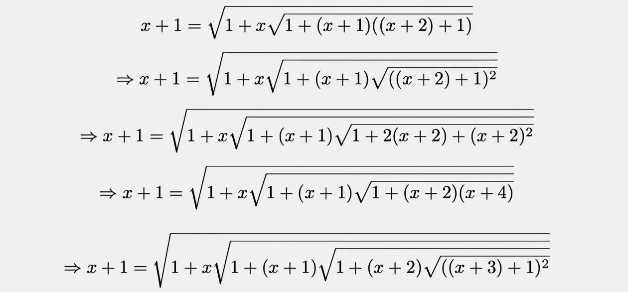
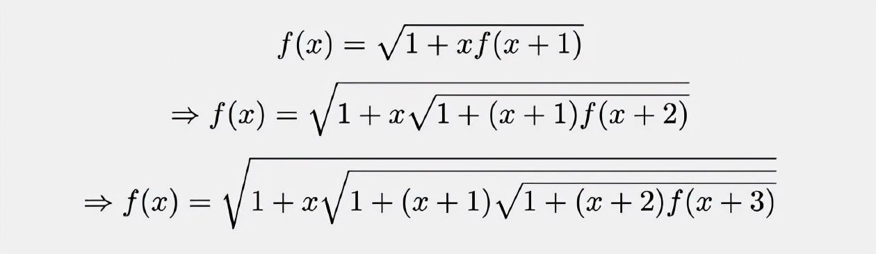
现在,(x+2)又可以写成((x+1)+1),从而得到:
继续这个过程,把(x+3)写成((x+2)+1),我们得到:
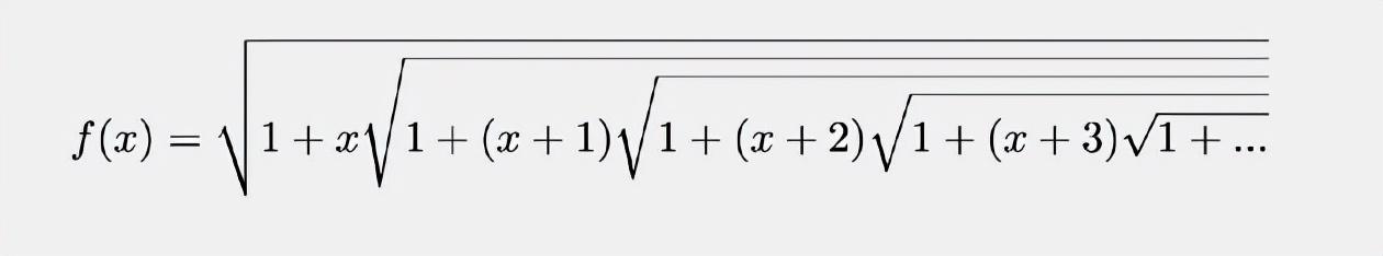
这个规律现在已经很明显了。如果我们无限地进行这个过程,我们会得到:
现在神奇的事情来了。 插入x=2,我们得到:
就这样,我们得到了答案, 原来只是3!就这样简单而明了,的确如此。
我们很难不对这个解决方案的天才之举感到惊讶,谁会想到把一个数字表示为它的平方根会得到这样一个美丽的等式呢?
此外,上述问题是更广泛的一类问题的一个极好的例子,其中所提出的问题是具有更一般性质的特殊情况。在这种情况下,我们首先找到一般的恒等式,然后代入合适的值来得到期望的结果。例如:
所以,这就是拉马努金对这个问题的思路。接下来,我们继续探索基于微积分的方法来解决这个问题。
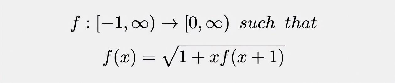
声明:我们假设存在一个可微的实值函数f,隐式定义为:
同样,我们在这里放弃了一些数学上的严谨性,假设这样的函数存在,而没有实际证明这一点。现在,我们的目标是,如果这样的函数存在,我们能否利用它来解决我们的原始问题?
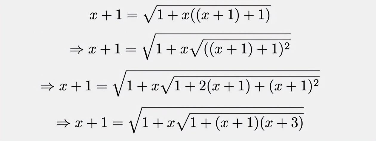
请注意:
继续下去,我们得出了:
现在可以清楚地看到,我们问题的解f(2), 这是因为:
当然,以上就是我们的函数定义的灵感来源。现在,让我们试着找出f(2)的值。
然后:
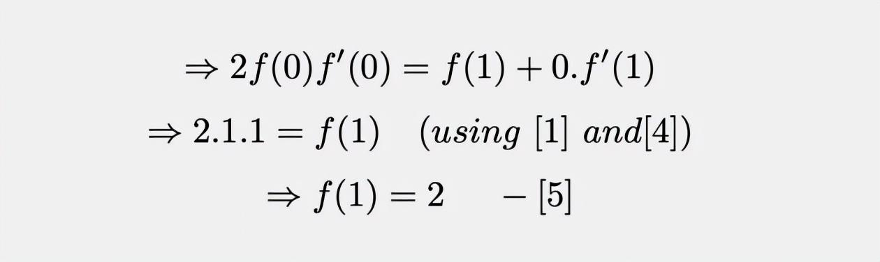
现在,让我们看看f(x)的导数告诉了我们什么。
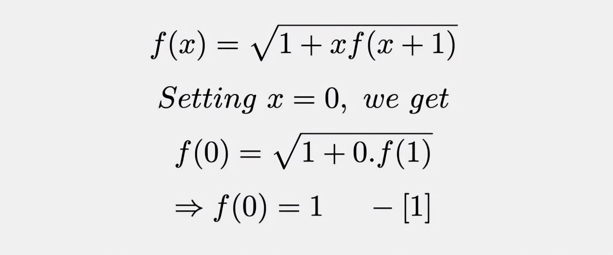
同样,在[3]中设置x=0,我们得到:
回到原来的方程:
我们得到了 f(2)的值,也就是是3。
补充一些历史背景,拉马努金在1911年发表了这个问题,当时他正试图在国家数学界建立自己的地位。几年后,他与G.H.哈迪取得联系,搬到了剑桥,在接下来的五年里,他们两人将形成有史以来最佳的数学伙伴关系之一。
拉马努金是一个不需要特别介绍的名字。他的生活和成就已经被彻底记录下来了。这篇文章上提出的问题只是他最喜欢的领域之一。
作为他的典型代表,拉玛努强对数学的特定领域有着全身心的兴趣,而对其他领域则完全漠不关心。当然,谁能比哈迪本人更了解这一点呢?我们以他的一句精彩的话来结束本文,这句话恰当地概括了拉马努金:
他的知识的局限性与它的深刻性一样令人吃惊。这个人可以算出模方程和定理......达到闻所未闻的程度,他对续分数的掌握......超过了世界上任何一位数学家;但他却从未听说过双周期函数或柯西定理,而且对复变函数的概念也模糊不清。
版权声明:我们致力于保护作者版权,注重分享,被刊用文章【周期函数怎么证明(印度数学天才拉马努金)】因无法核实真实出处,未能及时与作者取得联系,或有版权异议的,请联系管理员,我们会立即处理! 部分文章是来自自研大数据AI进行生成,内容摘自(百度百科,百度知道,头条百科,中国民法典,刑法,牛津词典,新华词典,汉语词典,国家院校,科普平台)等数据,内容仅供学习参考,不准确地方联系删除处理!;
工作时间:8:00-18:00
客服电话
电子邮件
beimuxi@protonmail.com
扫码二维码
获取最新动态
