(更正版)
此题是难得的好题,难在第二,三问,第二问求导,令导函数等于零,分子部分是一个一元四次方程,解一元四次方程,高中阶段没学过,但我们可以尝试代入一些特殊值(此题我想到的是1,那你也可以试试负1,为什么?因为是四次方程,可能有对称,(^一^)),检验一下是否是方程的解。如果能找到一些方程的解,那就能降次,由一元四次,降为一元三次或一元二次,这样就好解决了;再用待定系数法将降次以后的一元三次、一元二次的各系数分别求出来,接下来就轻松了。或者你直接提取“公因式”,不必像我这样这么麻烦
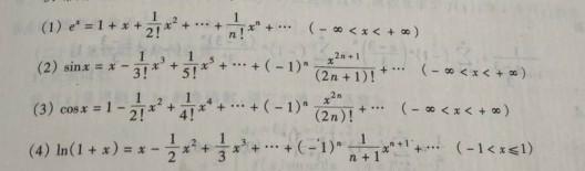
本题最难的是第三问,原函数f(x)里面有个InX,这是一个提醒,常用的技巧是构造函数与其比较,从而达到放缩的目的。比如,InX 但此题没那么简单,如何才能有效,有目的的不等式放缩?有人说,用大学的基础知识,麦克劳林级数: 你可以试试,一般高中阶段用到X^3以下,已经够难的了,见图。 我也尝试了,但我解决不了。还是用大学《数学分析》里的“拉格朗日中值定理”?你也可以试试,但那是大学的解法。 怎办? 这是我在证明过程中遇到的困难,③式这里,不等号左边一个k,右边一个k,能否通过变换,使In(X1/X2)消失,然后左右两个K也同时约掉!剩下1/2*(X1一X2)^2,大于零,那是必须的( •͈ᴗ⁃͈)ᓂ- - -♡ 好,怎样构造一个函数,能够大于 In(X1/X2),并且使不等式左右两边的K可以全部约掉?你试试,发挥你的想像空间: 这是我在草稿纸上的推演构造,下面剩下的就是证: 其中t=(X1/X2),大于1,你可以自己动手试试证。 但后面检查的时候发现上述仅对K非负时适用,当K是负数时还需讨论,并且没那么简单,于是开始更正: 以下是补充证明,当K为负数时,又是构造函数证不等式: 这才证毕! (t>1)这个不等式不是常用的,希望你也能“见招拆招”,为了达到目的,大胆的构造函数与需要放缩的函数进行有效的比较,从而证毕! 这是原题标准答案:声明:此文是原创,请不要抄袭所谓发表论文,谢谢;我的主页制作了课件
版权声明:我们致力于保护作者版权,注重分享,被刊用文章【拉格朗日中值定理证明不等式(见招拆招)】因无法核实真实出处,未能及时与作者取得联系,或有版权异议的,请联系管理员,我们会立即处理! 部分文章是来自自研大数据AI进行生成,内容摘自(百度百科,百度知道,头条百科,中国民法典,刑法,牛津词典,新华词典,汉语词典,国家院校,科普平台)等数据,内容仅供学习参考,不准确地方联系删除处理!;
工作时间:8:00-18:00
客服电话
电子邮件
beimuxi@protonmail.com
扫码二维码
获取最新动态
