肯普纳级数来源于调和级数。所以,先介绍一下调和级数:
调和级数(Harmonic Series):
即所有自然数的倒数之和。
读本科的时候,我曾经一度困惑于如何证明该级数发散。现在知道证明该级数发散的方法很多。这里挑俩我比较喜欢的方法:
缩放法具体思路如下:
该方法只用了初等数学的知识。
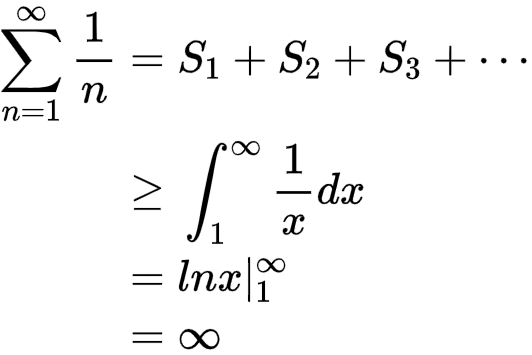
暇积分方法则图中直方图的面积之和即为调和级数。而这些直方图的面积之和大于相应区间内曲线下的面积,而曲线下的面积可以用积分公式求得:
这个方法非常精妙,但要用到高等数学微积分相关知识。
肯普纳级数由调和级数衍生而来。所有自然数中,去掉含数字9的自然数(如9,19,29,...),剩下的自然数的倒数之和即为肯普纳级数。
肯普纳级数
该级数最先由德国数学家在1914年进行了研究。
肯普纳级数是反直觉的(counterintuitive),因为它是收敛的,而他的源级数调和级数则是收敛的。
肯普纳证明了该级数小于80,Baillie求得精确到小数点后20位的级数值:22.92067661926415034816。
同样的道理,人们发现,去掉含"42"的自然数之后的所有自然数的倒数之和约等于228.44630415923081325415;去掉"314159"的所有自然数2302582.33386378260789202376。
那么如何证明肯普纳级数是收敛的呢?很多人给出了证明,如Hardy(哈代,发掘了印度数学天才拉马努金的人)。他的大致思路是这样的:
一位自然数中,不含'9'的数有8个:1,2,3,4,5,6,7,8。这8个数字都大于等于1,故它们的倒数之和小于8*1=8;
二位自然数中,不含'9'的数有8*9=72个(10位数为1-8,个位数为0-8)。这72个数字都大于10,故其倒数之和小于72*1/10=7.1;
三位自然数中,不含'9'的数有8*9*9=648个(百位数为1-8,十位数为0-8,个位数为0-8)。这648个数字之和都大于大于100,故72个数之和小于648*1/100=6.48;
以此类推,N位自然数中,不含'9'的数有8*9^(N-1)个,且都大于等于10^(N-1),故它们的倒数之和小于8*9^(N-1)*1/10^(N-1)。
进而,可以求出所有不含'9'的自然数的倒数之和小于
所以,肯普纳级数是收敛的。
要准确计算肯普纳级数的值比较困难。不过,数学家们给出了一个近似值公式:10^nln10,其中n为排除的数据的位数。如对肯普纳级数,n=1,此时其近似值为10ln10=23.025850929940456840179914546843642076011014886287729760333279009...,与前面提供的值还是比较接近的。
肯普纳级数是调和级数中去掉一些特定特征的项(如自然数含9的项);
虽然调和级数是发散的,但肯普纳级数确实收敛的;
肯普纳级数收敛非常慢;
肯普纳级数有啥用?——无它,仅供把玩。
斑竹枝,斑竹枝,泪痕点点寄相思
版权声明:我们致力于保护作者版权,注重分享,被刊用文章【调和级数发散证明(玩数学)】因无法核实真实出处,未能及时与作者取得联系,或有版权异议的,请联系管理员,我们会立即处理! 部分文章是来自自研大数据AI进行生成,内容摘自(百度百科,百度知道,头条百科,中国民法典,刑法,牛津词典,新华词典,汉语词典,国家院校,科普平台)等数据,内容仅供学习参考,不准确地方联系删除处理!;
工作时间:8:00-18:00
客服电话
电子邮件
beimuxi@protonmail.com
扫码二维码
获取最新动态
