在一级建造师《工程经济》考试中,计算考点一直占据很重要的位置,以2019年的考试为例,计算考点的题目总共有24道,其中单选22道,多选2道,总分26分,占据了将近三分之一的分值!
掌握计算题,考生们不仅要理解公式概念,还要掌握其计算应用,因而成了不少考生的拦路虎。但是,通过总结历年真题发现,计算题有十个考点,历年重复考查了多次,最多的十年考了9次!
【考核年份:2010、2011、2012、2014、2016、2017、2019】概念及计算公式
1. 单利(利不生利):在计算利息时,仅用最初本金来计算,而不计入先前计息周期中所累积增加的利息第 t 计息周期的利息额:It=P x i单单利计算本金和公式:F=P(1+n×i单)
2. 复利(利生利,利滚利):在计算某一计息周期的利息时,其先前周期上所累积的利息要计算利息。复利计算本金和公式:F=P(1+i)n
【2017年试题】某施工企业年初从银行借款200万元,按季度计息并支付利息,季度利率为1.5%,则该企业一年支付的利息总计为( )万元
A.6.00 B.6.05 C.12.00 D.12.27
【答案】C【解析】根据题意“按季度计息并支付利息”可知,利不生利,为单利计息。一年有4个季度,
则:利息=P x i单 x 4=200 x 1.5% x 4= 12(万元),正确选项为 C。
【考核年份:2011、2013、2014、2015、2016、2018】
【2013年试题】某施工企业投资200万元购入一台施工机械,计划从购买日起的未来6年等额收回投资并获取收益。若基准收益率为10%,复利计息,则每年末应获得的净现金流入为( )万元。
A.200×(A/P,10%,6) B.200×(F/P,10%, 6)C.200×(A/P,10%,7) D.200×(A/F,10%,7)
【答案】A【解析】本题为概念性考题,在(F/P,i,n)中,括号内斜线上的符号表示所求的未知数,斜线下的符号表示已知数。根据题意可知,本题为已知 P,求A,且 n 为6年,i 为10%,所以正确选项为A。
【考核年份:2010、2011、2012、2013、2014、2015、2017、2018、2019】
在复利计算中,利率周期通常以年为单位;当计息周期小于一年时,就出现了名义利率和有效利率的概念。
1. 名义利率名义利率r:指计息周期利率i乘以一年内的计息周期数m所得的年利率,即r=i×m2. 有效利率资金在计息中所发生的实际利率,包括计息周期有效利率和年有效利率两种情况。(1)计息周期有效利率,即计息周期利率 i:i=r/m(2)年有效利率,公式:
P:年初资金;r:名义利率;m:一年内的计息次数(3)由此可见,年有效利率和名义利率的关系实质上与复利和单利的关系一样。(4)每年计息周期m越多,ieff与r相差越大。
3. 计息周期小于(或等于)资金收付周期时的等值计算(1)按资金收付周期实际利率计算(2)按计息周期的有效利率计算应注意对等额支付系列流量中,只有计息周期与资金收付周期一致时才能用计息周期的有效利率计算。否则,只能用收付周期实际利率来计算。
【2018年试题】已知年名义利率为8%,每季度复利计息一次,则年有效利率为( )。A.8.8% B.8.24% C.8.16% D.8.00%
【答案】B【解析】根据题意“每季度复利计息一次”,可知一年计息4次,代入公式计算可得年有效利率为:
正确选项为B。
【考核年份:2005、2010、2012、2014、2016、2017、2018 】
(1)总投资收益率(ROI)【2016、2017、2018考核】
总投资收益率表示技术方案总投资的盈利水平。TI——技术方案总投资(包括建设投资、建设期贷款利息和全部流动资金)
EBIT——正常年份的年息税前利润或运营期内年平均息税前利润,年息税前利润=年利润总额+计入年总成本费用的利息费用(2)资本金净利润率(ROE)【2014考核】
EC——技术方案资本金;NP——正常年份的年净利润或运营期内年平均净利润。【净利润=利润总额 - 所得税】
【2016年试题】某项目建设投资为 5000 万元(不含建设期贷款利息),建设期贷款利息为 550 万元,全部流动资金为 450 万元,项目投产期年息税前利润为 900 万元,达到设计生产能力的正常年份年息税前利润为 1200 万元,则该项目的总投资收益率为( )
A.24.00% B.17.50% C.20.00% D.15.00%
【答案】C【解析】此题解题步骤分为两步。第一步:计算技术方案总投资总投资 TI = 建设投资+建设期贷款利息+全部流动资金=5000+550+450=6000万元第二步:计算总投资收益率
故正确选项为C。
1. 当技术方案实施后各年的净收益(即净现金流量)均相等则Pt=I/A (静态投资回收期=总投资/净收益) I--技术方案总投资;A--技术方案每年的净收益,即A=(CI-CO)2. 当技术方案实施后各年的净收益不等则
【2018年试题】某项目估计建设投资为1000万元,全部流动资金为200万元,建设当年即投产并达到设计生产能力,各年净收益均为270万元。则该项目的静态投资回收期为( )年。
A.2.13 B.3.70 C.3.93 D.4.44
【答案】D【解析】题意“各年净收益均为270万元”,当技术方案实施后各年的净收益(即净现金流量)均相同时,静态投资回收期
故正确选项为 D。
【考核年份:2009、2015、2016、2017、2018、2019】
1. 财务净现值的计算财务净现值(FNPV)反映技术方案在计算期内盈利能力的报考评价指标;用预定的基准收益率ic把整个计算期间内各年所发生的净现金流量都折现到技术方案开始实施时的净现值之和。2. 计算公式财务净现值(FNPV)=现金流入现值之和 - 现金流出现值之和
FNPV——财务净现值;(CI - CO)t——技术方案第t年的净现金流量;Ic——基准收益率;n——技术方案计算期。3. 判别条件
【考核年份:2011、2012、2013、2014、2016、2017、2018、2019】
企业经营活动,通常以生产数量为起点,而以利润为目标。在一定期间把成本总额分解简化成固定和变动成本两部分后,同时考虑收入和利润,使成本、产销量和利润的关系统一于一个数字模型。这个数学模型的表达形式为:
利润=销售收入-总成本为简化数学模型,对线性盈亏平衡分析作出假设(4个),据此可得:
利润=单位产品售价×销量-单位产品变动成本×销量-固定成本-单位产品税金及附加×销量简记:利润=总销售收入-单位成本-固定成本-税金上式明确表达了量本利之间的数量关系是基本损益的方程式。其6个变量相互联系,给定其中5个,便可求出另一个变量的值。
【2018年试题】某技术方案设计年产量为12万吨,已知单位产品的销售价格为700元(含税价格),单位产品税金为165元,单位可变成本为250元,年固定成本为1500万元,则以价格(含税价格)表示的盈亏平衡点是( )元 / 吨。
A.540 B.510 C.375 D.290
【答案】A【解析】本题考查“盈亏平衡分析的计算”。把已知条件代入盈亏平衡计算公式,可得:B=p×Q-Cu×Q-CF-Tu×Q=Px12万 - 250×12万-1500万-165×12万=0 ,可求出:P=540元/吨,正确选项为A。
【考核年份:2014、2016、2017、2018、2019】1. 总成本费用总成本费用=外购原材料、燃料及动力费+工资及福利费+修理费+折旧费+摊销费+财务费用(利息支出)+其他费用 2. 经营成本
【扣除费用巧记:腿打折(折旧费)了,摊(摊销费)地上了,不厉(利息支出)害了。】
【2018年试题】技术方案现金流量表中经营成本计算的正确表达式是( )。
A.经营成本=总成本费用-工资福利费-摊销费-利息支出B.经营成本=总成本费用-折旧费-摊销费-利息支出C.经营成本=外购原材料、燃料及动力费+折旧费+财务费用+摊销费D.经营成本=外购原材料费用+利息支出+修理费+其他费用
【答案】B【解析】本题考查“经营成本的公式”。经营成本=总成本费用-折旧费-摊销费-利息支出。
【考核年份:2013、2016、2019】
计算公式
【2019年试题】某设备在 5 年前购买时原始成本为 10 万元,目前账面价格为 5 万元,现在市场同样功能的二手设备售价为 2 万元,新设备售价为 15 万元,则对该设备进行更新分析时,其沉没成本为( )万元。
A. 5B. 8C. 13D. 3
【答案】D【解析】本题考查“沉没成本的计算”。沉没成本=设备账面价值-当前市场价值=5-2=3万元,正确选项为 D。
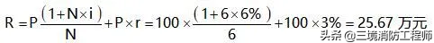
【考核年份:2012、2013、2014、2015、2016、2018】设备租赁费用主要包括:租赁保证金、租金、担保费。对于租金的计算主要有附加率法和年金法。在一建《工程经济》考试中,主要考核的是附加率法的计算应用。1. 概念附加率法是在租赁资产的设备货价或概算成本上再加上一个特定的比率来计算租金。
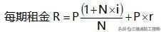
2. 计算公式
式中 P——租赁资产的价格;N——租赁期数,可按月、季、半年、年计;i——与租赁期数相对应的利率;r——附加率。
【2018年试题】某施工企业拟租赁一台设备,该设备价格为100万元,寿命期和租期均为6年,每年年末支付租金,折现率为6%,附加率为3%,则按附加率法计算每年租金为( )万元。A.18 B.22.67 C.25.67 D.36.00
【答案】C【解析】本题考查“附加率法计算租金”把已知条件代入附加率法公式,计算可得
,正确选项为 C。
版权声明:我们致力于保护作者版权,注重分享,被刊用文章【成本会计计算题及答案(一建考前必看)】因无法核实真实出处,未能及时与作者取得联系,或有版权异议的,请联系管理员,我们会立即处理! 部分文章是来自自研大数据AI进行生成,内容摘自(百度百科,百度知道,头条百科,中国民法典,刑法,牛津词典,新华词典,汉语词典,国家院校,科普平台)等数据,内容仅供学习参考,不准确地方联系删除处理!;
工作时间:8:00-18:00
客服电话
电子邮件
beimuxi@protonmail.com
扫码二维码
获取最新动态
