好像又很久没更新了哈?
每次都是相信勃勃,但却总是力所不逮。
无论如何,只要有时间,就一定会继续的。
一叶障目,抑或胸有成竹
定点子弦与定值子弦一直是考试的热点,结论应有尽有,方法面面俱到。
直线是否过定点,可先取若干特殊值简单试探。
当然,所谓探索性问题,本质上就是证明问题,因此“必要性探路,再证充分性”的套路顺理成章。
关于方法,我会选择熟悉和喜欢的,未必尽如人意。倘若有更好的,不妨留言。
手足无措,抑或从容不迫
浮光掠影,抑或醍醐灌顶
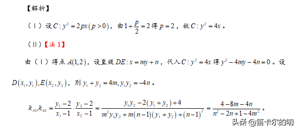
【法1】,设线法。设直线方程,利用题设及韦达定理将双参数转化为单参数,直线过定点与参数无关。
【法2】,设点法。设点得到相应坐标的关系,利用点斜式求得定点坐标。
点代法是我所喜欢的方法,并非装×,主要是线代法用滥了。不过,点代法对代数变形有较高要求。
【法3】,齐次化法。以点A为原点建立新直角坐标系,在新坐标系下得到抛物线方程和直线方程并构造齐次式,则直线AD与AE的斜率即为方程的两根,由韦达定理求得两根之积进而求得定点坐标。
对于斜率和与斜率积的题型,直接使用齐次化法,干脆利索。而对于斜率差,斜率平方和,斜率倒数和等题型,需变形后再使用。
由于本题难度不大,因而方法没有显著差异。法1必须掌握,法2选择掌握,法3了解即可。
定理的证明可仿效解析,不作赘述。另外,上述定理可推广至椭圆与双曲线,感兴趣的可自行尝试。
显然,本题是定理2的直接运用,不妨试试。
行同陌路,抑或一见如故
版权声明:我们致力于保护作者版权,注重分享,被刊用文章【韦达定理证明(第194夜)】因无法核实真实出处,未能及时与作者取得联系,或有版权异议的,请联系管理员,我们会立即处理! 部分文章是来自自研大数据AI进行生成,内容摘自(百度百科,百度知道,头条百科,中国民法典,刑法,牛津词典,新华词典,汉语词典,国家院校,科普平台)等数据,内容仅供学习参考,不准确地方联系删除处理!;
工作时间:8:00-18:00
客服电话
电子邮件
beimuxi@protonmail.com
扫码二维码
获取最新动态
