全文共1794字,预计学习时长15分钟
图片来源:pexels.com
线性回归是数据科学中最简单也是最重要的算法。无论面试的工作领域是数据科学、数据分析、机器学习或者是量化研究,都有可能会遇到涉及线性回归的具体问题。要想熟练掌握线性回归,需要了解以下知识。
注:本文仅涉及理论而非代码。
图片来源:pexels.com
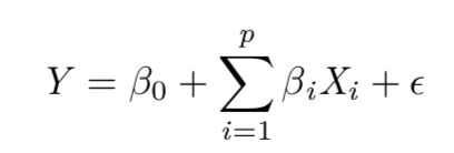
本文假设读者对线性回归有一定了解,但在开始介绍之前还是要回顾下线性回归的公式和假设。假设现在有N个观察值,输出向量Y(维度为Nx1),p输入X1,X2,...,XP(每个输入向量维度都为Nx1) 。线性回归假设回归函数E(Y |X)在输入中是线性的。因此,Y满足以下条件:
公式中ε代表误差。线性假设是线性回归中唯一必须的假设——稍后本文会添加更多假设以推断更多结果。
虽然以上公式似乎看上去简单,但要找到系数并不容易(β值)。我们将此称为带有‘^’的β值为系数估计值。
以下是三个你必须要知道的指标(须牢记):
· RSS是残差平方和。
公式中y_i是观察值i的输出值,ŷ_i则是观察值i的估计输出值。
· TSS是总平方和。
其中
· R2用于衡量X与Y之间的线性关系。
只要熟悉以上公式,就应该能通过逻辑推理推断出其他所有结果。
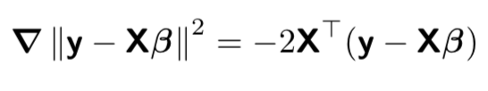
之前谈到,线性回归的关键是找到估系数的估计值。系数可以通过最小化RSS获得。定义X和Y如下:
注意,这里在输入矩阵中添加了一列1,以便考虑截距beta_o。现在最小化问题等同解决:
所以我们能计算出正确项的梯度:
理论上的估计值(带有‘^’的β值)应该也与o相等。
若 X⊤X非奇异,显然答案为:
这是必须了解的公式,但你也应该有能力像上文那样证明该公式。此处非奇异假设是关键。我们也能推导出y估计值的公式:
了解在Nx1维度(只有一个输入变量)时的明确答案也是有用的:
此处的x是向量(而非矩阵),如果已经有更一般的解决方法时,就会很容易记住:X⊤X是输入变量的方差(在一维空间中,倒数相当于除以该项),而X⊤y则是协方差项。也可以通过在一维空间做类似计算来得出答案。
图片来源:pexels.com
面试中,了解一些关于线性规划的统计概念也很重要。
本部分假设读者了解统计测试值的基本知识(包括t值、F/f值和假设检验)。
假设存在以下正常误差,例如:
(不要忘记这里的ε是向量!)之后估计值满足以下条件:
因此:
得到以下结论:
此结果有助于计算系数beta_j为零的零假设:可以计算t值:
在零假设中,z_j服从自由度为N-p-1的t值(分布),如果N足够大,则服从正态分布。
计算该值可帮你评估零假设。例如,高于1.96的t_j值可确保在5%的水平下beta_j系数不为空的显著性。
利用给定系数也可以计算置信区间:得出以下近似置信区间(1-2*alpha):
使用标准正态曲线下面积来计算:
通过计算F值也可以检验以下假设,即所有系数均为零。
零假设服从F(p, N-p-1)的统计/分布量。因此F值较大也可用来反对零假设的证据。
当寻找β的最佳估计时,会自然地想到最小平方/二乘优化,但为什么呢? 首先,可以证明最小二乘估计量是无偏的,即
实际上,有一个定理证明了最小二乘估计的方差最小 。这就是高斯马尔可夫定理 :该定理显示,最好的无偏估计是最小二乘法。
首先要了解何时会有非满秩矩阵。要记住x是在(N,p+1)维度,X⊤X则在(p+1,p+1)。可以看到,只有在X的秩为p+1的情况下,X⊤X为满秩,从而迫使N必须大于p。
如果不是这种情况(参数多于观察值),可以用缩减技术,例如岭回归。实际上,当我们在 X⊤X 的对角线上添加一个项时,问题就变得可行了。以岭回归举例 :
得到解法:
的确,因为 X⊤X 为半正定矩阵,其特征值均为正,向对角线添加正项使其满秩,这样问题转化为非奇异。这也是为什么要在p>>N的情况下,使用正则化技术。
留言 点赞 关注
我们一起分享AI学习与发展的干货
欢迎关注全平台AI垂类自媒体 “读芯术”
版权声明:我们致力于保护作者版权,注重分享,被刊用文章【高斯马尔科夫定理证明(要成为)】因无法核实真实出处,未能及时与作者取得联系,或有版权异议的,请联系管理员,我们会立即处理! 部分文章是来自自研大数据AI进行生成,内容摘自(百度百科,百度知道,头条百科,中国民法典,刑法,牛津词典,新华词典,汉语词典,国家院校,科普平台)等数据,内容仅供学习参考,不准确地方联系删除处理!;
工作时间:8:00-18:00
客服电话
电子邮件
beimuxi@protonmail.com
扫码二维码
获取最新动态
