豆包在圆周率π取3.14,我们可以接受吗?(三)中,通过对正多边形周长的讨论,得到了一个结论。
如果我们接受圆周率π取3.14,那么我们也至少接受了圆的周长取内接正57边形的周长。
这次,我们将讨论正多边形的面积。
在圆周率π取3.14,我们可以接受吗?(二)中,我们给出了刘徽的割圆术。
在圆内做一个内接正多边形。内接正多边形的边数越多,它的面积越接近圆的面积。
豆包决定给大家解释一下这个结论。
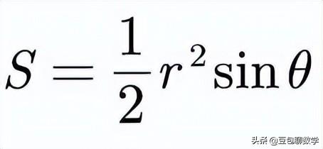
画一个圆,半径为r。在圆内做一个内接正n边形(n≥3,n为正整数),紫色部分三角形的面积为S。
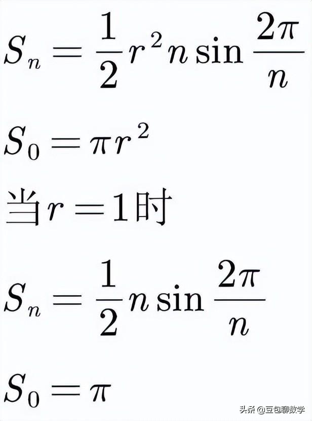
圆的面积S0:
紫色部分三角形的面积S:
内接正n边形的面积Sn:
接下来,我们要证明一个极限。
单调有界定理:单调有界数列必有极限。
根据高数里面的单调有界定理,应该先证明极限存在,然后再证明极限的值等于某一个数。
由于过程繁琐,豆包在这里就不证明极限存在了(有兴趣的伙伴可以参考圆周率π取3.14,我们可以接受吗?(二)),只证明极限值等于π。
现在,我们证明了这个结论:在圆内做一个内接正多边形。内接正多边形的边数越多,它的面积越接近圆的面积。
大家仔细观察一下下面两个式子。
当半径r=1时,我们做出正多边形面积函数的图像。
我们接下来要解这个方程。
豆包认为这类方程大多需要依靠强大的解方程的计算器才能求解。这里只给出结果。
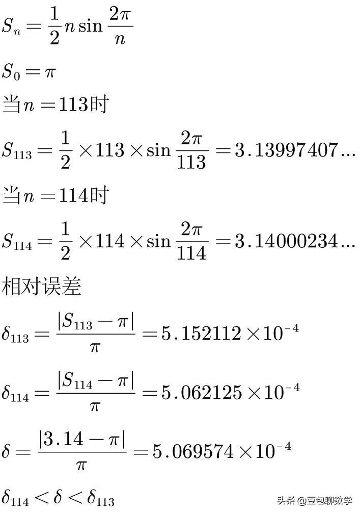
结果:n是一个在113到114之间的数。
因此,当n大于等于114时,我们可以接受正多边形的面积等于圆的面积。
换言之,如果我们接受圆周率π取3.14,那么我们也至少接受了圆的面积取内接正114边形的面积。
π和3.14的相对误差我们都接受了,比它更小的相对误差我们为什么不能接受呢?
版权声明:我们致力于保护作者版权,注重分享,被刊用文章【有界性定理证明(圆周率π取3)】因无法核实真实出处,未能及时与作者取得联系,或有版权异议的,请联系管理员,我们会立即处理! 部分文章是来自自研大数据AI进行生成,内容摘自(百度百科,百度知道,头条百科,中国民法典,刑法,牛津词典,新华词典,汉语词典,国家院校,科普平台)等数据,内容仅供学习参考,不准确地方联系删除处理!;
工作时间:8:00-18:00
客服电话
电子邮件
beimuxi@protonmail.com
扫码二维码
获取最新动态
