电与磁真的是一对好基友,它们相互交叠,组成了自然界中变化万千的电磁现象,让无数科学家以及工程师心向往之。而早在 19 世纪中期,电与磁登上了历史的舞台,主导了第二次工业革命,发电机、无线电等新技术的出现给当时的人类社会进步提供了源源不断的动力。
然而,电与磁的“纠葛”远不像我们想象的那么简单,有一种名为“三维量子霍尔效应”的神奇电磁现象,成为了近几年的一个热门研究话题。
毫不夸张地说,量子霍尔效应是 20 世纪以来凝聚态物理领域最重要的科学发现之一,迄今已有四个诺贝尔奖与其直接相关。但是三维量子霍尔效应一百多年来都是科学家们心中的一片净土。
而人类历史上首次观测到三维量子霍尔效应,是由我国复旦大学物理学系修发贤课题组在拓扑半金属砷化镉纳米片中实现的,成果以论文的形式发表在了2018 年 12 月的 Nature 上。
时隔半年之后,来自南方科技大学和中国科技大学、新加坡科技设计大学的研究团队也将自己对于三维量子霍尔效应的实验结果公诸于世,结果以论文的形式于2019 年 5 月 8日刊登在 Nature 上。相较此前修发贤课题组的发现,此次的发现亮点在于通过实验的方式验证了三维量子霍尔效应,并在 ZrTe5 上发现了金属-绝缘体的转换,更加具有应用方向的意义。
(来源:Nature )
可以说在修发贤课题组的发现之前,科学家对于量子霍尔效应的研究仅仅停留于二维体系,而对于三维体系也只有无尽的猜测。修发贤团队发现了由三维“外尔轨道( Weyl orbits )”形成的新型三维量子霍尔效应的直接证据,迈出了从量子霍尔效应从二维到三维的关键一步。
此次,南方科技大学和中国科技大学的研究团队紧随其后,进一步证实了三维量子霍尔效应并验证了显著的拓扑绝缘体现象。
让无数科学家竞折腰的“三维量子霍尔效应”,到底是什么?
首先我们需要知道什么是霍尔效应。此现象由美国物理学家E.霍尔(Edwin Hall)于1879年在实验中发现,以其人名命名流传于世。
图丨Edwin.Hall其人(来源Wiki百科)
这个比较简单的物理现象现在已经进入了高中物理课本中,其核心理论就是,带电粒子(例如电子)在磁场中运动时会受到洛伦兹力的作用发生偏转,那么在磁场中的电流也有可能发生偏转。当电流垂直于外磁场通过半导体时,载流子发生偏转,在导体两端堆积电荷从而在导体内部产生电场,其方向垂直于电流和磁场的方向。当电场力和洛伦兹力相平衡时,载流子不再偏转。
而此时半导体的两端会形成电势差,这一现象就是霍尔效应,这个电势差也被称为霍尔电势差。
图丨霍尔效应 a.向通电导体加以垂直于电流方向的磁场,能使得电荷运动发生偏转,在导体左右侧堆积电荷从而产生霍尔电压 VH;b.电子处于磁场和霍尔电压作用下的受力分析。(来源:英国 ALevel-Physics 课本)
总的来说,霍尔效应其实是电信号与磁信号的桥梁,任何电信号转换为磁信号的地方都可以有霍尔传感器。
也就是说,这个看似高深的概念,其实和我们的生活很近:比如我们将霍尔元件放在汽车中,可以测量发动机的转速,车轮的转速以及方向位移;再比如,我们将霍尔元件放在小电驴中,可以做成控制电动车行进速度的转把,称为霍尔效应调速器。
(来源:互联网)
但是,需要补充一下的是,霍尔当时发现了霍尔效应仅仅是现象而已,并没有给出有关电子偏移等理论分析。
原因是电子直到 1897 年才由汤姆逊发现,霍尔也就没有将两者联系在一起。
在一百年后的1980年,来自德国维尔茨堡的青年教师克劳斯·冯·克利青(Klaus von Klitzing)通过理论分析和实验发现了整数量子霍尔效应(Integer Quantum Hall Effect),他本着万物皆可量子的思维,将霍尔效应带到了量子的领域,一切都变得不一样了。
冯·克利青发现量子霍尔效应一般都是在很极端的条件下出现——超低温和强磁场,正如其实验中使用的极低温(1.5K)和强磁场(18T):此时电流中的电子不再是像普通霍尔效应中那样单纯地发生偏转,它们的偏转变得更加剧烈并且偏转的半径变得很小,仿佛就在导体内部围绕着某点转圈圈。而在边缘的电子怎么办呢?只能转半圈,并接着被磁场偏转,仿佛通过这样的弹跳“路径”通过导体。一言以蔽之,导体中间的部分电子被“锁住了”,要想导通电流只能走导体的边缘。
图丨克劳斯·冯·克利青获得 1985年诺贝尔物理学奖(来源:互联网)
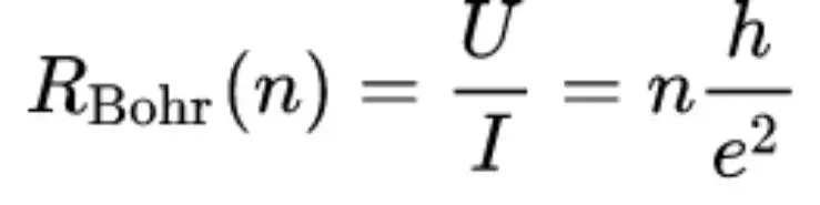
不难想象,增大或者减小磁场会改变电子流通的路径,那么此时导体的电阻值是不是也与外加磁场相关?答案是肯定的,我们发现导体的电阻值与外加磁场相关并呈现台阶式的变化。如图中,红线就是量子霍尔电阻的变化,其公式可以写成:
图丨 量子霍尔效应中量子霍尔电阻与磁场的关系(来源:维基百科)
冯·克利青推出的这个公式中,n代表正整数,因此他发现的又被称为整数量子霍尔效应,他也因此获得 1985年诺贝尔物理学奖。
其后,华人科学家崔琦、霍斯特·施特默和亚瑟·戈萨德发现分数量子霍尔效应,而前两者因此与罗伯特·劳夫林分享1998年诺贝尔物理学奖。2004年,英国曼彻斯特大学物理学家安德烈·海姆和康斯坦丁·诺沃肖洛夫,成功地在实验中从石墨中分离出石墨烯,并在室温下观察到量子霍尔效应。
图丨二维量子霍尔效应
可以说,量子霍尔效应是诺贝尔奖的常客,只要发现相关现象就有诺奖的潜质。不过其相关理论研究和应用研究还是留有很大空白的,很多研究方向都朝着简化应用条件方向走,例如2010年我国理论物理学家方忠、戴希等与张首晟教授合作提出实现零磁场下的反常量子霍尔效应就极具应用意义,能为实现量子霍尔效应的实际应用提供思路。
但是,另外一个更加有重要意义的研究方向就是“三维量子霍尔效应”,因为之前发现的量子霍尔效应仅存在于二维量子系统中,电子表现的形式则是在平面中转圈。如果系统延伸到三维系统中,量子霍尔效应会有怎样的不同?是否会像鳍型场效应管(FinFET)一样刮起一阵风暴呢?毕竟我们生活的空间就是三维的。
人们首先想到的就是直接实现三维系统中的量子霍尔效应——将二维量子系统进行堆叠。但是科学这条路并不能以简单暴力的叠加思路来进行,结果是否定的,我们仅仅得到了准二维量子霍尔效应(Queasi QHE),也并没有观测到明显的量子霍尔电阻以及电子在空间的震荡,好像还不如单个的二维系统。
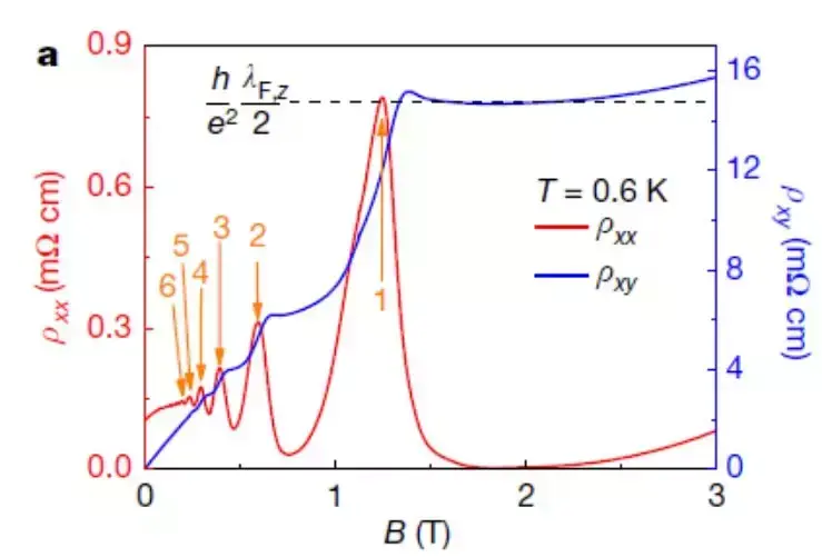
在此背景下,我国的科学家另辟蹊径,选择了不一样的材料,复旦大学物理学系修发贤课题组选择的是 Cd3As2 楔形纳米结构,南方科技大学和中国科技大学的研究团队选择的是 ZrTe5 的三维晶体。两组团队的思路十分清晰,就是三维的纳米结构,其中 ZrTe5 的三维晶体已经被认为是拓扑绝缘体的一种,十分适合研究量子霍尔效应。实验在 1.5K 的条件下进行,研究者们发现了与二维量子霍尔效应类似的现象,其一个方向的电阻呈现台阶式变化,另一个方向的电阻呈现震荡。
图丨ZrTe5三维晶体中观测到的三维量子霍尔效应测试结果(来源:此次论文)
观测到现象,还不足以让科学家们开心,一个重要的问题是:二维量子霍尔效应是电子在平面内“转圈”的结果,那三维量子霍尔效应是电子在空间中“转圈”的结果么?答案远比这个复杂。
首先,电子也是在空间内转圈的,只不过这个转圈就变得很“作”了,它们不好好转圈,反而转出了花样。
图丨三维量子霍尔效应电子运动轨迹示意图(来源:互联网)
对于这样的现象,修发贤团队在论文中给出了这样的解释:“电子在上表面走一段四分之一圈,穿越到下表面,完成另外一个四分之一圈后,再穿越回上表面,形成半个闭环,这个隧穿行为也是无耗散的,所以可以保证电子在整个回旋运动中仍然是量子化的。整个轨道就是三维的‘外尔轨道’,是砷化镉纳米结构中量子霍尔效应的来源。”玄妙地来说,电子在其中的运动就像是穿越了虫洞一样( 不禁想起《银河护卫队2》里面勇度和火箭穿越的 70 0次星际穿越)。
图丨虫洞模型(来源:互联网)
那么,作为一般读者,我们应该如何理解三维量子霍尔效应的意义?
首先,这肯定是凝聚态物理领域重要的科学进展,也似乎能大胆地竞争一下2020 年的诺奖。其次,在应用方面,量子霍尔效应一直是走在路上,更别说三维量子霍尔效应了,但是理论研究总是超前的,应用恐怕还要等一段时间了。
但是,研究的三维量子霍尔效应材料,它们的电子迁移率都是很快的,电子的传输和响应很快,可以在红外探测、电子自旋器件等方面有应用的前景。再次,三维量子霍尔效应能应用于特殊的载流子传输系统,其量子化的导电特性也能成为特殊的应用。
且在这次的研究中,南方科技大学和中国科技大学的研究团队还将材料的导电特性进行了“大扫描”,在温度T= 0.6K~200K、外加磁场B=0~12T的范围内进行了全面诊断,得出了金属-绝缘体的转换规律:
也就是在告诉我们,人们能够通过控制温度和外加磁场实现金属-绝缘体的转化。控制即是应用的方法么,最简单的我们能应用此原理制造“量子磁控开关”等电子元器件。
最后,值得一提的是,三维量子霍尔效应的这两次重要验证均由我国科学家率先实现,也表示着我国在三维量子霍尔效应研究领域占得先手,下一步,中国科学家如果能率先制造出世界上第一个三维量子霍尔效应元件,就会将科学研究推向实际应用层面,扩大优势。
版权声明:我们致力于保护作者版权,注重分享,被刊用文章【霍尔三维结构案例(南方科大)】因无法核实真实出处,未能及时与作者取得联系,或有版权异议的,请联系管理员,我们会立即处理! 部分文章是来自自研大数据AI进行生成,内容摘自(百度百科,百度知道,头条百科,中国民法典,刑法,牛津词典,新华词典,汉语词典,国家院校,科普平台)等数据,内容仅供学习参考,不准确地方联系删除处理!;
工作时间:8:00-18:00
客服电话
电子邮件
beimuxi@protonmail.com
扫码二维码
获取最新动态
