例题:
证明数列为等差或等比数列的首选方法是定义法。
这类题目的出题模式是这样的:题中给出数列的相邻两项bn和bn+1的关系,要求证明某个含有bn的复杂数列为等差或等比数列。
定义法解法就是:
1.若要求证明等差,就用bn+1-bn,代入题中所给关系式,化简得出结果是一个常量;
2.若要求证明等比,就用bn+1/bn,代入题中所给关系式,化简得出结果是一个不为零的常量。
本题比较独特:虽然要研究数列{bn},可是题中给出的关系式中却夹杂着数列{an}。
我们要想方设法把an,an+1消去。
如何消去呢?
这样an+1就可以用含有bn的关系式来表示了。
可是(1)式中还有an怎么表示呢?
这就要用到数列的迭代思想,(3)式中n的取值是任意正整数,我们可以把每一项的脚标同时减小一个。
我们成功地把an和an+1用含有bn的式子来表示,下面用代入消元法。
这种证明的方法称为中项法。
说的具体一些,中项法又分为等差中项法和等比中项法。
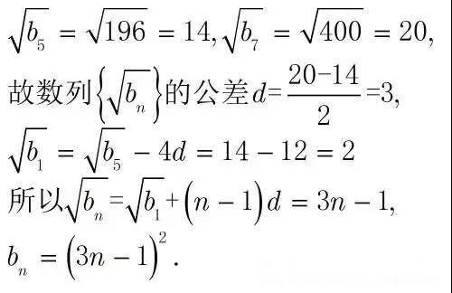
下面的求解过程顺理成章,先求中间数列的通项,它能够帮助我们最终求得数列{bn}的通项。
版权声明:我们致力于保护作者版权,注重分享,被刊用文章【证明等比数列的方法(高中数学课程)】因无法核实真实出处,未能及时与作者取得联系,或有版权异议的,请联系管理员,我们会立即处理! 部分文章是来自自研大数据AI进行生成,内容摘自(百度百科,百度知道,头条百科,中国民法典,刑法,牛津词典,新华词典,汉语词典,国家院校,科普平台)等数据,内容仅供学习参考,不准确地方联系删除处理!;
工作时间:8:00-18:00
客服电话
电子邮件
beimuxi@protonmail.com
扫码二维码
获取最新动态
