高斯在他的博士论文中证明了如下的命题,使之升级为了定理:一个带有复数系数的n次代数方程g(x)=0,其中n为正整数:
至少有一个复数解。(在这里我们把实数看成虚部为零的复数)
人们称上述高斯的结论为代数基本定理。
上述定理在欧拉的有生之年都未得到证明,但是欧拉直接将其应用到了无穷级数的研究当中。
应用上述定理可证明如下命题:
多项式g(x):
可以恰好分解为n个一次因式的乘积:
其中b1,b2...bn是g(x)=0的所有的根。
我们可以应用高斯论文中的结论证明这个命题!
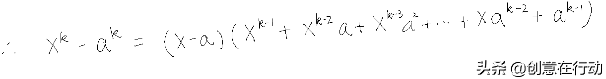
让我们考虑如下的多项式:
我们发现当给这个多项式乘以一个因子x-a时,我们有:
这样我们得到了一般的结论:
根据上述公式我们可以知道:
下面我们观察一个多项式g(x)如下图所示:
由高斯论文中的结论可知,g(x)=0必有一个复数根我们记为b,那么我们观察如下推导,我们得到了之前我们探究过的因式分解的形式:
因为g(b)=0我们可知:g(x)-g(b)=g(x),我们可以提出一个因子x-b得到如下关系:
我们对h(x)也进行g(x)的操作,我们可以不断这样操作,不断地提取因子,将g(x)写成如下形式:
此时我们还不知道这些b1,b2...bn 是不是g(x)=0的所有的根,我们假设不是这样的,还有另一个根c,我们得到了如下复数乘积的形式,由于c是g(x)的根,所以g(c)=0:
如果若干复数相乘乘积为零,必须至少有一个复数为零 ,因此可知c是b1,b2...bn 中的一个,所以我们证明了b1,b2...bn是g(x)=0的所有的根。
因此我们根据高斯博士论文中的结论证明了多项式g(x)可以恰好分解为n个一次因式的乘积。
版权声明:我们致力于保护作者版权,注重分享,被刊用文章【欧拉线的证明(代数基本定理)】因无法核实真实出处,未能及时与作者取得联系,或有版权异议的,请联系管理员,我们会立即处理! 部分文章是来自自研大数据AI进行生成,内容摘自(百度百科,百度知道,头条百科,中国民法典,刑法,牛津词典,新华词典,汉语词典,国家院校,科普平台)等数据,内容仅供学习参考,不准确地方联系删除处理!;
工作时间:8:00-18:00
客服电话
电子邮件
beimuxi@protonmail.com
扫码二维码
获取最新动态
