拿破仑·波拿巴是十九世纪法国伟大的军事家、政治家,法兰西第一帝国的皇帝。拿破仑也是一名颇具才能的数学爱好者,上军校时曾获得数学奖,被其数学老师视为得意门生。他发现并证明了以下定理:
以任意三角形各边为边分别向外侧作等边三角形,则他们的中心构成一个等边三角形。该等边三角形称为拿破仑三角形。如果向内作三角形,结论同样成立。
放手家长(头条号@放手家长)曾利用复数三点比的性质,对上述定理给出了一个非常漂亮的证明。证明简洁美观,感兴趣的读者可以去了解一下。
现在,我们重新思考拿破仑定理,初等几何最常见两大类几何图形就是三角形和矩形了。拿破仑定理中,是根据三角形的每条边同时向内或向外做正三角形,那么如果向外或向内做正方形会如何呢?
如下图,任取三角形ABC,以三条边分别向外做正方形。取三个正方形的中心,连接成新三角形DEF。利用几何画板作图如下:
然而,并没有正三角出现,甚至连个等腰三角形也不是。似乎此路不通。
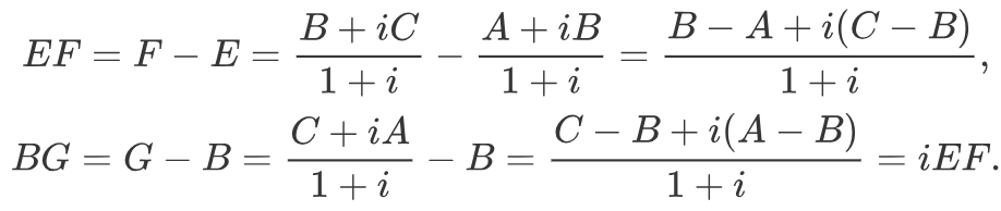
不着急。我们再仔细观察一下上面的图形。看起来,如果连接BG的话,似乎BG和EF是垂直的,而且长度还差不多。由三条边的未加限定的一般性可知,假如BG和EF垂直且相等的话,那CE和FG垂直且相等,AF和EG垂直且相等。从图上看来,似乎是成立的!不妨一试。
这里以验证线段BG和EF的关系为例:隐藏无关线段,连接BG。移动三角形各个顶点,观察EF、BG的长度和斜率变化,如下:
在变化的过程中,EF与BG始终相等且两者斜率乘积为-1,也就是互相垂直。
现在,几乎可以肯定结论是正确的,但几何画板不是证明。还需要给出严格的数学证明。类似地,这里用复数的性质进行证明。两线段垂直且相等,其实就是旋转90°的关系。等价于线段对应的复数z1和z2满足z1=±i*z2(i是虚数单位,i^2=-1)。
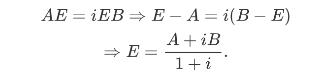
建立复平面,A,B,C,E,F,G各点分别表示一个复数。怎么样处理这六个点呢?题设是先有任意一个三角形ABC,再有三个点EFG的,所以思路就是建立EFG三个点和ABC三点之间的关系。
容易知道,三角形AEB是等腰直角三角形,AE=BE,且互相垂直,对应复数关系,也就是:
同理,有
于是
从而|EF|=|BG|,两者的确垂直且相等。同理可证CE和FG垂直且相等,AF和EG垂直且相等。
证明完毕!
现在,我们再思考一下。拿破仑定理是利用任意三角形然后再做正三角形,上面的推广把正三角形变成了正方形,以任意三角形然后再做正方形,我们也得到比较不错的性质。但是,似乎哪里有些不和谐的地方?
任意三角形是不是可以改成任意四边形呢?以该四边形的四条边再做四个正方形,这样是不是和拿破仑定理更有”对称性“的一种推广形式呢?不妨一试。
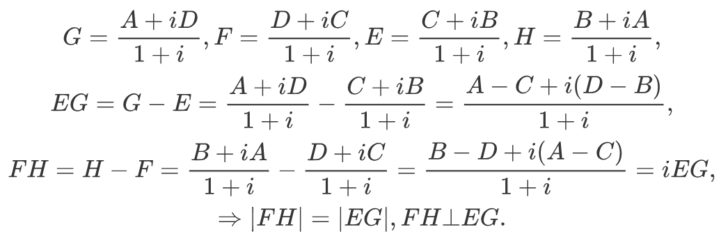
几何画板作图如下:作任意四边形ABCD,分别以各边向外做正方形,中心分别是EFGH.
有了前面的铺垫,一眼可以看出GE与FH垂直且相等。
类似地,利用复数,有如下证明:
于是,我们得到奥贝尔定理:任意一个四边形(凸或凹皆可),在其各边外侧构造一个正方形。将对边正方形的中心连线,就得到两条长度相等且互相垂直的线段。三角形可以视为四边形的特例——一条边为0的四边形。此时,两个顶点以及相应正方形的中心收缩为同一个点,奥贝尔定理仍成立。
复数作为几何证明的一种方法,其实就是解析几何中的向量分析。但复数天然地既可视为数,又可视为旋转拉伸变换,具有良好的运算性质和清晰的几何意义,所以许多平面几何的问题,运用复数都可以做出比较简洁的解答。
版权声明:我们致力于保护作者版权,注重分享,被刊用文章【正方形怎么证明(从拿破仑定理到奥贝尔定理)】因无法核实真实出处,未能及时与作者取得联系,或有版权异议的,请联系管理员,我们会立即处理! 部分文章是来自自研大数据AI进行生成,内容摘自(百度百科,百度知道,头条百科,中国民法典,刑法,牛津词典,新华词典,汉语词典,国家院校,科普平台)等数据,内容仅供学习参考,不准确地方联系删除处理!;
工作时间:8:00-18:00
客服电话
电子邮件
beimuxi@protonmail.com
扫码二维码
获取最新动态
