凸函数是在数学中经常出现的概念,它在极为宽广的数学以及相关领域内发挥了巨大的作用。凸函数的定义非常简洁直观,但仅仅做了这样一个“小小”的要求后,我们往往会发现之后的事情会变得非常不一样,有些时候可谓“化腐朽为神奇”。那么,凸函数到底有什么神奇的力量呢?
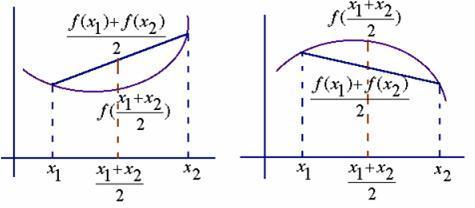
首先我们从凸函数的定义说起。一般而言,欧式空间Rⁿ上的凸函数f(x)如下定义:
为了下文讨论的方便,我们所说的凸函数一般都是定义在Rⁿ上的。
关于凸函数的定义我们必须要多说几句。对凸函数比较熟悉的同学可能常常会疑惑,为什么不同的地方对凸函数的定义和称呼不一样?有时候不仅定义有差别,甚至有时候连名称都不一样。目前学界对凸函数的定义和称呼没有同一的规定,有时候我们称凸函数为“上凸”,但有的时候会发现“上凸”指的是“凹”,但有的时候又指的是“凸”,所以在不同的文献中要仔细识别“凸”的含义。相对于凸函数,我们还有凹函数的概念,一个函数f(x)被称为凹函数如果-f(x)是凸函数。
这里我们给出的凸函数是定义在n维实数空间上的,实际上,凸函数可以定义在Rⁿ的任何凸子集上,而凸子集的定义与凸函数类似,指的就是那些任意两点连线都在自身里的集合。更一般的,凸函数可以定义在向量空间上,例如泛函分析中的巴拿赫空间,这种向量空间甚至可以是无限维的。我们都知道,凸函数具有强烈的几何直观意义,也就是说,它的图像围成的区域是个凸集。
接下来我们就来看看凸函数的一些良好性质,借此我们就可以看出凸函数为什么在数学中如此重要。
首先我们注意到,在凸函数的一般定义中,我们没有要求函数的连续性,更没有要求可导性。但令人吃惊的是,连续性是Rⁿ中凸函数的内在性质!也就是说:
Rⁿ中的凸函数f(x)一定是连续的!更一般的,f(x)是局部利普希茨连续的。
不过很可惜的是,这样美妙的性质对于无限维空间而言是不正确的。
应该说,我们都习惯于接受可以求导,尤其是二次求导的凸函数,因为这样我们可以直接利用函数的二阶导数(高维情形是Hessian矩阵)来判断它的凹凸性,也就是说,可以利用凸函数的定义证明:
但在一般定义中,我们没有要求函数的可导可微性,因为实际上,可导可微性是非常强的数学性质,数学中很多函数没有这样良好的性质,很多凸函数也是如此。而对于数学家而言,我们必须要“化腐朽为神奇”,因而还是找到了办法来解决这些困难。这里我们要特别提到两个重要结论:
定理1(Rademacher):Rⁿ中的局部利普希茨函数是几乎处处可微的。
定理2(Aleksandrov):Rⁿ中的凸函数几乎处处二阶可微。
这两个结论都涉及到了一点测度论的概念,这里我们要简单解释一下“几乎处处(almost everywhere)”的含义,它指的就是除去一个零测集外相应的性质成立。其中第二个定理尤其重要,它使得我们可以处理那些没有天然可微性的凸函数,因为在很多情况下,特别是要求积分的时候,“几乎处处成立”和“处处成立”没有本质上的区别。这里一个典型的例子是关于凸集的距离函数d(x),可以证明它是一个凸函数,因而是几乎处处二次可微的,而距离函数的可微性就允许我们进行一系列操作,例如研究它的水平集(曲面)的相关性质。可以说,这个结论为凸函数的研究带来了本质上的推进。
从这些结论我们可以看到,“凸性”这一简单直观的要求实际上是非常好的限制条件,它使得凸函数有了非常好的性质。上面我们看到的都是凸函数的局部性质,那么它有没有整体上的良好性质呢?答案是肯定的。
定义在实数或区间上的凸函数的图像是很好想象的,或许接触过它的人都发现了如果这种凸函数如果有“拐点”的话,那么似乎在整个定义域上都只有这一个拐点。实际上,我们可以严格证明:
凸函数的局部极值(如果存在)一定是整体极值。特别的,如果函数严格凸,这样的极值(如果存在)一定是最大值且最大值点唯一。
这种性质有很直接的几何解释,比如凸曲线,在它的可微点做一条切线,那么曲线将全部位于切线的一边而不会穿过切线,对于凸曲面亦是如此。
相信学习过优化理论的同学对这条性质都倍感亲切,对它的重要性也很了解。事实上,从研究凸性质出发,发展出了非常重要的凸分析理论,把这套理论用到优化等理论中去,又形成了凸优化这门学科。可以说,凸分析的理论把凸函数和凸集的性质运用到了极致,而我们研究凸函数的原因正在于它“简单”而不是因为它“复杂”,就拿极值性质为例,找到一个复杂函数的最值往往是不容易的,但局部极值总是容易求得的,如果我们能够将研究某函数通过一些合理操作转化为研究一个凸函数的问题,那么问题的难度将会大大降低,实际上这正是凸优化理论的基本思想。
以上我们介绍了一些凸函数最基本的性质,它们只是所有优良性质中的冰山一角而已,而且为了简便,我们还没有特别介绍凸集的性质。可以说,“凸”在数学中是一个非常大而且重要的概念,除了一般的凸函数和凸集的定义外,为了适应其他需要,还有一致凸,拟凸,全凸等等不同的凸性。除数学自身外,凸函数和凸集在经济学,博弈论,优化理论,运筹学等等学科中都发挥了广泛而重要的作用,而凸分析本身也是当今非常活跃的数学分支。
为什么凸函数如此重要呢?我想答案不言自明,它不仅性质优良,而且具有极大的应用价值,是数学中理论结合实际运用的绝佳典范。或许在今后的相关研究中,它将发挥更加重要的作用。
版权声明:我们致力于保护作者版权,注重分享,被刊用文章【证明可导性(凸函数为什么如此重要)】因无法核实真实出处,未能及时与作者取得联系,或有版权异议的,请联系管理员,我们会立即处理! 部分文章是来自自研大数据AI进行生成,内容摘自(百度百科,百度知道,头条百科,中国民法典,刑法,牛津词典,新华词典,汉语词典,国家院校,科普平台)等数据,内容仅供学习参考,不准确地方联系删除处理!;
工作时间:8:00-18:00
客服电话
电子邮件
beimuxi@protonmail.com
扫码二维码
获取最新动态
