1、求函数的单调区间
首先应注意函数的定义域,函数的单调区间都是其定义域的子集;其次掌握一次函数、二次函数等基本初等函数的单调区间.常用方法:根据定义、利用图象和单调函数的性质、利用导数的性质.
2、复合函数的单调性
对于复合函数y=f[g(x)],若t=g(x)在区间(a,b)上是单调函数,且y=f(t)在区间(g(a),g(b))或者(g(b),g(a))上是单调函数,若t=g(x)与y=f(t)的单调性相同(同时为增或减),则y=f[g(x)]为增函数;若t=g(x)与y=f(t)的单调性相反,则y=f[g(x)]为减函数.简称:同增异减.
3、正确理解奇函数和偶函数的定义,必须把握好两个问题:
(1)定义域在数轴上关于原点对称是函数f(x)为奇函数或偶函数的必要非充分条件;
(2)f(-x)=-f(x)或f(-x)=f(x)是定义域上的恒等式.
4、奇函数的图象关于原点对称,偶函数的图象关于y轴对称,反之也成立.利用这一性质可简化一些函数图象的画法,也可以利用它去判断函数的奇偶性.
5、判断函数的奇偶性,首先应该判断函数定义域是否关于原点对称.定义域关于原点对称是函数具有奇偶性的一个必要条件.
6、判断函数f(x)是奇函数,必须对定义域内的每一个x,均有f(-x)=-f(x),而不能说存在x0使f(-x0)=-f(x0).对于偶函数的判断以此类推.
7、分段函数奇偶性判定时,要以整体的观点进行判断,不可以利用函数在定义域某一区间上不是奇偶函数而否定函数在整个定义域上的奇偶性.
我们把没有给出具体 解析式的函数称为抽象函数。由于这类问题可以全面考查学生对函数概念和性质的理解,同时抽象函数问题又将函数的定义域,值域, 单调性, 奇偶性,周期性和图象集于一身,所以在高考中不断出现;
1、抽象函数的常见模型
2、周期性与对称性问题
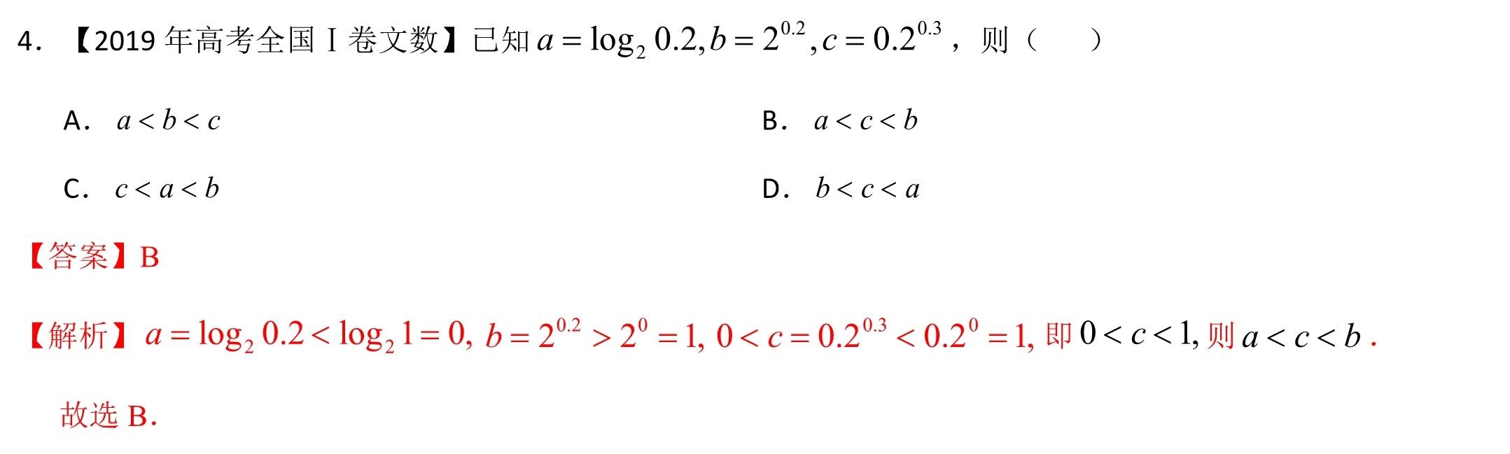
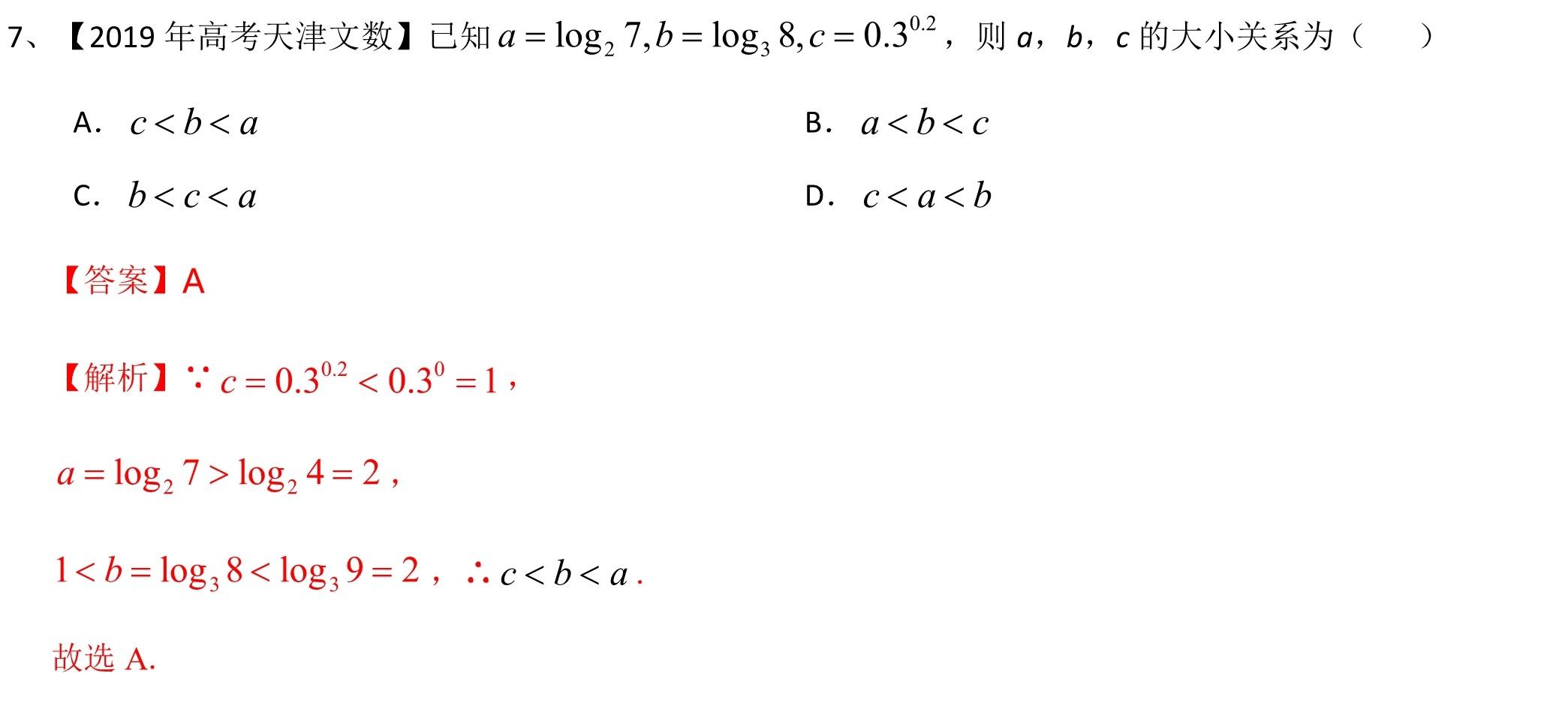
比较数式的大小,若同底,考虑指数函数(或对数函数);若同指,则考虑幂函数,再利用函数的单调性比较大小;若不同底,也不同指,则其基本方法是“同底法”,即把不同底的对数式化为同底的对数式,然后根据单调性来解决,或者利用中间量法。
(1)求同存异:如果两个指数(或对数)的底数相同,则可通过真数的大小与指对数函数的单调性,
(2)利用特殊值作“中间量”:在指对数中通常可优先选择“-1,0,1”对所比较的数进行划分,然后再进行比较,有时可以简化比较的步骤(在兵法上可称为“分割包围,各个击破”,也有一些题目需要选择特殊的常数对所比较的数的值进行估计,
1、二次函数的三种表示形式。
2、 一元二次方程实根分布的分布。
3、 二次函数在闭区间上的最值
1、平移变换
2、对称变换
3、伸缩变换
1、零点概念
2、函数零点存在性定理
3、断函数零点个数的常见方法
函数的性质是高考的热点问题,每年高考必然考查,主要涉及到函数的单调性、奇偶性和周期性。特别注意函数性质的应用。此类问题往往与函数的单调性和奇偶性相结合,解此类问题通过代入将它转化为具体不等式来解,主要是运用函数的奇偶性、单调性、定义域等性质,通过去掉对应法则f,将它转化为关于变量x的具体不等式来解.
此类问题常见的有三种:
1、给定函数的解析式 对于这类问题要根据函数的解析式研究函数的单调性和奇偶性;
2、给定函数的解析式 但是给定的函数解析式不具有单调性和奇偶性,对于这类问题要构造新的函数,使之具有单调性个奇偶性;
3、抽象函数的问题 这类问题没有具体的函数解析式,但是会给出函数的的性质。
本题考查了函数的奇偶性和单调性,易得当x∈[0,+∞)时,函数f(x)为增函数,而偶函数的性质f(x)=f(|x|),可以实现把自变量转化到[0,+∞)上,这一转化是解题的关键,同学们要熟练掌握偶函数这一性质,并能灵活地运用.
知识点拨:综合考查函数的性质,单调性、周期性和奇偶性,对于这类问题要善于挖掘隐含的条件,如给出函数周期性可以运用周期性做出函数的图像,也可以得出某些数对应的函数值相等,或者运用周期性把不在给定的范围转化为给定的范围,进而求解。
运用函数的图像判断零点的个数是近几年江苏高考的热点也是难点,2018、2019年江苏高考的填空题的压轴题均考查了。运用函数的图像研究函数的零点问题的关键要正确做出函数的图像,观察图像交点的个数。由于答案依赖于图像因此,要正确规范的做出图像,该标的关键的点、线要标出,另外有时为了更好地作图也要多对函数进行调整,变成常见的函数。
本题考查了函数的零点问题,以及函数的奇偶性和周期性,考查了转化与化归、数形结合的思想,函数的零数问题,常转化为函数的图像的交点个数来处理,其中能根据函数的性质作出函数的图像并能灵活地运用图像,找到临界点是解题的关键也是难点.
通过图像研究函数中的参数范围问题,是体现数形结合思想的主要体现,也是运用数形结合解决含参问题的主要方法,因此对于这类问题要把参数独立出来,然后运用函数的图像解决。为了方便起见,转化后的两个函数,其中一个是不含参数的函数,另一个是含有参数的函数,即转化为“一静一动”两个函数,这样,通过研究“动”函数的图像与“静”函数的图像的相对位置关系就可以得到问题。
这个函数题型是2015年,2016年的热点,又出现在今年的复习迎考中,难点在于y=f(x)第二段图像的寻找和画出,其实是图像的平移与变换的应用,注意观察其特征,即可轻易得出后一段图像均为前一段图像的模.纵坐标伸长到原来2倍所得.本题为填空题,也可直接用具体的数去算,发现规律,然后再画出示意图,最后是利用数形结合寻找到符合题意的临界位置,最后进行求解最终的答案.
版权声明:我们致力于保护作者版权,注重分享,被刊用文章【证明奇函数的导数是偶函数(高中数学高考之二轮专项)】因无法核实真实出处,未能及时与作者取得联系,或有版权异议的,请联系管理员,我们会立即处理! 部分文章是来自自研大数据AI进行生成,内容摘自(百度百科,百度知道,头条百科,中国民法典,刑法,牛津词典,新华词典,汉语词典,国家院校,科普平台)等数据,内容仅供学习参考,不准确地方联系删除处理!;
工作时间:8:00-18:00
客服电话
电子邮件
beimuxi@protonmail.com
扫码二维码
获取最新动态
