学而时习之,不亦乐乎!
公式常用而熟记,乃是学习的不二法门。
a. 吸收律
b. 反演律
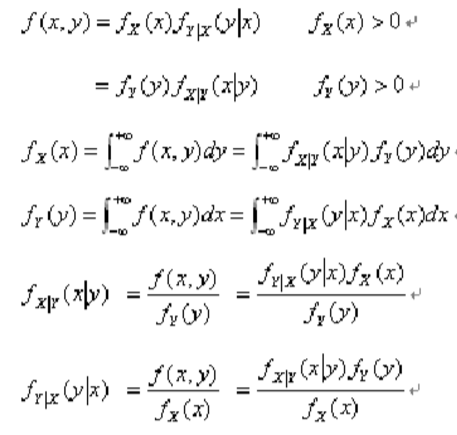
分布函数计算
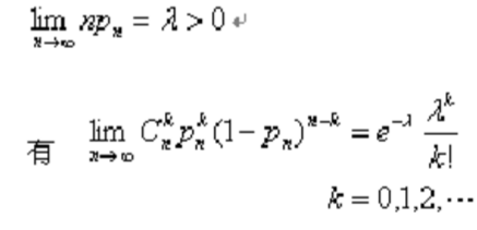
泊松(Possion)定理
泊松分布:
(1)均匀分布U(a,b)
(2)指数分布
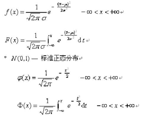
(3)正态分布
X,Y的协方差
X,Y的相关系数
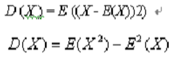
X的方差
X的协方差
相关系数:
用得到请关注本号,方便以后查询。
版权声明:我们致力于保护作者版权,注重分享,被刊用文章【吸收律 证明(这个你该收藏一下)】因无法核实真实出处,未能及时与作者取得联系,或有版权异议的,请联系管理员,我们会立即处理! 部分文章是来自自研大数据AI进行生成,内容摘自(百度百科,百度知道,头条百科,中国民法典,刑法,牛津词典,新华词典,汉语词典,国家院校,科普平台)等数据,内容仅供学习参考,不准确地方联系删除处理!;
工作时间:8:00-18:00
客服电话
电子邮件
beimuxi@protonmail.com
扫码二维码
获取最新动态
