#新作者扶植计划 第二期#
“鸡兔同笼”问题俨然成了奥数的代名词,成了很多人的梦魇!
假设头全是鸡头,假设脚全是兔子脚,奥数的解法在心理留下来阴影!睡梦中,都是鸡头,兔子脚在盘旋。总也搞不清楚!
后来,知道了“鸡兔同笼”是我国古时候《孙子算经》里的一道题目,距今1500多年了。
今有雉兔同笼,上有三十五头,下有九十四足,问雉兔各几何?
到了初中,学习了二元一次方程组,发现鸡兔同笼被秒杀了!
设鸡有x只,兔子有y只
得 x+ y=35
2x+4y=94
为什么奥数这么难的题,用了方程组一下就解决了呢?
其实,二元一次方程组的解法,早在1800年前,刘徽就在《九章算术注》里创立了互乘相消法.例如方程组
刘徽是这样解的:
(1)×2,(2)×5,得例如方程组
(4)-(3),得21y=20
这就是现在的加减消元法。
刘徽认为,这种方法可以推广到多元:“以小推大,虽四、五行不异也.”
刘徽认为这个解法可以推广到多元的情况,但是,很显然多元的一次方程,解法非常复杂繁琐。接下来数学家会怎么办呢?
历史的车轮滚滚向前,数学家的脚步也不会停下。
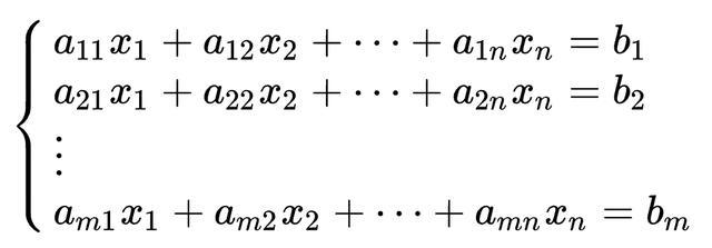
西方的数学在16世纪迎来了大爆发,出现了数以百计的大数学家,经过几代数学家的努力,线性方程组得到了完美的解答。
因为在笛卡尔坐标系上任何一个一次方程的表示都是一条直线,求二元一次方程组的解,就是求直线的交点。
从上图中,大家可以看到这个矩阵的元素就是线性方程组的未知数系数。这一概念由19世纪英国数学家凯利首先提出,作为解决线性方程的工具。
这样,线性方程组就可以简单的
这样书写即简单,也为后续的计算提供了便利。可以直接利用矩阵的运算,计算系数。
其后行列式作为解线性方程组的工具逐步发展。到了1772年,范德蒙德才把行列式和解线性方程组分离开来,对行列式本身作了单独的研究。
设线性方程组
克莱姆法则的优越的数学符号使之流传最广。
此后,更多数学家进行线性方程组的研究,1764年,法国数学家裴蜀研究了含有n个未知量n个方程的齐次线性方程组的求解问题,证明了这样的方程组有非零解的条件是系数行列式等于零。
裴蜀和拉普拉斯以行列式为工具,给出了齐次线性方程组有非零解的条件。
1867年,道奇森证明了含有n个未知量m个方程的一般线性方程组有解的充要条件是系数阵和增广阵有同阶的非零子式。
后来,范得蒙、欧拉、阿贝尔、伽罗、F.克莱茵、S.李等一代代数学家孜孜不倦的研究,线性代数不断发展,成为数学中非常重要的学科!
版权声明:我们致力于保护作者版权,注重分享,被刊用文章【克莱姆法则证明(鸡与兔)】因无法核实真实出处,未能及时与作者取得联系,或有版权异议的,请联系管理员,我们会立即处理! 部分文章是来自自研大数据AI进行生成,内容摘自(百度百科,百度知道,头条百科,中国民法典,刑法,牛津词典,新华词典,汉语词典,国家院校,科普平台)等数据,内容仅供学习参考,不准确地方联系删除处理!;
工作时间:8:00-18:00
客服电话
电子邮件
beimuxi@protonmail.com
扫码二维码
获取最新动态
