泰勒公式是数学分析中重要的内容,也是研究函数极限和估计误差等方面不可或缺的数学工具,泰勒公式集中体现了微积分“逼近法”的精髓,在近似计算上有独特的优势。
在我以前的文章中,我使用了以下结果,但没有太多解释:
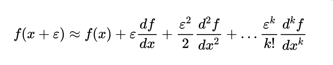
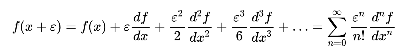
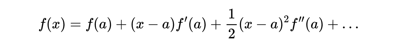
这称为f(x)关于x的泰勒级数展开式。如果ε是一个很小的数,那么根据泰勒定理,可以得到以下近似:
这被称为k阶的泰勒近似。k=1的近似称为线性近似(尤其重要):
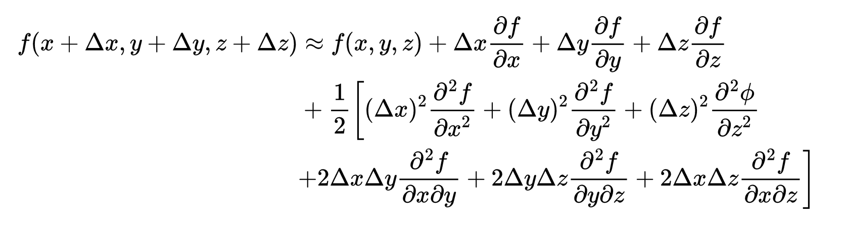
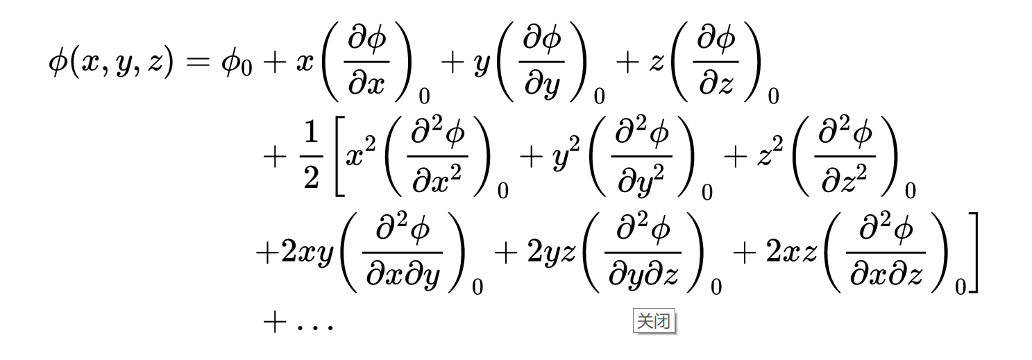
k=2的近似值有时也会用到。对于多变量函数的展开更为复杂,因此展开式将只止于二阶:
我不打算在这篇文章中证明泰勒定理。这是一个基本的练习,你可以在任何微积分课本上找到,在这里重复它可能会让你们感到厌烦。
相反,我将解释为什么它在物理中很重要。
在物理学中,当需要用一个函数在附近一点的值来表示它在某一点的确切值时,泰勒定理便发挥了其作用。在物理中,线性近似通常就足够了,因为我们可以假设一个长度尺度,在这个尺度上,ε的二阶和更高阶是不相关的。
例如,如果在某一点x,我们知道f(x)的值,我们也知道f ' (x)的值,那么我们可以通过在斜率为f ' (x)的点(x,f(x))上画一条直线来估计f(x+ε):
如果已知f在x处的高阶导数的值,那么这些关于f的更详细的信息可以用来更准确地估计f(x+ε)的值。对于多变量的函数也是一样的,只需用切平面代替切线即可。
对于附近点的物理过程之间的关系,如果我们只有一些定性的信息,也可以使用泰勒定理。通过将定性信息与描述所研究过程的函数的泰勒展开式中出现的导数联系起来,就可以用数学的方式表达该信息了。
在我最近的一篇关于纳维尔-斯托克斯方程的文章中出现了一个例子(改变世界的方程之纳维尔-斯托克斯方程,堪称最难的物理学方程 )。我必须找到包含在一个无限小的流体团中的两个测试粒子的速度之间的关系。我得到的信息是一个经验事实,不可压缩牛顿流体的运动有一个平移分量,一个旋转分量,还有一个与流体变形相关的分量。通过使用线性近似来表达一个粒子的运动与另一个粒子的运动并解释结果,我找到了平移、旋转和变形的表达式。
这些都是你在理论物理和实验物理中经常会遇到的情况。入门和中级物理课程不会花太多时间在泰勒近似上,因为在那个教育阶段,常规的、有确切答案的简单问题比需要一些创造力来解决的开放式问题更有意义。甚至有人提出,物理学本身在某种意义上是对应用于自然界的线性化的研究。不管你是否同意这种观点,事实是,泰勒定理及其结果的应用对物理学家来说是绝对必要的,没有它,物理研究不会走得太远。
假设我们想研究电荷在样品内的分布。我们必须通过观察它与电势的相互作用来推导出关于分布的信息。假设我们完全知道电势的情况(这在实验中由我们控制)。我们的策略是将未知的分布表示为基本电荷分布的叠加,每一个基本电荷分布都只与势能的泰勒展开中的n阶项相互作用。这样的分解被称为多极展开式。
让ϕ表示已知电势,ρ表示未知的电荷密度函数。设V为样本所占的区域(空间),假设这个区域很小,包含原点。产生电势ϕ的电荷离样品很远。
与两个电荷集之间相互作用的能量由体积积分给出:
让我们把ϕ写成靠近原点的泰勒展开,其中ϕ_0是原点的电势。那么V中(x,y,z)处的势为:
总能量的第一项是:
所以在展开式中与零阶项相互作用的基本分布是原点的点电荷,它的值就是样本的总电荷。点电荷的另一种说法是单极子,所以我们称Q为样品的单极子力矩。
对于下一项,我们先做如下简化:
其中E_0,是由于ϕ造成的原点电场。这部分的相互作用能为:
ρr除以整个电荷分布的积分称为电荷分布的偶极矩,标记为P。因此,ϕ的泰勒展开式中与一阶项相互作用的初等分布是一个力矩为p的纯偶极子。纯电偶极子是一对电荷大小相等、方向相反、相距固定距离的电荷。如果分布有一个非零偶极矩,这意味着有一个分离的正负电荷沿着通过原点的线,方向是矢量p。
纯偶极子附近的电场线。我在(一文搞懂麦克斯韦方程,现代科技的总基石,人类文明的加速器 )一文中使用了这张图。
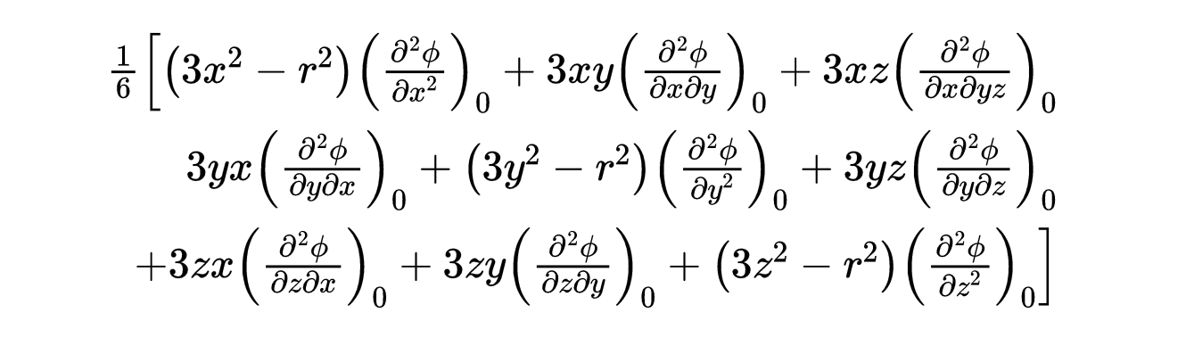
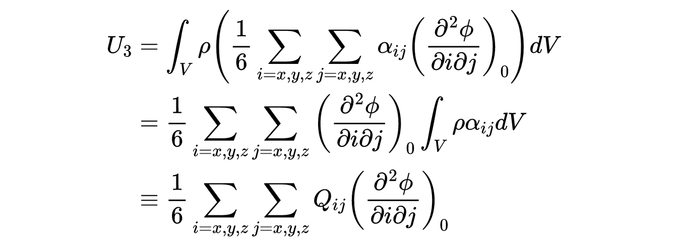
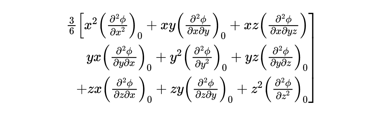
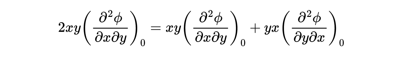
现在简化剩下的项。让我们从分离混合偏导开始,例如:
现在我们把1/2换成3/6:
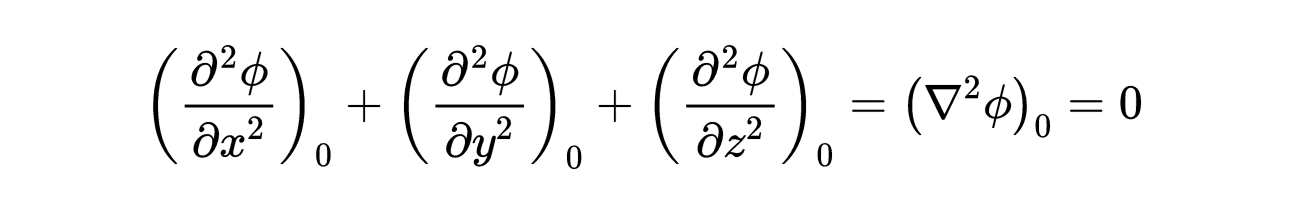
V中不存在产生ϕ的电荷,所以ϕ服从原点的拉普拉斯方程:
这意味着我们可以把 (∇²ϕ)₀加到二阶导数的和中,而不改变表达式的值,所以让我们加上:
其中r²=x²+y²+z²:
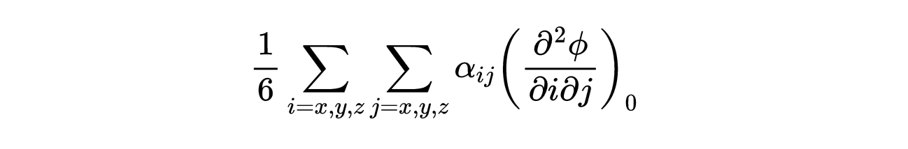
设i和j都是变量集合{x,y,z}中的元素,赋值:
符号δ_ij称为克罗内克运算符(Kronecker delta):
例如,如果i=x,j=y,那么α_ij=3xy,或者如果i=j=z,那么α_ij=3z²-r²。那么二阶偏导数的和的形式是:
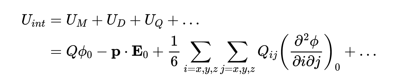
现在我们计算二阶项的能量积分:
ρα_ij对电荷分布的积分称为分布的四极矩,这是一个张量,表示为3×3阵列,其分量为Qᵢⱼ。因此,在ϕ的展开式中与二阶项相互作用的初等分布是一个纯四极,其矩张量有分量Q_ij。纯四极子是指向相反方向的一对相等的偶极子。
我们将找到样品的8极矩、16极矩、32极矩等的相互作用能。在实际应用中,高阶多极矩的相互作用能随阶数的增加而迅速减小,因此我们通常止于四极矩,得到一个很好的近似。
因此,我们可以把总相互作用能写成:
通过观察ϕ的能量变化,可以通过实验推导出力矩的值,这为分析样品内部电荷分布提供了一种机制。
这使得多极展开式理论在分子和原子物理学中很重要。例如,要确定一种化学物质是否有极性分子或非极性分子,测试一种化学物质的样本,看看它是否有偶极矩。
通过测量原子核的四极矩可以推断出原子核的形状。结果是,如果一个分布是围绕一个轴旋转对称的,称为主轴,那么四极张量只有一个独立分量,我们称之为Q。
如果Q>0,则分布沿主轴拉伸(延长);如果 Q<0则分布沿主轴扁平化;如果Q=0则核为球形。核四极矩的测量发现,长形比扁形更常见。解释这一点仍然是一个未解决的问题。
诺特定理是理论物理学的一个重要结果。它说,如果一个系统的行为在一个特定的无限小的变换下没有改变,那么这个变换对应一个守恒量。我们将说明平移对称如何导致动量守恒。为了简单起见,我们假设系统是保守的。
假设系统由n个粒子组成,每个粒子的位置为(x_i,y_i,z_i)。让势能是所有粒子位置的函数V(x_1,…,x_n,Y, Z),其中Y和Z是粒子Y和Z坐标的简写。假设系统中的每个粒子沿x方向平移一个极小距离,则:
例如,如果势能取决于粒子之间的距离,这就不成立。
我们做如下的线性展开:
那么由平移对称假设:
对于保守型系统,F=-∇V,所以作用在每个粒子上的力的x分量和为零,意味着系统在x方向上没有受到任何净力。力是动量的时间导数,所以总动量的x分量是守恒的。
近似定理在基础物理课程中并不是很重要,但是当你开始学习高等物理时它们就变得越来越重要了。特别是线性近似会在高等物理的所有内容中都有用到,所以对你们来说,熟悉线性近似是很重要的。
泰勒展开式通常是用不同的形式写的:
用x代替a,用x+ε代替x,得到本文的形式。所使用的形式纯粹是一个符号问题,对于给定的问题,其中一种可能更方便。
想了解更多精彩内容,快来关注老胡说科学
版权声明:我们致力于保护作者版权,注重分享,被刊用文章【泰勒公式证明(微积分的巅峰)】因无法核实真实出处,未能及时与作者取得联系,或有版权异议的,请联系管理员,我们会立即处理! 部分文章是来自自研大数据AI进行生成,内容摘自(百度百科,百度知道,头条百科,中国民法典,刑法,牛津词典,新华词典,汉语词典,国家院校,科普平台)等数据,内容仅供学习参考,不准确地方联系删除处理!;
工作时间:8:00-18:00
客服电话
电子邮件
beimuxi@protonmail.com
扫码二维码
获取最新动态
