我们已经知道菱形是特殊的平行四边形,它的判定方法一共有五种,分别是①四边都相等的四边形是菱形;②两条对角线互相垂直的平行四边形是菱形 ;③邻边相等的平行四边形是菱形;④对角线互相垂直平分的四边形是菱形 ;⑤一条对角线平分一个顶角的平行四边形是菱形.在做几何证明题的时候我们常用的判定方法主要是前三种.
二次函数和菱形存在性问题作为压轴题目,结合了“分类讨论思想”,“方程思想”“菱形的判定方法”,势必要比单纯的菱形判定思考难度要大的多,因此我在研究了近些年中考真题之后尝试性的总结一下菱形存在性问题的通用解法,以供大家参考.
纵观历年中考真题,菱形存在性问题主要是以“两定两动”为设问方式,其中两定指的是四边形四个顶点其中有两个顶点的坐标是确定的或者是可求解的;两动指的是其中一个动点在一条直线或者抛物线上,另外一个动点是平面内任意一点或者该动点也在一条直线或者抛物线上.
1.知识铺垫
铺垫1:等腰三角形的构造方法
点A和点B为平面内的两个定点,点C为水平直线上的一个动点,要使△ABC为等腰三角形,请利用尺规作图的方法作出点C的位置.
图1是以AB为底边(AC和BC为腰),作出线段AB的垂直平分线交直线于点C1;
图2是以AB为腰,以点A为圆心,以AB长度为半径作圆,交直线于点C2;
图3是以AB为腰,以点B为圆心,以AB长度为半径作圆,交直线于点C3、C4;
我们把上述作图方法简称为“两圆一中垂”.
铺垫2:平行四边形顶点坐标公式
根据平行四边形的性质对角线互相平分,可以知道点O为线段AC和线段BD的中点。
①两定点确定的线段为边作菱形
如图所示,点A和点B为平面内两个定点,点C是直线l上一个动点,点D是平面内的一个动点.
以AB为菱形的边,请作出符合题意的菱形
作图方法:由于点D是平面内的任意一个动点,意味着该点需要借助其它的点才能确定下来,因此,我们第一步先确定动点C的位置.要想使以AB为边的四边形是菱形,根据菱形的判定方法3我们可以确定△ABC是以AB为腰的等腰三角形,因此我们可以借助等腰三角形存在性知识,来确定点C的位置.确定方法具体如下:
以点A为圆心,以AB长度为半径画圆,交直线l于点C1和C2.
接下来需要确定点D的位置.以BC为对称轴作点A关于BC的对称点D,由于点C有两个点,确定下来的点D有两个.
再以点B为圆心,BA长度为半径画圆,交直线l于点C3和C4,利用同样的方法作出点D3和D4.
解题策略:
第一步:确定点C的坐标
设出点C坐标,利用两点间距离坐标公式,表示出AB、AC、BC的长度.
当AB=AC时,列出方程,求出点C的坐标;
当BA=BC时,列出方程,求出点C的坐标.
第二步:确定点D的坐标
根据平行四边形顶点坐标公式
可求出点D的坐标.
②两定点确定的线段为对角线作菱形
如图所示,点A和点B为平面内两个定点,点C是抛物线上一个动点,点D是平面内的一个动点.
点C关于AB的对称点为点D,请作出所有符合题意的图形.
作图方法:第一步:作出AB的垂直平分线;第二步:作点C关于AB对称点D.
解题策略:
第一步:求出AB的中点坐标和AB的斜率k,利用两直线垂直,斜率乘积为﹣1这个结论,设直线CD的解析式为y=﹣1/k+b,再把AB中点坐标代入上式,解出b的值.求出CD解析式.
第二步:联立直线CD和抛物线,可以解得点C的坐标;
第三步:确定点D的坐标,根据平行四边形顶点坐标公式可求出点D的坐标.
2.方法探究
作为一种特殊的平行四边形,我们已经知道可以从以下几种方式得到菱形:
(1)有一组邻边相等的平行四边形菱形;
(2)对角线互相垂直的平行四边形是菱形;
(3)四边都相等的四边形是菱形.
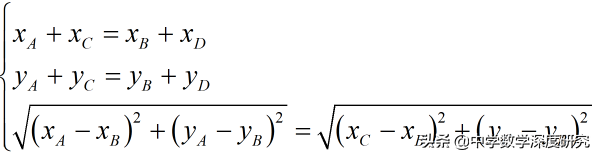
坐标系中的菱形存在性问题也是依据以上去得到方法.和平行四边形相比,菱形多一个“对角线互相垂直”或“邻边相等”,但这两者其实是等价的,故若四边形ABCD是菱形,则其4个点坐标需满足:
考虑到互相垂直的两条直线斜率之积为1在初中并不适合直接用,故取两邻边相等.
即根据菱形的图形性质,我们可以列出关于点坐标的3个等式,故菱形存在性问题点坐标最多可以有3个未知量,与矩形相同.
就常规题型而言,菱形存在性至少有2个动点,多则有3个动点,可细分如下两大类题型:(1)2个定点+1个半动点+1个全动点;(2)1个定点+3个半动点。解决问题的方法也可有如下两种:
思路1:先平四,再菱形
设点坐标,根据平四存在性要求列出“A+C=B+D”(AC、BD为对角线),再结合一组邻边相等,得到方程组.
思路2:先等腰,再菱形
在构成菱形的4个点中任取3个点,必构成等腰三角形,根据等腰存在性方法可先确定第3个点,再确定第4个点.
引例:如图,在坐标系中,A点坐标(1,1),B点坐标为(5,4),点C在x轴上,点D在平面中,求D点坐标,使得以A、B、C、D为顶点的四边形是菱形.
思路1:先平四,再菱形
思路2:先等腰,再菱形
以上只是两种简单的处理方法,对于一些较复杂的题目,还需具体问题具体分析,或许有更为简便的方法.
【两定两动:坐标轴+平面】
1.(2019齐齐哈尔中考题,有删减)如图,抛物线y=x²+bx+c与x轴交于A、B两点,与y轴交于C点,OA=2,OC=6,连接AC和BC.
(1)求抛物线的解析式;
(2)若点M是y轴上的动点,在坐标平面内是否存在点N,使以点A、C、M、N为顶点的四边形是菱形?若存在,请直接写出点N的坐标;若不存在,请说明理由.
【两定两动:对称轴+平面】
2.(2019辽阳中考题,有删减)如图,在平面直角坐标系中,Rt△ABC的边BC在x轴上,∠ABC=90°,以A为顶点的抛物线y=-x²+bx+c经过点C(3,0),交y轴于点E(0,3),动点P在对称轴上.
(1)求抛物线解析式;
(2)若点M是平面内的任意一点,在x轴上方是否存在点P,使得以点P,M,E,C为顶点的四边形是菱形,若存在,请直接写出符合条件的M点坐标;若不存在,请说明理由.
【两定两动:斜线+抛物线】
3.(2018衡阳中考题,有删减)如图,已知直线y=-2x+4分别交x轴、y轴于点A、B,抛物线过A、B两点,点P是线段AB上一动点,过点P作PC⊥x轴于点C,交抛物线于点D.
(1)若抛物线的解析式为y=-2x²+2x+4,设其顶点为M,其对称轴交AB于点N.
①求点M、N的坐标;
②是否存在点P,使四边形MNPD为菱形?并说明理由.
菱形作为特殊的平行四边形其存在性问题亦是分类讨论中的一大难点.此类题目多以直角坐标平面为背景.题干中一般会给出两个顶点,第三个点在某个可求的函数图像上,在另一个函数的图像上或直角坐标平面内,求能与之前的三个点构成菱形的第四个点的坐标.此类题目的一大难度在于如何合理分类的问题.若题干中已知两定点的话,可以把这两定点连成的线段是菱形的一边或者对角线进行分类讨论,再利用菱形的性质确定出其他的顶点的位置.
版权声明:我们致力于保护作者版权,注重分享,被刊用文章【如何证明平行四边形是菱形(中考难点突破)】因无法核实真实出处,未能及时与作者取得联系,或有版权异议的,请联系管理员,我们会立即处理! 部分文章是来自自研大数据AI进行生成,内容摘自(百度百科,百度知道,头条百科,中国民法典,刑法,牛津词典,新华词典,汉语词典,国家院校,科普平台)等数据,内容仅供学习参考,不准确地方联系删除处理!;
工作时间:8:00-18:00
客服电话
电子邮件
beimuxi@protonmail.com
扫码二维码
获取最新动态
