立体几何在各地高考中,基本都占据20分以上的比例,在解答方法上,小题技巧相对比较丰富,但大题解答上有明显的规律可循。
我们整理了一整套的利用空间向量分析空间位置问题的内容,以便同学们能更好的应对高考内容。
这次我首先带了“点到面距离的分析”内容。
立体几何的计算和证明常常涉及到二大问题:一是位置关系,它主要包括线线垂直,线面垂直,线线平行,线面平行;二是度量问题,它主要包括点到线、点到面的距离,线线、线面所成角,面面所成角等。这里比较多的主要是用向量证明线线、线面垂直及计算线线角,而如何用向量证明线面平行,计算点到平面的距离、线面角及面面角的例题不多,起到一个抛砖引玉的作用。
要深刻理解向量的概念,就要深刻理解有向线段这一概念.在线段ab的两个端点中,我们规定了一个顺序,a为起点,b为终点,我们就说线段ab具有射线ab的方向,具有方向的线段就叫做有向线段.通常有向线段的终点要画箭头表示它的方向,以a为起点,以b为终点的有向线段记为 ,需要学生注意的是: 的字母是有顺序的,起点在前终点在后,所以我们说有向线段有三个要素:起点、方向、长度.既有大小又有方向的量,我们叫做向量,有些向量既有大小、方向、作用点(起点),比如力;有些向量只有大小、方向,比如位移、速度,我们现在所学的向量一般指后者.
计算异面直线夹角的大体思路是: 建立空间直角坐标系,然后在每条直线上取两个相异点,首尾相连,定位这条直线上的“方向向量”。接着用有序实数对表示出这两个向量,就是(x,y,z)的形式。然后利用向量数量积(点乘)的运算公式,得到cos〈向量a,向量b〉=向量a·向量b/|向量a|·向量b|,得到两个方向向量的夹角。 由于方向向量的选取方向不尽相同,这里所得的方向向量的余弦值可以为正、负、零。但是我们所需要的是异面直线的夹角,而不是方向向量的,由于异面直线的取值范围(上文给出)的约束,他的余弦值肯定为非负数,所以要取他的绝对值,作为异面直线的夹角的余弦值。 有了异面直线的余弦值,就可以利用反三角函数来表示出角的大小。以上是解题的大体思路。(注意与线面角、二面角思路的异同)
从思路中我们不难发现,需要落实到卷面上的是:严格的建系、点坐标和向量的坐标表示形式、设异面直线的夹角为θ、向量夹角的计算公式以及结果、cosθ=|cos〈向量a,向量b〉|
希望你在看了我的回答之后能有所启发。如还有疑问,可以问问周边同学或老师。你一定会弄明白这个问题的。关于立体几何、空间向量这类的问题,高考是要尽量拿满分的。
法向量是空间解析几何的一个概念,垂直于平面的直线所表示的向量为该平面的法向量。一般不选择零向量为平面的法向量。由于空间内有无数个直线垂直于已知平面,因此一个平面都存在无数个法向量(包括两个单位法向量)。垂直于平面的直线所表示的向量为该平面的法向量。每一个平面存在无数个法向量。
平面法向量的具体步骤:(待定系数法)
1、建立恰当的直角坐标系
2、设平面法向量 n=(x,y,z)
3、在平面内找出两个不共线的向量,记为 a=(a1,a2, a3) b=(b1,b2,b3)
4、根据法向量的定义建立方程组① n*a=0 ② n*b=0
5、解方程组,取其中一组解即可。
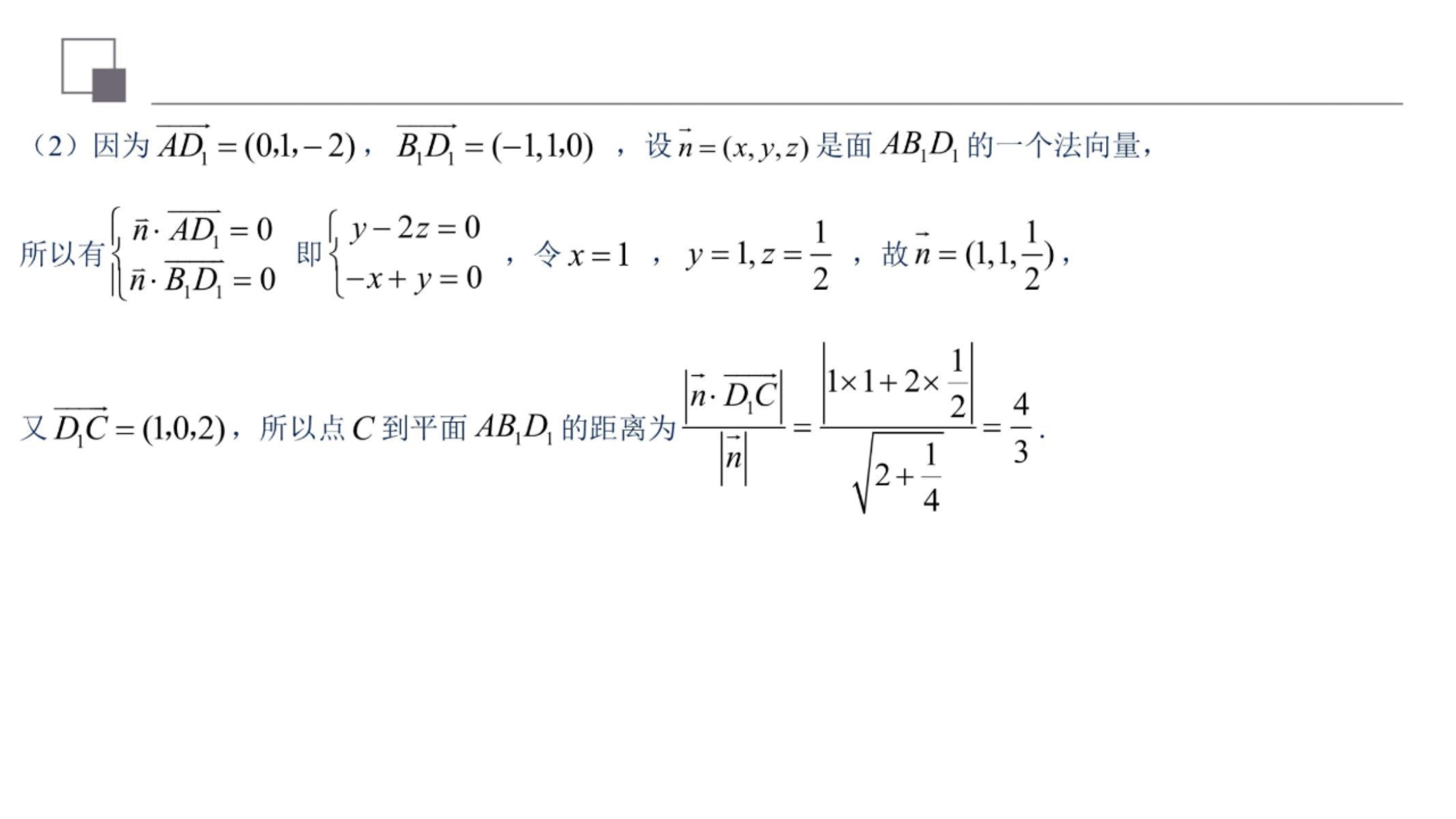
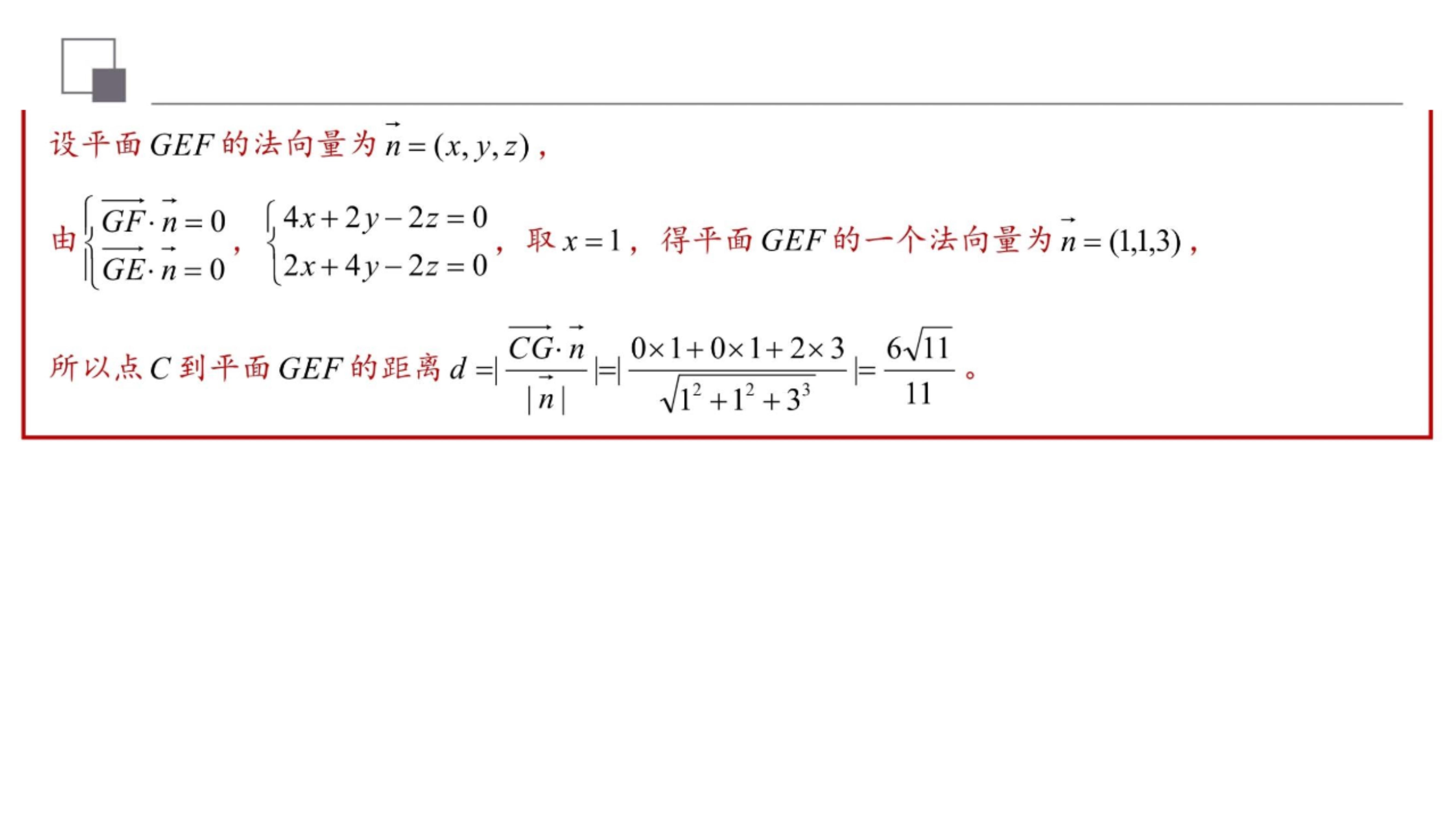
点到平面的距离:设v是平面α的法向量,P为α外一点,A为α内任一点,P到平面α→的距离为d,
则d=|v·PA|/|v|解析:设已知一平面α的法向量v=(x1,y2,z1),P为平面外一点,向量AP=(x2,y2,z2) ∵cos<向量v,向量PA>=|向量v·向量PA |/|向量v|·|向量PA |又cos<向量v,向量PA>=d/|向量v|即,D到平面α的距离为向量在平面法线上的投影∴d=|向量v·向量PA |/|向量PA |
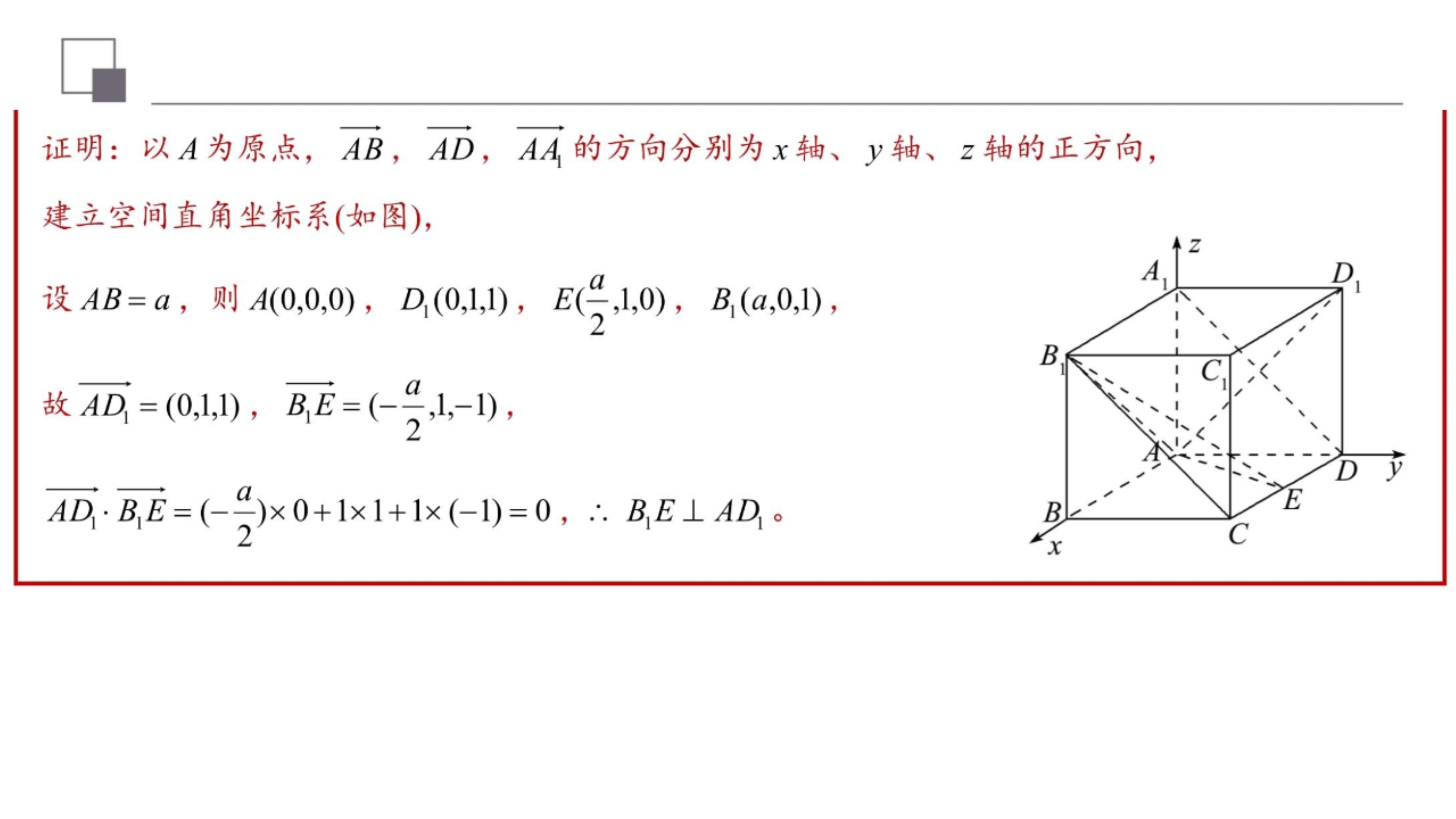
运用空间向量解决立体几何问题的步骤
(1)建系:根据题中的几何图形的特征建立适当的空间直角坐标系;
(2)定坐标:确定点的坐标进而求出有关向量的坐标;
(3)向量运算:进行相关的空间向量的运算;
(4)翻译:将向量中的语言“翻译”成相应的立体几何中的语言,完成几何问题的求解.
本题主要考查空间异面直线所成的角的向量求法,考查点到平面距离的向量求法,意在考查学生对这些知识的理解掌握水平和计算能力.
本题主要考查了平面与平面平行的判定,利用向量求点到平面的距离,考查转化思想以及空间想象能力.
本题考查了线面垂直的判定定理应用,利用法向量法求点到平面距离,属于中档题.
本题主要考查向量法求异面直线所成角的大小和点到面的距离,意在考查学生的数学建模以及数学运算能力.
本题考查向量法求异面直线所成的角、点到面的距离,考查空间想象能力和运算求解能力,求解时注意运算的准确性.
本题考查了线面平行,点到平面的距离,意在考查学生的空间想象能力和计算能力.
(1)计算几何体的最值往往有两种方法:一是恰当选用变量,建立目标函数,通常利用函数的性质求解,如果函数解析式符合基本不等式条件(或可以转化为基本不等式形式),可以用基本不等式定理(均值定理)求解;二是利用化归与转化思想将立体几何中的极值问题转化为平面几何中的最值问题.
(2)利用法向量可以求两个平面的夹角:建立坐标系,写出点与向量的坐标;求出平面的法向量,进行向量运算求出两个法向量的夹角;根据法向量的夹角与两个平面的夹角之间的关系,确定两个平面的夹角..
版权声明:我们致力于保护作者版权,注重分享,被刊用文章【空间向量证明线面平行(12分高考答题必刷题型)】因无法核实真实出处,未能及时与作者取得联系,或有版权异议的,请联系管理员,我们会立即处理! 部分文章是来自自研大数据AI进行生成,内容摘自(百度百科,百度知道,头条百科,中国民法典,刑法,牛津词典,新华词典,汉语词典,国家院校,科普平台)等数据,内容仅供学习参考,不准确地方联系删除处理!;
工作时间:8:00-18:00
客服电话
电子邮件
beimuxi@protonmail.com
扫码二维码
获取最新动态
