均值不等式是高考的热点,主要考查利用均值不等式求最值、判断不等式、解决与不等式相关的问题,主要以选择或填空题形式出现,难度中等及以上,全国卷主要放在22题不等式选考部分考查。
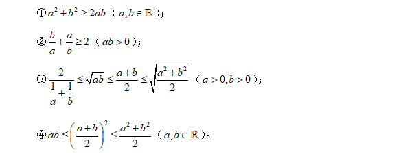
1·基本不等式:
2·重要不等式:
3·最值定理:
【注意】
(1)简记为:和定积最大,积定和最小。
(2)利用均值不等式求最值应满足三个条件:一定,二正,三相等。
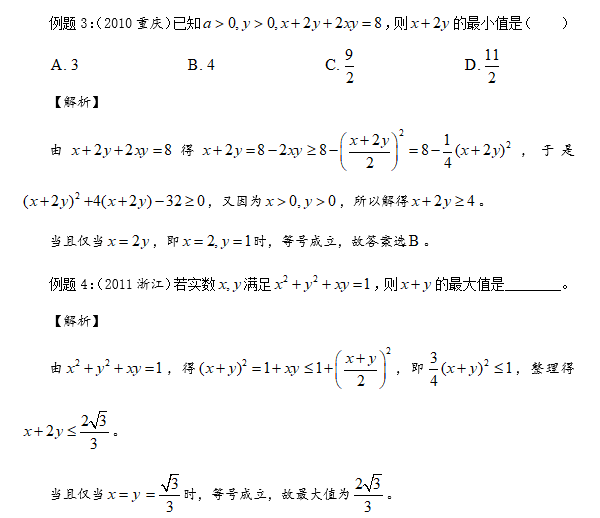
4·使用均值不等式的技巧:
(1)若根据题意满足均值不等式的条件,则直接使用均值不等式求解。
(2)若不能直接使用均值不等式,则创造条件构造使用均值不等式。
(3)若一次使用均值不等式不能达到目的,则多次使用,但要注意取等一致。
1·忽视前提条件而出错:
2·忽视等号成立条件而出错:
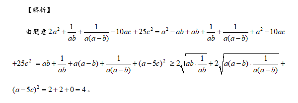
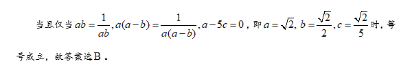
3.多次使用均值不等式而出错:
1·直接使用:
2·配凑结构:
3·利用“1”的代换:
4·利用添项:
5·轮换对称:
版权声明:我们致力于保护作者版权,注重分享,被刊用文章【均值不等式证明(第25集)】因无法核实真实出处,未能及时与作者取得联系,或有版权异议的,请联系管理员,我们会立即处理! 部分文章是来自自研大数据AI进行生成,内容摘自(百度百科,百度知道,头条百科,中国民法典,刑法,牛津词典,新华词典,汉语词典,国家院校,科普平台)等数据,内容仅供学习参考,不准确地方联系删除处理!;
工作时间:8:00-18:00
客服电话
电子邮件
beimuxi@protonmail.com
扫码二维码
获取最新动态
