不等式的证明方法
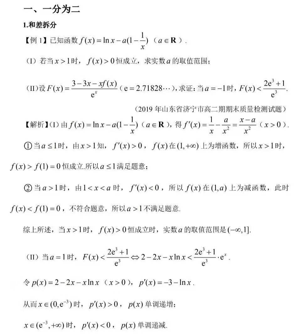
由于不等式的种类繁多,覆盖面广、处理时技巧性比较强,因而是高中数学的一个难点,导数为我们处理不等式问题提供了一个新的途径,利用导数处理不等式问题具有方法简捷、可操作性强的特点,但处理方式又较为灵活,需要掌握不同的证明方法以及扎实的数学基本功与融汇交叉、创新性的思维方式,我们通过一些试题的研究,提供一些利用导数证明不等式的方法。
兵分两路
对于一些较为复杂的函数,如果通过直接构造一个函数很难或根本就无法解决时,可尝试通过等价转化,适当变形,转化为两个函数来处理,问题可能会得到极大的简化。从而达到顺利证明的目的,我们称这种证明方法为兵分两路。
今天我们来重点说一下:从三角形角度来说明这种方法的使用。
今天教的方法,让你一读就懂~
文末还有完整电子版领取方式:
篇幅有限,学姐只能上传部分,需要完整电子版
编辑【数学28】给我,就可以获取了~
版权声明:我们致力于保护作者版权,注重分享,被刊用文章【证明不等式的方法(解题方法)】因无法核实真实出处,未能及时与作者取得联系,或有版权异议的,请联系管理员,我们会立即处理! 部分文章是来自自研大数据AI进行生成,内容摘自(百度百科,百度知道,头条百科,中国民法典,刑法,牛津词典,新华词典,汉语词典,国家院校,科普平台)等数据,内容仅供学习参考,不准确地方联系删除处理!;
工作时间:8:00-18:00
客服电话
电子邮件
beimuxi@protonmail.com
扫码二维码
获取最新动态
