继续肝吧,上章讲的概念,这一章讲计算了,本章的重点也是计算,下午的案例有时候会考计算的,本章主要讲的是成本效益分析,盈亏平衡点,净现值,净现值率,投资回收期。
按成本性质分类:
固定成本:是指其总额在一定期间和一定业务量范围内,不受业务量变动的影响而保持固定不变的成本。例如,管理人员的工资、办公费、固定资产折旧费、员工培训费等。
变动成本:也称为可变成本,是指在一定时期和一定业务量范围内其总额随着业务量的变动而成正比例变动的成本。例如,直接材料费、产品包装费、外包费用、开发奖金等。
混合成本:就是混合了固定成本和变动成本的性质的成本。例如,水电费、电话费等。这些成本通常有一个基数,超过这个基数就会随业务量的增大而增大。
按计入方式分类:
直接成本:与产品生产工艺直接有关的成本,如原料、主要材料、外购半成品、生产工人工资、机器设备折旧等。
间接成本:与产品生产工艺没有直接关系的成本,如机物料消耗、辅助工人和车间管理人员工资、车间房屋折旧等。
沉没成本:指以往发生的,但与当前决策无关的费用。
收益分类:
有形收益:能够直接带来营业额和利润增长的收益。
无形收益:不一定能导致营业额和利润增长,但能够增加公司名气、信誉等。
考题来喽:
1.成本是信息系统生命周期内各阶段的所有投入之和,按照成本性态分类,可以分为固定成本、变动成本和混合成本。其中()属于固定成本,()属于变动成本。
A.固定资产折旧费 B.直接材料费 C.产品包装费 D.开发奖金
A.员工培训费 B.房屋租金 C.技术开发经费 D.外包费用
解析:答案A D,变动成本跟销量相关!
利润=销售额-成本=销售额-(固定成本+可变成本)
当利润>0,即公司挣钱,当利润<0,即公司亏本,当利润=0时,就是盈亏平衡点,此时不亏不赚,公式如下:
盈亏平衡点销售额=总固定成本+总可变成本
=总固定成本+[可变成本占销售额的比例*盈亏平衡点销售额]
注意:可变成本和销售收入成正比。可变成本占销售额的比例=当前时刻的可变成本/当前时刻的收入
后边括号里的【可变成本占销售额的比例*盈亏平衡点销售额】这个有点不好理解,下边上个题目,举个例子就明白了了。
上图,这是某一个时刻的销售情况,让你求盈亏平衡点的销售额。
解析思路的话,首先先分析出,利润120,收入800,固定成本130+150,可变成本300+100。
按照公式:
利润=销售额-成本=销售额-(固定成本+可变成本)
盈亏平衡点的时候,利润=0,公式就是:盈亏平衡点销售额=总固定成本+[可变成本占销售额的比例*盈亏平衡点销售额],参考下图计算方式!
灵魂画师上线了
考的概率比较大,只要出现成本效益分析,净现值是必考的!
静态收益计算方式:不考虑金钱的时间价值,只看项目周期内投入和产出的绝对数字。
动态收益计算方式:考虑金钱具有时间价值,现在的钱比未来值钱,有以下相关概念
现值(P):设每年折现率为i,原价值为F的东西,在n年后的价值为:
净现值NPV是考虑了金钱的时间价值计算出来的净利润,公式为:
其中,Cl是第t年的收入利益,CO是第t年的支出成本,i是折现率。项目周期内每一年都这样计算再累加,得出总的NPV,就是考虑了时间价值的净利润,NPV有助于公司判断项目是否盈利。
静态收益计算:
如上图所示甲乙丙三个方案,哪个方案收益最高,建设期属于支出费用,运营期属于收益盈利,按照静态收益计算,总收益1000,减去总支出500,单个方案的静态收益是一样的,都是500,没有看出哪个方案更好!
动态收益计算:
上图多了折现系数,建设期:折现值=投资额*折现系数,折现合计就是所有的折现值相加,运营期:折现值=净现金流入量*折现系数,折现合计就是所有的折现值相加。
甲乙丙三个方案,哪个好,就是运营期折现值合计减去建设期折现值合计,值最大的就是最优方案!
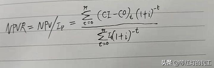
净现值率=净现值/一次性投入
净现值率NPVR是项目净现值与原始投资总额的比率,公式为:
公式有点繁琐,可以直接记忆,净现值率=净现值/一次性投入
分子是NPV,分母是原始投资总额,NPVR有助于公司选择投入小,产出高的项目。
静态投资回收期:不考虑金钱的时间价值,只看项目周期内绝对投入和产出,需要多长时间才能收回所有的投入成本。
动态投资回收期:使用净现值做分析,需要多长时间能够收回所有投入成本(净现值)。
投资回收率=1/投资回收期*100%。
考题来喽:
1.某一项目,初始投资为2000万元,该项目从投产年开始每年的净收益如下表所示,则该项目的静态投资回收期约为()年。
A、2.9 B、3.9 C、2.7 D、3.8
解析:这个例题的主要目的就是先让你理解下投资回收期,本例题只是静态投资回收期,
一直到2014年收益600+700+800=2100万,超过了投入2年多点,这个小数点也好算,(2000-600-700)/800=0.9,答案就是A
2.上个案例题,大家感受一下,这个案例题有点老了。
(2016年上半年案例试题一)阅读以下关于软件系统可行性分析的叙述,在答题纸上回答问题1至问题3。
某软件开发企业受对外贸易公司委托开发一套跨境电子商务系统,项目组从多个方面对该电子商务系统进行了可行性分析,在项目组给出的可行性分析报告中,对项目的成本、收益情况进行了说明:建设投资总额为300万元,建设期为1年,运营期为4年,该方案现金流量表如表1-1所示。
【问题1】(12分)
软件系统可行性分析包括哪几个方面?用200以内文字说明其含义。
【问题2】(7分)
成本和收益是经济可行性评价的核心要素,成本一般分为开发成本和运营成本,收益包括有形收益和无形收益,请对照下列7项内容,将其序号分别填入成本和收益对应的类别。
a)系统分析师工资;
b)采购数据库服务器;
c)系统管理员工资:
d)客户满意度增加;
e)销售额同比提高;
f)软件许可证费用;
g)应用服务器数量减少。
【问题3】(6分)
根据表1-1所示现金流量表,分别给出该解决方案的静态投资回收期、动态投资回收期和投资收益率的算术表达式或数值(结果保留2位小数)。
答案解析:【问题1】
(1)经济可行性。主要评估项目的建设成本、运行成本和项目建成后可能的经济收益。
(2)技术可行性。研究的对象是信息系统需要实现的功能和性能,以及技术能力约束。
(3)法律可行性。具有比较广泛的内容,它需要从政策、法律、道德、制度等社会因素来论证信息系统建设的现实性。
(4)用户使用可行性。从信息系统用户的角度来评估系统的可行性,包括企业的行政管理和工作制度、使用人员的素质和培训要求等。
【问题2】
(1)开发成本:(a)系统分析师工资、(b)采购数据库服务器
(2)运营成本:(c)系统管理员工资、(f)软件许可证费用
(3)有形收益:(e)销售额同比提高、(g)应用服务器数量减少
(4)无形收益:(d)客户满意度增加
【问题3】
静态投资回收期=累计净现金流量开始出现正值的年份数-1+|上年累计净现金流量|/当年净现金流量=(3-1)+(390-340)/(200-60)=2.36年
动态投资回收期=累计折现值开始出现正值的年份数-1+|上年累计折现值|/当年折现值=(3-1)+(377.9-295)/((200-60)*0.75)=2.79年
投资收益率=投资收益/投资成本x100%=594.6/470.5=126.38%
感谢大伙点赞+关注的支持,是我持续学习更新的动力,关注公众号:Coding-9527,跟大伙一起学习,成长,进步!
版权声明:我们致力于保护作者版权,注重分享,被刊用文章【会计盈亏平衡点(备考高级系统分析师)】因无法核实真实出处,未能及时与作者取得联系,或有版权异议的,请联系管理员,我们会立即处理! 部分文章是来自自研大数据AI进行生成,内容摘自(百度百科,百度知道,头条百科,中国民法典,刑法,牛津词典,新华词典,汉语词典,国家院校,科普平台)等数据,内容仅供学习参考,不准确地方联系删除处理!;
工作时间:8:00-18:00
客服电话
电子邮件
beimuxi@protonmail.com
扫码二维码
获取最新动态
