微积分课上都会讲极限的概念,我们知道它与逼近有关,但在证明中你会怎么利用它呢?
你可能对极限有很好的直观理解。f(x)的极限是指当x接近a时,f(x)接近的值。在更一般的意义上,当输入接近一个值时,函数也接近一个极限值。
虽然这种直觉很好,但在证明中是不适用的。我们需要一个精确的定义来说明接近某物的含义。经过几个世纪的思考,魏尔斯特拉斯(Weierstrass )想出了这样一个定义:极限的epsilon-delta定义。
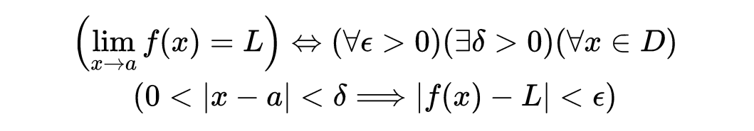
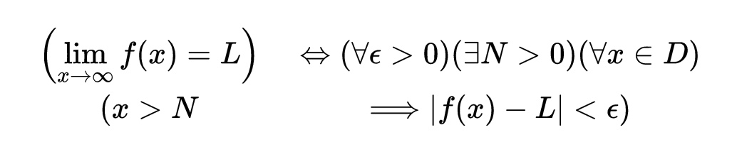
如果我们要将这个定义形式化,有很多情况,但现在只关注两种情况(稍后会推广它们):有限极限和无限极限。对于有限的双边极限,有:
D是f(x)的定义域。对于无限极限,有:
对于负无穷大的极限,用x<-N代替x>N。
逻辑等价性
这意味着P和Q在逻辑上是等同的。也就是说,P和Q同时为真或同时为假。如果想证明P,那么你可以证明Q,反之亦然。在极限定义中,这意味着,如果:
等同于:
全称量词
上面表达式的意思是,S的每个元素(表示为k)都将满足后面的条件。你可以把它看作是对那些不相信你接下来要说的话的人的一种挑战。"你不相信我?挑选S中的任何元素,称其为k,k将满足这个右边的一切条件。"
定义中全称量词的两个实例是:
第一个表达式意味着你可以选择任何你想要的正数。第二个表达式意味着你可以在f(x)的定义域中选择任何元素。
存在量词
这个表达式的意思是,在S中至少有一个元素k,使得后面的一切都为真。我们经常需要证明这样一个k的存在,包括在证明极限时。
定义中存在量词的唯一实例是:
当它与前面的陈述结合时,意味着你至少可以说出一个正数,这样无论你为ϵ选择什么样的正值,其余的陈述都是真的。
意味着
这个表达式意味着,如果P是真的,那么Q就是真的。典型的例子是 "如果你在雨中行走,那么你会被淋湿",这句话看起来像:
请注意,如果这句话是真的,那么就有三种可能性:
你在雨中行走,你会被淋湿。你不在雨中行走,你就不会被淋湿。你没有在雨中行走,但你被淋湿了(例如,你掉进了游泳池或被洒水器喷到)。这句话唯一可能是假的,那就是你能在雨中行走,但你没有被淋湿。举个例子很重要,因为有些人把“意味着”和逻辑上的等同性混为一谈。两者之间最大的区别是,在“意味着”情况下,P可以是假的,Q可以是真的,但逻辑上的等价关系却不能。
定义中唯一的“意味着”:
表示如果x在a的距离内(但不等于a),那么f(x)在L的距离ϵ内。
归纳起来
说:
等于说对于任何一个正值的 ϵ:
我们可以找到至少一个正值的:
这样,对于定义域D内的任何值x:
(0 < x - a | < )意味着(| f(x) - L | < ϵ)。
很多老师或教科书都会止步于此,不告诉你如何把这个定义用于任何情况。我们可以把这个定义提炼成一套一般的步骤,可以按照这些步骤来证明极限。
有限极限
选择一个任意的ϵ>0的值。在这种情况下,这意味着我们把ϵ当作一个变量。对x求解不等式| f(x) - L| < ϵ。你应该得到类似m(ϵ, a) < x < n(ϵ, a)的结果,其中m(ϵ, a)和n(ϵ, a)是包含ϵ和a的表达式。是两个值中较小的一个| m(ϵ, a) - a |和| n(ϵ, a) - a |。无限极限
选一个任意的ϵ>0的值。在这种情况下,这意味着我们把ϵ当作一个变量。求解N的不等式| f(x) - L| < ϵ。你应该得到类似N>g(ϵ, x)的结果,其中g(ϵ, x)是一个包含ϵ和x的表达式。一个简单的例子
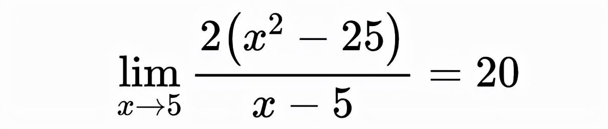
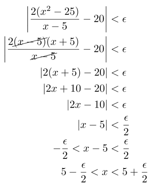
首先,我们把ϵ当作一个任意的变量,然后解以下关于x的不等式:
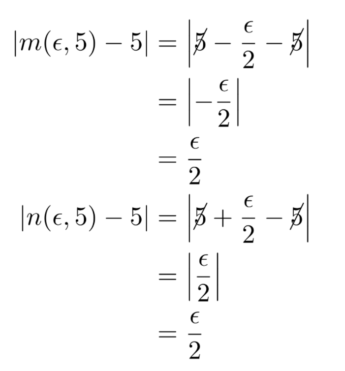
m(ϵ, 5) = 5 - ϵ / 2,n(ϵ, 5) = 5 + ϵ / 2。请注意,如果我们想从分子和分母中取消(x - 5),x不能等于5。幸运的是,对于极限来说,x永远不需要。现在,我们计算上面的两个值,需要确定一个的值。
这两个值是相等的,所以我们可以选择 = ϵ / 2,这就完成了。当然,如果愿意,我们可以选择更小的,例如,ϵ / 3或ϵ / π。
有几种类型的极限:
有限的极限左极限右极限正无穷大时的极限负无穷大时的极限级数的极限高维的极限每个都有一个定义,但定义本身是非常相似的。所有这些都有一些一般的想法。问题在于,每一个极限都在接近极值的方式上有所不同,它们需要不同的定义。
版权声明:我们致力于保护作者版权,注重分享,被刊用文章【第二个重要极限的证明(极限)】因无法核实真实出处,未能及时与作者取得联系,或有版权异议的,请联系管理员,我们会立即处理! 部分文章是来自自研大数据AI进行生成,内容摘自(百度百科,百度知道,头条百科,中国民法典,刑法,牛津词典,新华词典,汉语词典,国家院校,科普平台)等数据,内容仅供学习参考,不准确地方联系删除处理!;
工作时间:8:00-18:00
客服电话
电子邮件
beimuxi@protonmail.com
扫码二维码
获取最新动态
