公园1世纪,希腊数学家海伦在其所著《度量论》一书中给出一个用三角形三边表达三角形面积的著名公式——海伦公式。
这个公式简洁,对称,极具美感,深刻揭示了数学之美和数学之妙。据称《度量论》一书曾一度失传,直至1896年舍内在土耳其发现了它的手抄本后,才于1903年校订出版。又据阿拉伯数学家比鲁尼称,该公式源于阿基米德,这个考证也曾得到“圈内人士”的认可,尽管如此,人们还是将它冠以海伦之名。
人们在研究,证明,乃至使用这个公式时,也许并不介意公式的背景。一个三角形当其三边长确定后,该三角形也就随之而确定,它的面积自然也确定了,这就为人们用三边长表示三角形面积提供了理论基础和依据。
1247年前后,我国宋代数学家秦九韶在其所著《数书九章》中,给出了另一个用三边表达三角形面积的公式——三斜求积。公式基于中国人善于的勾股思想,因而公式也具此形式,它用今天的数学符号表示为:
这个公式稍加推演,其实是与海伦公式等价的,正所谓英雄所见略同,殊途同归,遗憾的是这个公式不如海伦公式简洁优美。
【证明】
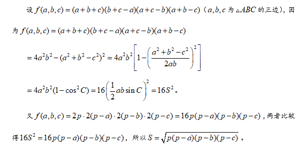
1·向量法:
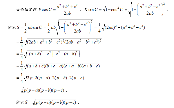
2·三角法:
3·平几法:
4·构造多项式:
版权声明:我们致力于保护作者版权,注重分享,被刊用文章【海伦公式最简单证明(第22集)】因无法核实真实出处,未能及时与作者取得联系,或有版权异议的,请联系管理员,我们会立即处理! 部分文章是来自自研大数据AI进行生成,内容摘自(百度百科,百度知道,头条百科,中国民法典,刑法,牛津词典,新华词典,汉语词典,国家院校,科普平台)等数据,内容仅供学习参考,不准确地方联系删除处理!;
工作时间:8:00-18:00
客服电话
电子邮件
beimuxi@protonmail.com
扫码二维码
获取最新动态
