摘要:
目前,边坡稳定性的概率分析多数只考虑了单层土质边坡中的土体参数空间变异性,而忽略了多层土质边 坡中土层边界不确定的影响。为此,提出了同时考虑这两类因素的边坡概率分析方法,利用随机有限元法和克里 金插值方法同时表征了土体参数空间变异性和土层边界不确定性并考虑了静力触探测试对土层边界不确定性 的约束。以某二维边坡为例,对比分析了仅考虑土体参数空间变异性和同时考虑两类因素的情况。结果表明,土 层边界不确定性的影响在边坡稳定性分析中不可忽视。详细分析了边界深度变异系数、边界深度相关长度、 静力触探布置密度对边坡稳定性的具体影响,并指出静力触探布置的合理密度与边界深度相关长度息息相关。 因此,在设计边坡时能否获取边界深度相关长度的信息,是优化设计费用的关键。
关键词:
边坡稳定性; 空间变异性; 边界不确定性; 随机有限元法; 克里金插值;
作者简介:
张明明(1999—),男,本科生,研究方向为岩土结构稳定性分析。E-mail:1002161112@cugb.edu.cn (1987—),男,讲师,博士,主要从事岩土结构稳定性分析和岩土工程风险评估等相关研究工作。E-mail:y.j.li@c cn;
基金:
中国地质大学(北京)大学生创新计划(201811415018);
水利部土石坝破坏机理与防控技术重点实验室 开放研究基金资助项目(YK319004);
中央高校基本科研业务费专项基金(2652017071);
引用:
张明明,李亚军,刘翔宇,等. 考虑土层边界不确定性的边坡稳定性概率分析[ J] . 水利水电技术,2020,51( 2) : 162-169.
ZHANG Mingming,LI Yajun,LIU Xiangyu,et al. Soil layer boundary uncertainty-considered probabilistic analysis on slope stability[ J] . Water Resources and Hydropower Engineering,2020,51( 2) : 162-169.
作为水利水电工程中常见的边坡工程,由于其土体参数的变异性和不确定性 ,始终是水利水电库坝系统 度最高的环节之一。风险来源可分三类 :(1)测量精度欠缺,如钻孔测量的误差;(2)难以检测的不确定性,如 层的存在;(3)自然固有变化,如土层深度变化。实际上,由于土体本身性质、沉积环境、风化条件、应力历史等条 同,在一定空间范围内,土体特性呈现一定的变异性和相关性 。同时对于分层土层,相邻土层间的边界也存在 性 。
目前,对于上述岩土风险的建模主要基于概率方法 。就边坡稳定性分析而言,越来越多的学 到了土体参数空间变异性的影响,多数基于随机场理论 来表征这一不确定性并开展相关研究。其中,具有代 有GRIFFITHS等 将随机场理论与有限元方法结合提出的随机有限元法等。此外,国内学者李典庆等 利用 应面法研究了岩质边坡稳定性,蒋水华等 利用非侵入随机有限元法研究了土体抗剪强度空间变异性对边坡失 的影响,朱瑜劼等 利用蒙特卡洛方法评价了三峡泄滩边坡的稳定性等,都取得了一定的成果。
然而,这些研究多数采用单一土层计算,较少采用实际工程更常见的分层土层模型(少数如李亚军等 对詹 堤坝的建模除外),忽略了土层边界的不确定性。对于边界不确定性的考虑,有限元研究主要通过基于现场测试数 里金插值方法实现,如申静等 基于对实测海水深度的克里金插值得到渤海某区域海底高程等,LI等 通过对 探(CPT)数据的克里金插值对土层类型进行了预测。近来,LI等 采用耦合随机场与克里金方法的条件随机场 讨如何降低边坡设计中的岩土参数不确定性,取得了较为显著的效果。
基于以上现状,本文利用条件随机场方法 将土层边界不确定性纳入分析,研究同时考虑土体参数空间变异 层边界不确定性的土质边坡稳定性,并探讨对用于获取土层深度等数据的CPT进行优化设计的可能性和影响因 际工程提供参考。
本研究采用基于GRIFFITHS的随机有限元方法开发的计算程序,除考虑下土层土体参数空间变异性外,还利 静力触探测试(CPT)数据的克里金方法建立的一维条件随机场考虑土层边界不确定性,以此同时表征分层土层的 确定性,并开展相关研究。
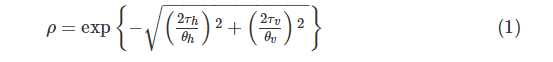
1.1 土体参数空间变异性二维无条件随机场 土体参数空间变异性可利用由土体参数的均值、标准差、相关函数、相关长度等构成的随机场完成。根 等人 的研究,边坡稳定性对相关函数的形式并不十分敏感,故可采取简单的指数函数形式
式中,ρ为两点之间的相关函数;τ 和τ 分别为水平和垂直方向上两点之间的绝对距离; θ 和θ 分别为水平和 向的相关长度,其比值反映两个方向相关性差异。
定义θ 与θ 的比值为各向异性度 DOA(Degree of Anisotropy),用符号ξ表示
而对于随机场的离散,主要离散方法包括插值法、加权积分法、Karhunen-Loeve 扩展、局部平均细分法 。本研究采用的即是在地质统计学中广泛运用的局部平均细分法,具有精度高、收敛迅速等优势。
1.2 土层边界不确定性一维条件随机场 对于土层边界不确定性的表征,同样采用随机场方法。但在本研究中,考虑了勘察结果对土层边界不确定性 在建模时添加了约束条件,使之成为条件随机场。现场勘察常用静力触探测试(CPT)获取岩土结构数据,这些数 于估计未知土体性质 ,估计方法来源于克里金插值,可以对随机场特定点进行最佳线性无偏估计。
条件随机场的建立过程大致如下。
假设随机场Z(x)在点x ,x ,…,x 处数据已知(如土层边界深度),在点x ,x ,…,x 点数据未知。
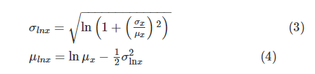
(1)由于随机场理论以标准正态分布为基础,对非标准正态分布(如对数正态分布)的均值σ 和标准差μ 需先 标准正态下的对应值,转换关系如下
基于转换后的均值、标准差及相关长度,利用局部平均细分法生成无条件随机场Z (x)。
(2)将已知点x ,x ,…,x 的非标准正态量,按上述相同方式转换成对应的正态分布量,利用指数相关函数模型 里金方法对未知点x ,x ,…,x 进行最佳线性无偏估计,得到随机场Z (x),在已知点x ,x ,…,x 的数据等于实 数据。
(3)由第一步所得随机场,利用已知取样处的值Z (x ),Z (x ),…,Z (x )对未知点同样进行克里金插值,得到建 全随机场上的最佳线性无偏估计随机场Z (x)。
(4)将上述随机场按下式叠加,即可得条件随机场
最后,通过逆变换,将标准正态随机场还原回原始概率分布随机场。
2.1 计算模型及初始条件
采用的双层边坡几何模型如图1所示。为简化分析,上土层设定为均质土,仅考虑下土层参数空间变异性和上 边界的不确定性(图1中以波浪线表示不固定边界)。对于网格的设置,为了减少模拟时间,将水平元素大小设置为 素的2倍 ,单个网格水平长度0.5 m,竖直高度0.25 m。就岩土特性而言,该边坡为双层黏性不排水边坡,土层单 为20 kN/m ,主要土性参数变量初始值如表1所列(不排水抗剪强度用Cu表示,土层边界深度用土层边界至坡顶面 d表示)。对于边界条件,边坡底部边界为固定端,两侧为固定铰,HICKS等 给出了这些边界条件的完整解释。
图1 双层边坡几何模型(单位:m)
表1 主要土性参数变量初始值
本文采用的是条件随机场与蒙特卡洛模拟相结合的有限元法,计算中采用理想弹塑性本构模型,摩尔-库伦破 取土体弹性模量为100 MPa,泊松比为0.3,GRIFFITHS等 已经证明稳定性分析中的最终状态条件基本上与 量大小的选择无关。以强度折减法判断边坡破坏,采用多数学者使用的计算收敛为具体判据 ,就本算例而言 蒙特卡洛模拟后,边坡稳定性分析的计算结果已趋向稳定,说明迭代次数的选择较为可靠。
该算例主要用于探究考虑边界不确定性时多层土质边坡的稳定性情况,具体分析边界深度变异系数和边界 关长度对边坡稳定性的影响。用边坡安全系数FOS(Factor of Safety,下同)的均值和变异系数表征影响,并考虑 探试验(CPT)等实测数据对边界不确定性的约束,为实际工程中CPT等探测技术在土层边界不确定性分析中的 供工程和经济方面的参考。
2.2 静力触探数据对边界不确定性的约束
本研究尝试利用静力触探数据(CPT)确定测点土层边界深度。在模拟中,测量位置处的边界深度为确定值而 机值。如图2所示,以2 m(单个网格水平长度0.5 m,即4个网格距离)为间距等间隔布置11处CPT测点的边界深度 所绘制的两条边界曲线是从200次蒙特卡洛模拟情况中随机取出的。可以看出边界深度总体呈现一定的波动性 置CPT的网格位置处,边界深度相等,在图上反映为两条曲线在该点相交,由于等间隔布置了11个CPT,所以图2等 在11处交点。
图2 等间隔布置11处CPT时的边界深度
2.3 边界不确定性对边坡稳定性的影响
从定性分析看,相同土体参数下(ξ=10,单个CPT且位置距左边界12 m处,其余参数均为初始参数)边界不确定 临界滑裂面的扩展产生影响。图 3(a)和图4(a)对比了相同土体参数下,固定边界与非固定边界时的边坡情况; 图4(b)对比了临界滑裂面的不同扩展情况。边界固定时,抗剪强度较弱的上土层和较强的下土层边界区分明显 由坡顶中部延伸至坡脚处;边界不固定时(如本例中边界深度变异系数取0.1),坡脚处堆积大量较强土阻止滑裂面 发展,而转向坡体内部软弱区域发展,根本原因在于边界的波动改变了抗剪强度较低的软弱土和较强土在边界的 置分布。
从定量分析来看,考虑边界固定/不固定、下土层均质/非均质、坡比1∶1/2∶1 组成8种情况对比。如图5所 坡比如何,边界固定时安全系数均值大幅提高。原因在于通过坡脚位置的滑坡通常对应较低的安全系数,当坡脚 积了大量抗剪强度较高的土体时,安全系数均值提高。但由于引入了边界不确定性,安全系数的变异系数也大大 与文献[34]的结论相一致。
2.3.1 边界深度变异系数的影响
选取的双层粘性土坡,用COV 表示边界深度变异系数,μ 表示安全系数均值,COV 表示安全系数变异 同)。令COV 分别取值{0,0.02,0.06,0.10,0.14,0.18},在下土层 “均质”、“非均质且各向异性度ξ=2”、 “非均质且 性度ξ=10”三种条件下进行分析(单个CPT,位置距左边界12 m处,其余参数均为初始参数)。
如图6所示,就FOS均值来看,三种条件下当COV 取0(即边界固定),μ 在1.28徘徊。COV 增大时,μ 都 大,当COV 取0.18时,μ 均已经超过了1.45。而边界确定情况下,无论是否考虑下土层空间变异性,μ 都在 徊。可见边界深度变异系数对边坡整体安全性有明显影响,特别是大大提高了均质土的安全系数均值,但与土体 间变异性的耦合作用并不显著。
图3 固定土层边界
图4 不固定土层边界
图5 不同坡比及土层条件下的安全系数频数分布
图6 边界深度变异系数COV 对μ 的影响
如图7所示,就FOS变异系数来看,当COV 取0(即边界固定),COV 处于较低水平,其中均质土对应的CO 。当COV 逐渐增大时,三种条件下COV 均呈上升趋势,但 “非均质且各向异性度ξ=10”对应的曲线上升趋势 当COV 取0.18时,该曲线对应的COV 达到了0.05,是COV 取0时的5倍以上。这说明边界深度变异系数和土 空间变异性对FOS不确定性都有明显影响,其耦合影响更为显著。
图7 边界深度变异系数COV 对COV 的影响
总体而言,边界深度变异系数对边坡稳定性的影响不可忽视,尤其是边界不确定性与土体参数空间变异性的 用,大大提高了安全系数的变异系数。
2.3.2 边界深度相关长度的影响 用θ 表示边界深度相关长度(下同),在下土层“均质”、“非均质且各向异性度ξ=2”、 “非均质且各向异性度ξ= 条件下,研究边界深度相关长度对边坡稳定性的影响。令θ 分别取值{1 m,5m,10 m,15 m,20 m,25 m},在三种条 析(单个CPT,位置距左边界12 m处,其余参数均为初始参数)。
如图8所示,就FOS均值而言,当边界深度相关长度θ 自1 m增大到10 m时,μ 快速减小,增大到10 m后,三 下μ 都基本不变。
图8 边界深度相关长度θ 对μ 的影响
如图9所示,就FOS变异系数而言,三种条件下,随着θ 的增大,安全系数的变异系数COV 都逐渐减小,但仅 件下降幅稍大。非均质条件下,由于土体参数变异性本身造成的不确定性已然较大,随θ 增大下降幅度较小。
图9 边界深度相关长度θ 对COV 的影响
总体而言,边界深度相关长度θ 在低值区间对FOS均值影响显著,对FOS变异系数影响不明显。转折点在 右,与本案例中单个CPT距左右边界的12 m间隔接近,基本说明了当CPT的影响足以覆盖全部边界区域时,再提 相关长度,对边坡整体稳定性影响较小。
2.3.3 静力触探布置密度的影响 在本研究中,静力触探数据(CPT)被用来约束边界深度,不同的CPT布置密度应当对应不同的边界不确定性 稳定性产生不同的影响。在本研究中,选取的CPT数量为 {1,3,7,11},对应的间距为 {12 m,6m,3 m,2m},θ 分别 m, 5 m, 10 m,15 m, 20 m, 25 m},在下土层“均质”和“非均质且ξ=2”两种条件下,分别进行分析。
如图10与图11所示,实线表示下土层非均质,虚线表示下土层均质。从FOS均值看,无论哪种条件,θ 较小时 异较大,随着θ 增大μ 逐渐接近。可见,当土层边界深度相关长度较小时,CPT的约束作用就十分重要;随着θ CPT的作用逐步减弱。从FOS变异系数看,总体上CPT密度越大,COV 越小,并且随着θ 增大,COV 减小的 逐渐接近。相比于同时考虑两种因素的实线,仅考虑边界不确定的虚线更明显地反映了CPT的约束作用降低了 变异系数,随着θ 的增大,COV 持续降低;而非均质条件下,当θ 达到10 m后,COV 则基本不变。
图10 不同CPT密度下θ 对μ 的影响
图11 不同CPT密度下θ 对COV 的影响
如图12与图13所示,仅考虑边界不确定性时,边界深度相关长度θ 越大,边坡安全系数对CPT密度的敏感性 当θ 较小时(如1 m),布置1个CPT与3个CPT对应的FOS均值和变异系数的差异十分明显;而θ 较大(如10 m以 T数量较多(3个以上)时,无论是FOS均值还是变异系数,差异都十分微弱。
图12 不同θ 下CPT密度对μ 的影响
图13 不同θ 下CPT密度对COV 的影响
以上综合表明:当边界相关长度较小时,密集的CPT对约束边界深度,降低边坡稳定性分析的不确定性具有 用;而当边界相关长度较大(如本算例中的10 m)时,少量的CPT即可满足边坡计算的设计要求,即使布置更多的 效果也基本类似。在实际工程运用中,如能利用一定的方法获取边坡的边界相关长度的参考信息,就能在满足安 的前提下,布置合理密度的CPT,节省不必要的测试费用。
本文基于随机有限元方法,结合克里金插值模型,分析了同时考虑边界不确定性和土体参数空间变异性时边 定性情况,探讨了静力触探数据对边界不确定性的约束作用,初步结论如下:
(1)对于实际工程中更为普遍的多层边坡,仅仅考虑土体参数空间变异性是不够的,为准确了解边坡稳定性情 不确定性的影响不可忽视;
(2)对于不固定边界,边界不确定性会导致土层的强弱分布发生变化,使临界滑裂面扩展路径不同,边坡稳定性 产生差异;
(3)同时考虑边界不确定性和土体参数空间变异性的耦合作用,大大提高了安全系数的变异系数,增大了边坡 分析的不确定性;
(4)利用静力触探(CPT)等方式可起到一定程度约束边界不确定性的作用,而CPT布置的合理密度与边界相 息息相关。在实际工程中,如能获得关于边界相关长度的参考信息,就能节省不必要的测试费用。
此外,本文为简化分析,仅在考虑单层土体参数的空间变异性和双层土边界不确定性的情况下,给出一定的 考。对于自然环境中的多层非均质边坡,边坡稳定性的分析需要更加详细的研究,对于静力触探测试等数据的应 要更多有益的探讨。
水利水电技术
水利部《水利水电技术》杂志是中国水利水电行业的综合性技术期刊(月刊),为全国中文核心期刊,面向国内外公开发行。本刊以介绍我国水资源的开发、利用、治理、配置、节约和保护,以及水利水电工程的勘测、设计、施工、运行管理和科学研究等方面的技术经验为主,同时也报道国外的先进技术。期刊主要栏目有:水文水资源、水工建筑、工程施工、工程基础、水力学、机电技术、泥沙研究、水环境与水生态、运行管理、试验研究、工程地质、金属结构、水利经济、水利规划、防汛抗旱、建设管理、新能源、城市水利、农村水利、水土保持、水库移民、水利现代化、国际水利等。
版权声明:我们致力于保护作者版权,注重分享,被刊用文章【cpt案例分析(考虑土层边界不确定性的边坡稳定性概率分析)】因无法核实真实出处,未能及时与作者取得联系,或有版权异议的,请联系管理员,我们会立即处理! 部分文章是来自自研大数据AI进行生成,内容摘自(百度百科,百度知道,头条百科,中国民法典,刑法,牛津词典,新华词典,汉语词典,国家院校,科普平台)等数据,内容仅供学习参考,不准确地方联系删除处理!;
工作时间:8:00-18:00
客服电话
电子邮件
beimuxi@protonmail.com
扫码二维码
获取最新动态
