柯西不等式是由柯西在研究过程中发现的一个不等式,其在解决不等式证明的有关问题中有着十分广泛的应用,所以在高中数学提升中非常重要,是高中数学研究内容之一。
从历史的角度讲,该不等式应当称为Cauchy-Buniakowsky-Schwarz不等式(柯西-布尼亚科夫斯基-施瓦茨不等式),因为,正是后两位数学家彼此独立地在积分学中推而广之,才将这一不等式应用到近乎完善的地步。
1·柯西不等式:
2·柯西不等式的变形:
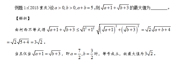
1·求最值:
2·运用等号成立的条件:
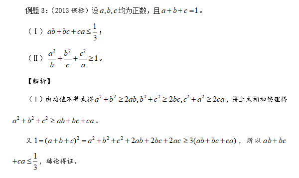
3·证明不等式:
版权声明:我们致力于保护作者版权,注重分享,被刊用文章【施瓦茨不等式证明(第38集)】因无法核实真实出处,未能及时与作者取得联系,或有版权异议的,请联系管理员,我们会立即处理! 部分文章是来自自研大数据AI进行生成,内容摘自(百度百科,百度知道,头条百科,中国民法典,刑法,牛津词典,新华词典,汉语词典,国家院校,科普平台)等数据,内容仅供学习参考,不准确地方联系删除处理!;
工作时间:8:00-18:00
客服电话
电子邮件
beimuxi@protonmail.com
扫码二维码
获取最新动态
