学好高等数学不是一件轻松的事情,许多概念极易混淆,学习过程中必须注意概念的每一个词,每一个符号,尽可能准确掌握。
例1 判断命题是否正确:
例2 单项选择题:
例3 单项选择题:
例4 下列叙述正确的是:
由定义,无穷大必无界,故B正确.
结论:无穷大必无界,而无界未必无穷大.
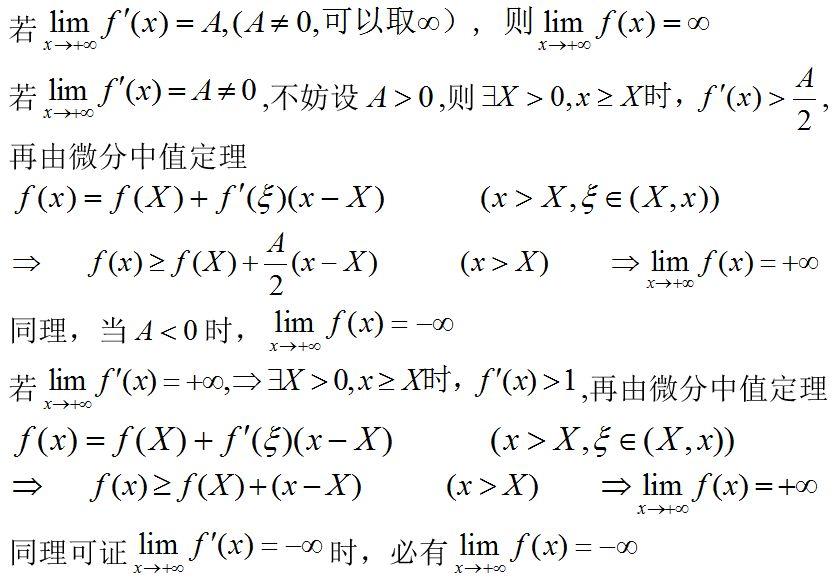
求函数在某点处极限时要注意其左右极限是否相等,求无穷大处极限要注意自变量取正无穷大和负无穷大时极限是否相等。
答案分别为1,sin1,0,0。
切忌在后3个极限中将 sin x 用 x 等价代换。
利用上述结论,我们可以判断函数中带有绝对值函数的可导性。
则函数 在该点取得极值,命题是否正确?
答 不正确。见多元函数极值存在的充分必要条件。
(2)如果二元连续函数在有界闭区域内有惟一的极小值点,且无极大值,那么该函数是否在该点取得最小值?
答 不一定。对于一元函数来说上述结论是成立的,但对于多元函数,情况较为复杂,一般来说结论不能简单的推广。
版权声明:我们致力于保护作者版权,注重分享,被刊用文章【如何证明多元函数连续(你确信已弄懂这些高等数学概念)】因无法核实真实出处,未能及时与作者取得联系,或有版权异议的,请联系管理员,我们会立即处理! 部分文章是来自自研大数据AI进行生成,内容摘自(百度百科,百度知道,头条百科,中国民法典,刑法,牛津词典,新华词典,汉语词典,国家院校,科普平台)等数据,内容仅供学习参考,不准确地方联系删除处理!;
工作时间:8:00-18:00
客服电话
电子邮件
beimuxi@protonmail.com
扫码二维码
获取最新动态
