艾萨克·牛顿的天赋在科学史上是少有的。他的代表作《自然哲学的数学原理》被认为是历史上最重要的科学著作之一。印度著名物理学家、1983年诺贝尔物理学奖得主之一苏布拉马尼扬·钱德拉塞卡(Subrahmanyan Chandrasekhar)在《莎士比亚,牛顿和贝多芬》一文中写道:
只有当我们真正地了解牛顿的天赋时,我们才会发现,人们拿牛顿和科学界其他人士作比较是完全不合适的。
1609年至1619年间,德国天文学家、数学家约翰尼斯·开普勒(Johannes Kepler)发表了他的行星运动三定律,描述了行星围绕太阳运行的轨道。
开普勒行星运动三大定律是:
第一定律:行星的轨道是一个以太阳为两个焦点之一的椭圆。
第二定律:将行星和太阳连接起来的一条线段在相等的时间间隔内扫过相等的面积。下面的动画演示了满足开普勒第二定律的行星运动。在相等的时间间隔内,扫过的面积(蓝色区域)相等。紫色箭头(指向椭圆的焦点之一)是加速度。另一个箭头是速度(加速度的分量也显示了)。
第三定律:行星轨道周期的平方与其轨道的长半轴长度的立方成正比(见图11)。
哈雷访问牛顿
在皇家学会的一次会议后,克里斯托弗·雷恩(著名的英国建筑师,同时也是天文学家,数学家和物理学家),罗伯特·胡克和埃德蒙·哈雷(英国天文学家,数学家和物理学家)在一家咖啡馆讨论,如何证明行星的椭圆轨道是平方反比定律的结果(根据该定律,作用于行星的引力与它们到太阳的距离的平方成反比)。哈雷随后访问剑桥,与牛顿讨论这个问题。法国数学家亚伯拉罕·德·莫夫(Abraham de Moivre)后来描述了他们的会面:
1684年哈雷博士到剑桥看望他。他们在一起待了一段时间后,博士问他,如果行星对太阳的引力是与它们到太阳距离的平方成反比的话,他认为行星所描述的曲线会是怎样的。艾萨克爵士立即回答说,那将是一个椭圆。博士又惊又喜地问他是怎么知道的。牛顿说,“我已经计算过了。”于是,哈雷博士立即向他要了他的计算结果……
牛顿的传记作者盖尔·爱德华·克里斯蒂安森在他的《艾萨克·牛顿》一书中描述了哈雷来访后发生的事情:
在1684年11月……在哈雷、胡克和雷恩开始探索讨论之后的11个月后,一本“论运动(De Motu)”的抄本送到了哈雷的家门口……他大吃一惊,因为在他的手中的是一门动力学的数学种子……起初,牛顿……把“论运动”本身视为一个目标。但是,一旦他的创造力被释放出来,其势头就无法抑制。“既然我已经谈到这个问题了,”他写道……“我很愿意在发表论文之前弄清真相……”论运动将成为他的杰作、有史以来最伟大的科学著作的雏形。就这样开始了科学史上最紧张的十八个月的工作。1686年4月,牛顿发表了……他的杰出著作的前三分之一。他将其命名为自然哲学的数学原理…
下图显示了牛顿证明的摘要:
开普勒第二定律(见上文)。平方反比定律,根据这个理论,作用在一个围绕太阳以椭圆轨道运行的行星上的引力与1/r^2成正比,并且指向椭圆的焦点之一。为了直观地展示牛顿证明开普勒行星运动第二定律所采取的方法,下面的动画非常有用。
考虑太阳对行星的有心力(连心力)。有心力是一个力F,它的方向是将物体和力的固定原点O相连的直线。本文的目的是确定受这种力作用的物体的运动(与哈雷提出的问题相反,但牛顿也解决了这个问题)。
平面上的简单运动学
极坐标(r, θ)与笛卡儿坐标(x, y)的关系如下:
x,y,r,θ方向上的单位向量如下图所示。
它们之间的关系是:
位置矢量等于:
将式3对时间微分两次,经过一些简单的代数运算,我们得到了极坐标表示的加速度矢量:
天体轨道的时间演化
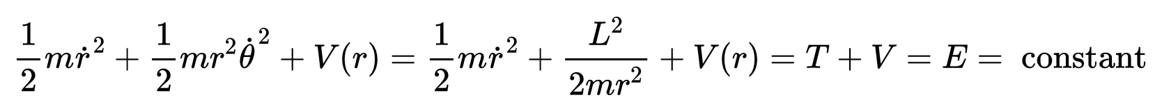
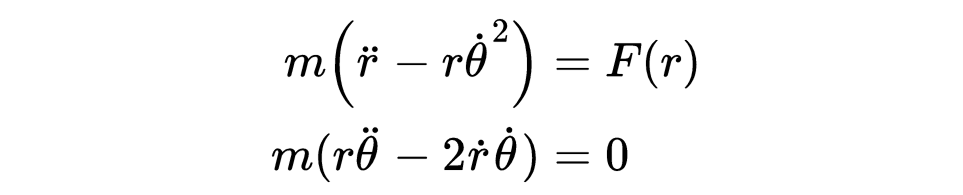
我们可以很容易地看出,受连心力作用的物体的角动量是恒定的:
由于L是常数,位置矢量和速度矢量x和v总是在一个固定的平面上(与L正交),这大大降低了问题的复杂性。方程式4,加上牛顿第二运动定律F = ma,给出了我们想要的运动方程:
如果我们把角动量写成:
对t求导,用式5得到式6的第二行。对式5积分得到:
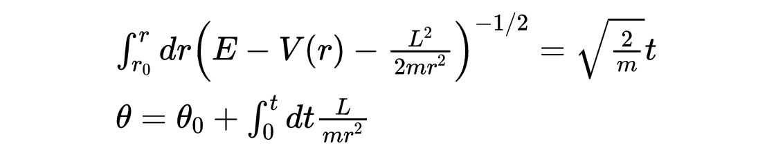
常数L取决于初始条件。对式6第一行积分,利用式7或式8,得到:
总能量E是另一个依赖于初始条件的常数。求解方程8和方程9,然后积分,得到r(t)和θ(t)方程:
注意,在式10中有四个依赖于初始条件的常数,即E,L,r和θ_0。
求方程10中两个方程的r(t)和θ(t)的精确解通常是相当棘手的。更直接的方法是计算物体的运动轨迹,即r(θ)。
首先,考虑方程6和方程8,将包含L的项转置到方程6的右边。我们得到:
我们定义了一个有效势。因此,对于r来说,这个二维问题变成了一维问题,因为dθ/dt可以通过方程8消去。
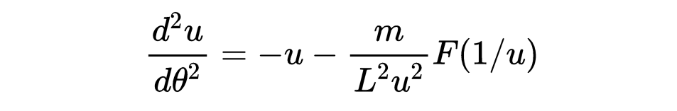
定义一个新的辅助变量u=1/r,并将其代入方程11,经过一些代数运算,我们得到:
由于我们对作用在物体上的引力特别感兴趣,F变成:
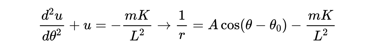
将方程13代入方程12求解,得到一个二次曲线的方程,即:
从方程12到方程14,我们解了齐次方程,找到了一个特解,然后把它们放在一起。
在方程14中:
r =0是二次曲线的焦点θ_0是轨道在包含曲线的平面上的方向。A是一个常数。因为θ_0是任意的,所以我们可以选择A为正。我们对椭圆轨迹特别感兴趣。在式14中,它有两个转折点,分别为θ_0=0和θ_0=π。由方程9和方程11可知,当有效势等于总能量E时,转折点就出现了。因此,求解方程11使有效势等于E,我们得到两个方程(每个转折点一个),用E和L表示。将这些方程与θ_0=0和θ_0=π的方程14进行比较,我们得到了A的值:
由解析几何可知,极坐标下的椭圆方程为:
其中ε为离心率(椭圆的ε值大于零但小于1)。
将椭圆的式14改写为:
椭圆满足的两个重要关系是:
比较方程14和17,我们得到了用角动量L表示的B:
由ε=A/B,我们得到:
我们最终得到椭圆方程,接着是一个物体绕另一个位于椭圆焦点上的物体运行。它由下式给出:
想了解更多精彩内容,快来关注老胡说科学
版权声明:我们致力于保护作者版权,注重分享,被刊用文章【开普勒第二定律证明(牛顿的天才)】因无法核实真实出处,未能及时与作者取得联系,或有版权异议的,请联系管理员,我们会立即处理! 部分文章是来自自研大数据AI进行生成,内容摘自(百度百科,百度知道,头条百科,中国民法典,刑法,牛津词典,新华词典,汉语词典,国家院校,科普平台)等数据,内容仅供学习参考,不准确地方联系删除处理!;
工作时间:8:00-18:00
客服电话
电子邮件
beimuxi@protonmail.com
扫码二维码
获取最新动态
