关键路径方法(Critical Path Method – CPM)是项目管理中最重要的概念之一,当然也是最持久的概念之一。
本文是优思学院写给初学者们的介绍,将帮助您了解关键路径方法并将其应用于您的项目中。在我们的六西格玛黑带课程中,项目管理也是其中一个重要的知识范畴。对于项目管理技术而言,关键路径法具有相当出色的历史。关键路径方法的早期可以追溯到1940年代初的曼哈顿计划。 鉴于这个改变世界的项目的雄心,规模和重要性,科学家及其背后的管理人员开发了多种技术,以确保该项目能够按时得到交付成果。
这些技术之一是绘制出任何项目中最重要的任务,并使用它们来估计项目完成日期。今天,我们将此技术称为“关键路径法”。
直到今天,CPM还是项目计划的基石。 一个项目需要多长时间通常取决于构成它的最重要的任务。
如果您可以规划这些任务及其持续时间,则可以对项目的时间表和预算进行合理的估算。
您是否听说过约束理论(TOC) ?
该理论最初由Elliyahu Goldratt在其1984年的书《目标》中描述 ,该理论指出,您完成任何活动的能力取决于一些关键资源或约束条件 。
例如,如果您要制作三明治,则可能需要所有的黄油,火腿和奶酪,但是如果您没有面包,则无法制作三明治。
在这种情况下,面包将成为三明治制作项目所依赖的约束 。
关键路径法与该理论相似,但重点更广。 根据这种方法,任何项目的成功都取决于关键路径上的任务是否按时完成。
让我们更详细地看一下这种方法。
每个项目,无论其规模或预算如何,都具有一些对完成项目至关重要的核心任务。像煮鸡蛋一样简单。
如果您必须创建一个简短的食谱来制作煎蛋卷,它将看起来像这样:
打2个鸡蛋加热锅,热时加黄油/油倒入打好的鸡蛋煮5分钟要制作一个好的煎蛋卷,还需要执行其他一些任务。 您必须用盐和胡椒粉调味鸡蛋。 也许加一些蔬菜和一些奶酪。 也许您可以在另一侧翻转它,使鸡蛋完全煮熟。
但是,这些活动是配方中三个核心步骤的补充 。 即使您不表演它们,您仍然会有一个煎蛋卷。 虽然不是很好,但是还是煎蛋卷。
另一方面,如果您忘记打鸡蛋,加热锅或煮鸡蛋,除了一个冷锅和两个鸡蛋外,您什么都不会。
也就是说,配方中的三个步骤描述了使煎蛋卷制作项目成功所需的关键任务。
这些步骤的顺序描述了新厨师要制作煎蛋卷时必须采取的关键路径 。
简而言之,这是关键路径方法。
关键路径方法在项目管理知识体系(PMBOK)中定义如下:“关键路径方法是确定项目持续时间的预定活动的顺序。”
如果要将项目视为成功,则必须执行这些计划的活动。 而且,它们必须按特定顺序完成。 如果要盖房子,则不能盖墙然后挖基础。 您必须按顺序进行。
需要了解的重要一点是,CPM描述了项目中最长的任务序列 。
也就是说,在任何项目中,您都会有多个任务序列。 CPM将描述花费最多时间的顺序。
例如,如果要盖房子,您将有以下几个任务序列:
每个任务花费不同的时间和资源。 与安装水龙头和固定装置相比,建造墙壁和铺设屋顶需要更多的时间。
如果您必须弄清项目的“关键路径”,则可以查看花费最多时间的序列,如下所示:沿着此关键路径完成序列所花费的总时间将使您对项目的最小持续时间有所了解。您可能会同时执行多个任务序列,但是如果关键路径序列中有任何延迟,您的项目也会遭受延迟。
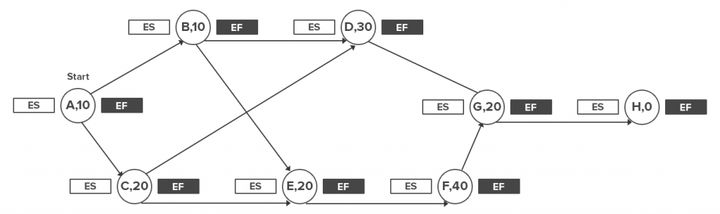
关键路径方法本质上是一种决策算法。 该算法采用任务的开始时间,持续时间和完成时间来确定哪些活动最值得关注(即对项目“至关重要”)。让我们考虑一个示例,以更好地理解关键路径算法。假设您有一个任务列表,如下所示。 C列和D列分别列出了任务开始前必须完成的前置任务以及任务的所需时间。
由于项目经理的目标是尽快完成项目(当然不影响质量),因此我们将尝试为每个活动找到最早的完成时间。为此,将所有任务组织成一个流程图,并在任务ID旁边记下它们的持续时间。 箭头指示活动的顺序。 我们将在活动左侧标记最早开始(ES)时间,在右侧标记最早完成(EF)时间。:
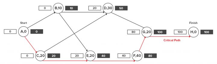
在第一个活动的左侧和右侧标记开始时间(S) 。 通常,该值为0。现在,标记每个活动的最早开始(ES)时间。 这由活动的直接前任(即其最早完成时间或EF) 右边的最大数字给出。如果活动有两个前任,则EF时间较晚的那个会给您该活动的ES。
活动的EF由其最早开始时间(ES)和持续时间(t)给出,即ES + t。因此,如果一项活动的ES为20,并将持续10天,则其EF为30。在流程图中标记所有这些数字。
最长的路径将是“关键路径” (Critical Path)。该序列中最后一个任务右边的最后一个数字将为您提供完成项目所需的最短时间。
与使用“关键路径法”相关且对于使用“关键路径法”至关重要的概念是浮动。在项目管理中,“浮动时间”定义了任务可以延迟而不会造成项目的延迟的时间:
任何后续的相关任务-称为“自由浮动”整个项目的任何延迟-称为“总浮动”关键路径上的任何活动或任务的浮动时间都为零。 也就是说,您完全不能延迟它。但是,项目中还有许多其他活动可能会延迟。 这种延迟的量化称为“浮动”。例如,当您制作煎蛋卷时,“加热锅”的浮标为零,因为它位于关键路径上。但是,调味鸡蛋会有较多浮动的时间,因为, 您可以在煮鸡蛋时甚至煮熟后向生鸡蛋混合物中加盐。计算项目中所有活动的浮动或松弛对更好地分配资源至关重要。如果活动的浮动性较高,则可以将其资源转移到优先级较高的任务。一般而言,高流动性活动将在优先级列表的下方,而关键路径上的活动(也称为“零流动性”活动)将受到主要关注。
少项目可以真正的按计划进行。 您总是会有些延误,范围变更和客户需求,这将迫使您加快某些活动而延迟其他活动。
关键路径方法包括几种应对此类突发事件的措施:1.快速跟进(fast tracking)
快速跟进是在关键路径上并行运行多个活动以减少总体项目时间的过程。快速跟进仅适用于没有“硬”依赖性的活动,即,它们不完全依赖于其前任者来启动。
例如,在建造房屋墙壁之前,您需要先挖掘基础。 但是,当您进行挖掘时,您也可以购买砖块并混合水泥。
因此,尽管“筑墙”取决于“挖掘基础”,但您可以并行运行“购买砖块”和“混合水泥”来挖掘基础。
显然,快速跟进需要更多资源。 由于您将资源分配给多个任务,因此它也会影响整体质量。 在需要并行运行活动的情况下,良好的资源管理将特别有用。2.赶工(crashing)
如果由于期限过短而需要赶去活动怎么办?
在这种情况下,您可以为活动分配其他资源,以使其更快地完成。此过程称为“赶工”。
赶工在以下活动中很有用:
受益于拥有更多资源,即遵循资源与完成时间之间的线性关系。可以利用高流通量活动中的资源。 由于这些活动存在明显的“浮动”,因此您可以延迟它们而不会危害项目通常不建议您将赶工排除在紧急情况之内,因为它会影响关键路径之内和之外的活动。 但是,如果必须这样做,请从高浮动任务中转移资源,而不是转移关键路径上的资源。
在1963年9月号的 《 哈佛商业评论》中,有关于关键路径方法的说法:
“最近,越来越多的用于商业决策的定量工具也增加了关键路径法(Critical Path Method),这是一种功能强大但基本上简单的技术,用于分析,计划和调度大型复杂项目。”从那时起,这种方法就在项目管理的理论和实践中确立了自己的地位。 并且有充分的理由-使用关键路径方法可带来无数好处:减少延迟:关键路径方法可帮助确定项目中最重要的任务序列。 管理人员可以使用此信息通过优化关键路径上的工作来减少延迟。
可视化依赖关系: CPM依赖于列出与项目关联的所有任务及其依赖关系。 这样创建的图表可以帮助您可视化所有依赖关系并相应地确定任务的优先级。
改善组织 :在复杂的项目中,CPM有助于将可交付成果分解为序列,并将序列分解为任务。 这以及对可视化依赖关系,映射约束以及定义任务的关键路径的关注,极大地改善了项目组织。
优化效率:通过绘制关键路径,项目经理可以更好地了解项目中的重要任务。 他们可以使用此信息更有效地分配资源,根据任务的重要性添加/删除资源。
浮动计算:”浮动”定义了在不影响项目进度的情况下任务可以延迟多少。 这是关键路径方法的重要组成部分。 计算浮点数可以帮助您更有效地分配资源。
如果您是一个六西格玛黑带或项目经理,这个方法可以有助于你成功地为你自己的项目进行时间管理。
版权声明:我们致力于保护作者版权,注重分享,被刊用文章【关键路径法案例(优思学院)】因无法核实真实出处,未能及时与作者取得联系,或有版权异议的,请联系管理员,我们会立即处理! 部分文章是来自自研大数据AI进行生成,内容摘自(百度百科,百度知道,头条百科,中国民法典,刑法,牛津词典,新华词典,汉语词典,国家院校,科普平台)等数据,内容仅供学习参考,不准确地方联系删除处理!;
工作时间:8:00-18:00
客服电话
电子邮件
beimuxi@protonmail.com
扫码二维码
获取最新动态
