本篇文章旨在证明微积分基本定理,对于不那么热衷于代数的人来说,这是一种视觉方法,而对于那些对精确性不那么严格的人,要采用一种代数的,稍微更严格的方法。
我们将理解数学中最重要的历史证明之一。之所以重要,是因为它将以前不可能解决的问题(即函数的积分问题)简化为查找导数的艺术。
这个证明的奇妙之处在于,有两种方法,两者互为补充,但也可以独立理解。首先,我们将看到定理的非正式表述,以及证明的非正式表述。这将给让我们直观感受微积分并且了解它的本质。这个证明是可视化的,不需要过多或复杂的代数。这一部分将传达一些关键的思想,而不用代数,但代价是不那么精确。
导数是关于用直线逼近函数的。它的思想是,在一点附近,切线可以很好地近似函数的变化方式。一条直线在某一点上的导数可以看作是该点“最佳”线性近似值的斜率。
对于很多函数,关于函数的很多信息都包含在使用线性函数来近似它的过程中。显然,这种近似不是完美的,但我们就可以了解到函数的很多信息。
第0部分:非正式表述
微积分基本定理告诉我们,如果我们将F(x)定义为F(t)图像下在0到x之间的面积,那么F(x)的导数就是f(x)
让我们来理解一下这是什么意思。下面是一条红线,这是我们的函数f,我们想求出0到x之间的面积。函数F告诉我们,对于x轴上的每一点,曲线下的面积是多少。
我们想要确定函数F在x点处的导数是什么。我们可以用图形计算器来绘制F(x),如下所示:
这个函数看起来应该有导数。但它是什么呢?
F(x)在x附近的最佳直线近似值是什么?
假设F(x+dx)大致等于F(x) +dx * F(x)
例如,在x = 8时,我们可以说F(8.00001)很接近于F(8) +0.00001* F(8)。对此的“视觉”证明是什么?
再看一下图下的面积。
当我们使用近似F(x+dx)大约等于F(x) +dx * F(x),我们看到以下内容。dx*f(x)用红色矩形的面积表示,它的高是f(x),宽是dx。这是一个好的线性逼近吗?是的!重新写一下,x = 8处的近似函数是F(8) + h* F(8)。我们还可以看到,这个矩形包含了F(x+dx)得到的所有面积。下面可以看到,我们遗漏的区域只是蓝色阴影的小区域,它比矩形区域小得多。
然而,我们可以对这个证明做一些改进。它在这个图上看起来是一个很好的近似,但是它对所有的图都适用吗?此外,我们如何定义我们的“最佳线性近似”?这就需要用一些代数来表述这个问题。
首先,我们要定义导数。具体做法如下:
极限的意思是看当dx趋近于0时表达式的变化。所以,你可以计算下面的序列,看看它趋向于什么:
我们得到了一个很好的视觉图形:
然后我们看到,当dx趋于0时,F(x)和F(x+dx)之间的直线的梯度的极限被定义为导数。这可以从下面的GIF中看到:
我们使用极限是因为,当x = 0.01或0.00001对这个函数来说似乎是很小的,但对于一个像x^1000000000000000000000000000这样的函数来说,0.01的差会导致结果的巨大变化。该限制意味着dx可以任意减小,以便我们始终可以放大缩小到足以使我们的函数可以由直线近似的程度。
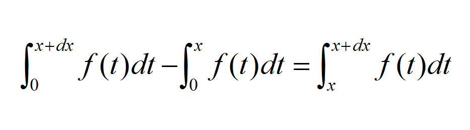
接下来,我们需要一些符号来表示曲线下从0到x的面积,如下:
f(t)dt是什么意思?一种看待它的方法是f是某个变量t的函数,因此我们对t进行积分。表示我们积分距离的变量是x,因此积分的上限是x,但我们将f(t)写成t的函数。除了避免两次使用'x'之外,我们为f使用哪个变量名实际上都没有关系。
现在,我们的任务是证明:
我们现在证明:
这是因为我们只关心x和x+dx之间的面积。如下图所示,我们对红色区域非常感兴趣。
那么,接下来的问题就是求出下面的极限是什么:
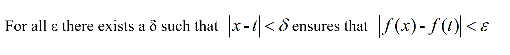
这里我们假设f(t)在t = x处是连续的。x点连续性的定义是什么?这将花费你一点时间来理解!
这是什么意思?举个例子,例如,你可以将“ε”设置为0.001。然后,我可能会发现如果t与x之间的距离小于0.00001,那么我们就可以保证|f(t) — f(x)| < 0.001。在本例中,假设x = 8,那么|f(8) — f(8.000001)|<0.001,因为8.000001离8的距离小于0.00001。
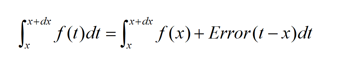
表达这个思想的另一种方式是:
基本上,我们将f(t)写为两部分之和:f(x),以及f(t)与f(x)的误差(用Error表示)。当t趋近于x时,误差项趋于0。
换句话说,当带的长度趋于0时,包含x的带内的最大误差趋于0。我制作了下图来说明这一点:
我们用它来重写方程:
但是,f(x)只是关于dt的一个“常数”项。
回到之前的图,红色矩形表示f(x) dx,蓝色阴影部分表示误差项的积分。
我们快要完成了!
我们要做的只是表明误差的积分除以dx趋于0。回想一下连续性的定义。如果我们将接近目标设置为0.01,那么对于所有t适当地接近x,误差项都在0.01之内。然后,我们将对某个宽度dx的积分,最大高度是0.01。所以积分除以dx的值最多是0。
下面是一个直观的演示:绿色箭头双面箭头表示距x的'dx'距离内的最大误差项。很明显,紫色矩形的面积是对误差的高估,因为它的高度总是大于或等于最大误差。从图中可以看出,紫色矩形的高度为最大误差,宽度为dx。
因此,假设最大误差趋于0,则误差除以dx的积分也趋于0!
但是,正如我们已经看到的,在越来越窄的条带内,最大误差确实趋向于0。
因此,我们得出结论:
事实证明,我们的方法仍然可以改进。首先,我们应该如何定义积分?“图下面积”作为一个概念很有用,但如果我们想用微积分中的这些概念来解释没有漂亮图的函数和情况,它就帮不了我们了。
低估面积
我们在图下面画一些矩形,然后把它们的面积加起来。由于矩形在每一点都低于图形,这提供了一个低估的面积。
当我们使矩形的底变小时,我们得到了越来越好的近似
高估面积
为了定义这个积分,我们看看当矩形底的宽度趋于0时,上分区和和下分区和的值的极限。如果这两个值相等,我们说黎曼积分存在。
为了证明微积分基本定理,我们有两种选择。如果我们假设f(x)是连续的,我们按上面的方法进行。如果我们仅仅假设f(x)是黎曼可积的但不一定是连续的,我们就必须对上分区和下分区和做一些手脚并使用一些其他技巧。
总之,事后看来,这个定理很难证明,但现在它解决了一些非常非常困难的问题。就像数学中经常出现的情况一样,最重要的定理会找到关于一整类问题的最相关的信息,然后使凡人能够解决以前连天才都难以解决的问题。
为了解决这个问题,我们只需发现x^(n+1)/(n+1)通过微分一个多项式的规则微分到x^n。然后根据微积分基本定理,F(x) = x^(n+1) /(n+1)给出了0到x之间的面积公式,代入x = 1就得到了答案。
如果没有微积分的基本定理,你可以做出来吗?
微积分基本定理的有趣之处在于,如果没有人类的直觉和视觉思维,最初几乎不可能想出相关的定义。但是,这就要求我们具备使语言精确化的能力,以将这些思想转变为可以在不同上下文中进行操作的数学对象,例如,使用与许多变量甚至无限变量的积分,并最终推广到勒贝格的积分理论或使用微分几何的怪异而奇妙的表面。
版权声明:我们致力于保护作者版权,注重分享,被刊用文章【代数基本定理的证明(数学史上最重要的证明之一)】因无法核实真实出处,未能及时与作者取得联系,或有版权异议的,请联系管理员,我们会立即处理! 部分文章是来自自研大数据AI进行生成,内容摘自(百度百科,百度知道,头条百科,中国民法典,刑法,牛津词典,新华词典,汉语词典,国家院校,科普平台)等数据,内容仅供学习参考,不准确地方联系删除处理!;
工作时间:8:00-18:00
客服电话
电子邮件
beimuxi@protonmail.com
扫码二维码
获取最新动态
