一篇文章写清楚一个问题,关注我,自学python!
今天用一个实际例子带大家走遍多元线性回归模型机器学习的全程。
我们现在拿到如上图的数据集,今天要做的就是建立多元线性回归模型,利用area, bedrooms, age来预测房价price。
import pandas as pd
import numpy as np
from sklearn import linear_model
df = pd.read_csv('dataset/homeprices.csv')运行以上代码就可以导入数据
注意到这个数据集是有缺失值的。需要提前处理掉缺失值,关于缺失值的处理我之前有专门文章介绍。
对于此例,预处理很简单就是处理缺失数据。
df.bedrooms = df.bedrooms.fillna(df.bedrooms.median())我们直接用bedrooms的中位数填补确实即可,填补结果如下:
reg = linear_model.LinearRegression()
reg.fit(df.drop('price',axis='columns'),df.price)通过以上代码就拟合出了我们的多元线性回归模型,通过.coef_和.intercept_方法可以查看模型的回归系数和截距。
给大家讲一讲模型的一般形式:
在这个例子中,price是因变量,area, bedrooms,age都是自变量,模型拟合的过程就是寻找最优的系数m1,m2,m3的过程。我们可以查看我们拟合模型的系数。
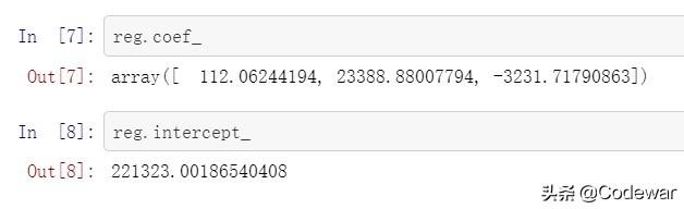
reg.coef_
reg.intercept_上面代码可以查看模型系数和截距b,输出为
模型训练好后,我们就可以在给定area, bedrooms,age的情况下预测出price
reg.predict([[3000, 3, 40]])可以看到,无论是通过.predict方法还是通过带入系数运算得到的预测结果都是一样的。
今天给大家实例操作了多元线性回归模型的训练过程,感谢大家耐心看完。发表这些东西的主要目的就是督促自己,希望大家关注评论指出不足,一起进步。内容我都会写的很细,用到的数据集也会在原文中给出链接,你只要按照文章中的代码自己也可以做出一样的结果,一个目的就是零基础也能懂,因为自己就是什么基础没有从零学Python的,加油。
(站外链接发不了,请关注后私信回复“数据链接”获取本头条号所有使用数据)
往期内容:
python数据分析:缺失值处理
python机器学习:如何划分训练集和测试集
机器学习:一元回归的模型建立
版权声明:我们致力于保护作者版权,注重分享,被刊用文章【多元回归模型分析案例(python机器学习)】因无法核实真实出处,未能及时与作者取得联系,或有版权异议的,请联系管理员,我们会立即处理! 部分文章是来自自研大数据AI进行生成,内容摘自(百度百科,百度知道,头条百科,中国民法典,刑法,牛津词典,新华词典,汉语词典,国家院校,科普平台)等数据,内容仅供学习参考,不准确地方联系删除处理!;
工作时间:8:00-18:00
客服电话
电子邮件
beimuxi@protonmail.com
扫码二维码
获取最新动态
