目前有些高二的学生已经开始学习导数了,导数作为上海教改新增加的内容,有很多老师甚至是同学忐忑不安,因为导数有可能会慢慢变成上海的压轴题之一。对于导数部分,我建议就是理解好概念,打好基础,循序渐进。今天我们就浅浅解析一下导数的概念部分,如有错误,欢迎指出。
说到导数,不得不说平均变化率,什么叫做平均变化率那?物理上有一个类似的概念叫做平均速度,平均速度指的是路程差÷时间差。那么数学上如何理解那?简单来说就是函数值的差÷自变量的差所得到的值。几何意义就是曲线上割线的斜率也就是下图中PA的斜率。
对比楼上讲的概念,我们在物理上依旧可以找到相似的概念,叫做瞬时速度 ,瞬时速度指的是物体在某一时刻的速度。那么数学上也很好理解这个概念,就是函数在某一点上的斜率,也可以理解为在这个点处所做的切线。如下图所示,如果动点从左边靠近A点,称为左逼近,此时平均变化率都接近于一个定值B,那么B就称为函数在该点处的左极限,同理,如果函数从右边逼近,且平均变化率也接近与于一个定值C,那么C称为函数在该点处的右极限
左极限B
图片来源于:素人素言
图片来源于:素人素言
如果这个动点,无论从左边逼近还是右边逼近,平均变化率B=C,也就是左极限=右极限,我们说瞬时变化率是存在的,且瞬时变化率等于这个定值。也就是说曲线在点A处的切线斜率=B=C。
那么关键问题来了,有些分段函数或者不是平滑的曲线,左极限不一定等于右极限呀,比如下图这个↓。这种情况,我们认定为曲线在该点处,不存在切线。
图片来源于:素人素言
前面铺垫了那么多,终于写到导数了。导数到底是啥子东西吗?简单来说就是刚才讲解的瞬时变化率。我们对原函数进行求导,所得到的新函数称之为导函数。
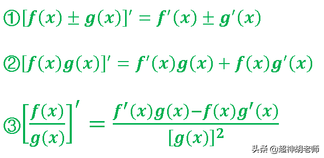
求导的法则和公式如下图↓
求导公式
求导法则
Tips:
①因为导数是在定点处取到的左右极限相等,那么针对闭区间,端点处导数是不存在的,因为没有左极限或者右极限。
②若函数在开区间任意一点,均存在导数,那么称这个函数为可导函数,反之,则称为不可导函数。
③函数求导后所得到的导函数,若导函数在(A,B)这个区间大于0,可以理解为斜率大于0,也就是原函数在(A,B)这个区间递增。同理若在(B,C)区间,导函数小于0,则原函数在(B,C)这个区间递减 。
以上这些知识点只是导数的入门功法,要想更上一层楼,还得继续深耕此处。
最后在距离高考还有22天的时间里,送给所有高三一些寄语,仅当勉励诸君。
少年一贯快马扬帆,道阻且长且不转弯。要盛大要绚烂要哗然,要用理想的泰坦尼克去撞现实的冰川,要当烧赤壁的风,而非借箭的草船,要为一片海就肯翻山越岭。加油吧,少年!
我是超神胡老师,喜欢我的文章,记得点赞、关注、分享三连。
版权声明:我们致力于保护作者版权,注重分享,被刊用文章【如何证明一个函数可导(高二导数理解这些概念)】因无法核实真实出处,未能及时与作者取得联系,或有版权异议的,请联系管理员,我们会立即处理! 部分文章是来自自研大数据AI进行生成,内容摘自(百度百科,百度知道,头条百科,中国民法典,刑法,牛津词典,新华词典,汉语词典,国家院校,科普平台)等数据,内容仅供学习参考,不准确地方联系删除处理!;
工作时间:8:00-18:00
客服电话
电子邮件
beimuxi@protonmail.com
扫码二维码
获取最新动态
