高考数学备考之放缩法证明数列中的不等式
证明数列型不等式,因其思维跨度大、构造性强,需要有较高的放缩技巧而充满思考性和挑战性,能全面而综合地考查学生的潜能与后继学习能力,因而成为高考压轴题及各级各类竞赛试题命题的极好素材。这类问题的求解策略往往是:通过多角度观察所给数列通项的结构,深入剖析其特征,抓住其规律进行恰当地放缩;其放缩技巧主要有以下几种:
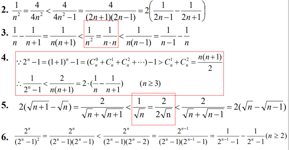
当n=1,2时显然成立
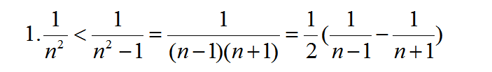
当n=1时显然成立
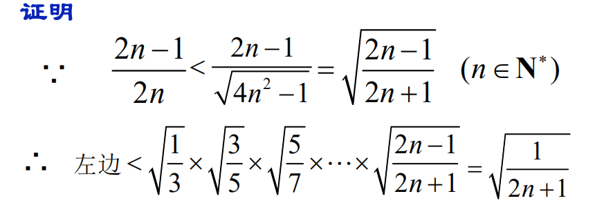
当n=1,2时显然成立
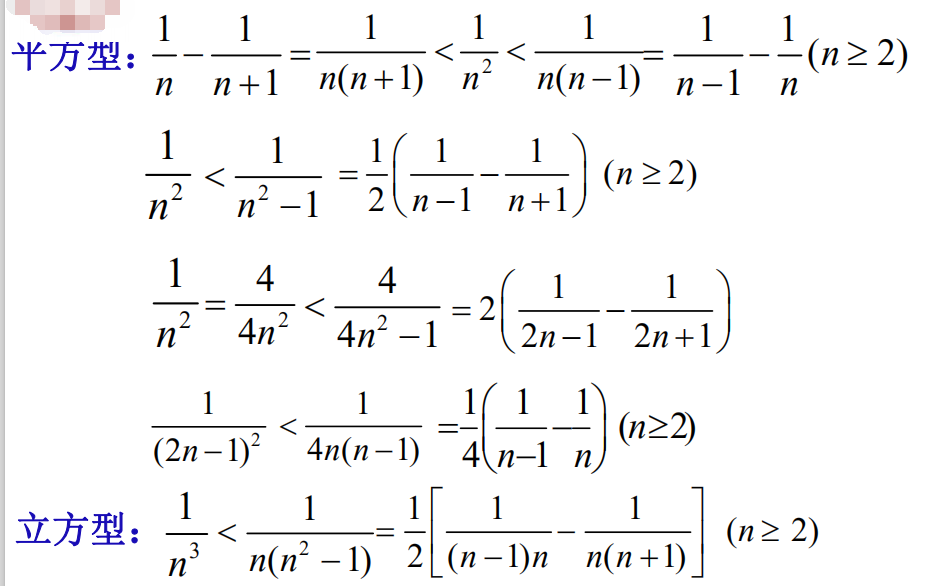
当n=1时显然成立
当n=1时显然成立
版权声明:我们致力于保护作者版权,注重分享,被刊用文章【放缩法证明不等式(高考数学备考之放缩法证明数列中的不等式)】因无法核实真实出处,未能及时与作者取得联系,或有版权异议的,请联系管理员,我们会立即处理! 部分文章是来自自研大数据AI进行生成,内容摘自(百度百科,百度知道,头条百科,中国民法典,刑法,牛津词典,新华词典,汉语词典,国家院校,科普平台)等数据,内容仅供学习参考,不准确地方联系删除处理!;
工作时间:8:00-18:00
客服电话
电子邮件
beimuxi@protonmail.com
扫码二维码
获取最新动态
