1.特别提示:财管学习中,思路比公式更为重要,公式仅仅是思路的外在体现;
2.不必记忆公式的字母表示,重在其运用,考试的时候直接带入数字列式即可;
3.以下的公式总结,仅仅列出重要公式,以供大家参考;由于时间有限,不妥之处,还望谅解!
【学习要求】
1.熟练掌握财务评价指标的计算公式;
2.理解管理用财务报表各项目之间的逻辑联系;
3.掌握内含增长率和可持续增长率的计算;
4.理解外部筹资额的计算步骤。
1.营运资本=流动资产-流动负债=长期资本-长期资产
2.流动比率=流动资产÷流动负债;3.速动比率=速动资产÷流动负债
4.现金比率=货币资金÷流动负债5.现金流量比率=经营活动现金流量净额÷流动负债
【记忆】短期偿债能力的比率指标,其分母均为流动负债,区别在分子,分子的记忆可以通过其指标名称得出。
1.资产负债率=总负债÷总资产;
2.产权比率=总负债÷股东权益;
3.权益乘数=总资产÷股东权益
【思考】资产负债率为 60%,请计算权益乘数和产权比率。
4.长期资本负债率=非流动负债÷(非流动负债+股东权益)
5.利息保障倍数=息税前利润÷利息费用
【提示 1】息税前利润=利润总额+利息费用=净利润+所得税费用+利息费用;
【提示 2】分子中的利息费用仅仅指利润表中“费用化”部分,分母的利息费用不仅包括计入利润表的费用化利息,还包括计入资产负债表的资本化利息,即“全部利息”。
6.现金流量利息保障倍数=经营活动现金流量净额÷利息费用
【提示】此处分母的利息费用,和利息保障倍数的分母相同,即“全部利息”。
7.现金流量与负债比率=经营活动现金流量净额÷负债总额
1.应收账款周转率(次)=营业收入÷应收账款
【注意】营业收入为扣除折扣与折让后的净额;包括资产负债表中应收账款项目、应收票据项目,需要把坏账准备加回来(即用未扣除坏账准备的金额)。
【思考】如果某企业生产经营的旺季在 4~10 月,用年初年末平均应收账款计算出来的周转率, 会产生什么问题(计算出来的周转率虚高,过高估计了应收账款的周转速度)。
2.流动资产周转率=营业收入÷流动资产;
3.营运资本周转率=营业收入÷营运资本;
4.总资产周转率=营业收入÷资产总额
5.存货周转率=营业成本(或营业收入)÷存货
【说明】在短期偿债能力分析或分解总资产周转率时,分子应该用营业收入;如为了评估存货管理的业绩,分子应该使用营业成本。
【提示 1】在计算周转率的时候,分子由于是时期数,为了配比,分母的时点数应取期初期末平均(考试如果要求简化计算,从其要求)。
【提示 2】一般来说,计算出某项资产的年周转率(次数),可以计算出该项资产的周转天数, 公式为:365÷**资产周转率。
1.营业净利率=(净利润÷营业收入);
2.总资产净利率=(净利润÷总资产)
3.总资产净利率=营业净利率×总资产周转次数;
4.权益净利率=净利润÷股东权益;
或=营业净利率×总资产周转率×权益乘数
【提示】要是上述的两个结果相等,权益乘数的计算中,分子分母应该取平均值,这也是杜邦分析体系的核心公式。
1.每股收益=(净利润-优先股股息)÷流通在外普通股加权平均股数
【链接】每股股利=股利总额÷年末普通股股份总数(此时不是加权平均股数,因为同股同利,不管什么时候发行的,在获取股利方面,权利一样)
2.市盈率(倍数)=每股市价÷每股收益
3.每股净资产=普通股股东权益÷流通在外普通股股数
4.市净率=每股市价÷每股净资产
5.每股营业收入=营业收入÷流通在外普通股加权平均股数
6.市销率=每股市价÷每股营业收入
【总结】除每股股利之外,其他指标计算中,如果分子是时点数,分母的普通股取时点数(每股净资产);如果分子是时期数,分母的普通股取加权平均数(每股收益、每股营业收入)。
1.经营营运资本=经营性流动资产-经营性流动负债
2.净经营性长期资产=经营性长期资产-经营性长期负债
3.净负债=金融性负债-金融性资产
4.净经营资产合计=经营性营运资本+净经营性长期资产=净负债+股东权益
【提示】净经营资产合计又称为净投资资本。
净利润=经营损益+金融损益
=税后经营净利润-税后利息费用
=税前经营利润×(1-所得税税率)-利息费用×(1-所得税税率)
营业现金毛流量=税后经营净利润+折旧与摊销
【提示】营业现金毛流量也称为营业现金流量。
营业现金净流量=营业现金毛流量 - 经营营运资本增加
实体现金流量=营业现金净流量-资本支出= 税后经营净利润-净经营资产增加
【提示】资本支出=净经营长期资产增加+折旧与摊销
债务现金流量=税后利息费用 - 净负债增加;股权现金流量=股利分配 - 股权资本净增加实体现金流量=股权现金流量+债务现金流量
净利润=税后经营净利润-税后利息费用
【提示】对于管理用财务报表所涉及到的公式,请务必熟练掌握,这是后面第八章企业价值评估的基础内容。
外部融资额=营业收入增加×经营资产销售百分比-营业收入增加×经营负债销售百分比-可动用的金融资产-收益留存
【提示】留存收益=预计营业收入×预计营业净利率×(1-预计股利支付率)
1.内含增长率的测算
0 = 经营资产销售百分比-经营负债销售百分比-[(1+增长率)÷增长率]×预计营业净利率×(1-预计股利支付率)
【提示】企业没有可动用的金融资产,并不打算或不能从外部融资,只靠内部积累所达到的销售增长率即为内含增长率。
2.可持续增长率的测算
(1)根据期初股东权益计算
可持续增长率=营业净利率×期末总资产周转次数×期末总资产期初权益乘数×利润留存率
【提示】以上公式需要满足“不增发新股,也不回购股票”的条件,如果把该条件放开(即增 发新股),那么有:可持续增长率=本期收益留存/(期末权益-本期收益留存)。
2.根据期末股东权益计算基于传统报表:
【提示】该公式适用于任何情况,不受是否发行新股(回购股票)的限制。基于管理用财务报表:
【学习要求】
1.灵活掌握资金时间价值的计算;
2.熟悉风险衡量指标的计算
【提示】上述公式并不是必须记忆,考试中可以查询到相关系数表。但需要理清普通年金终(现) 值和预付年金终(现)值,递延年金终(现)值,偿债基金(年资本回收额)之间的关系。
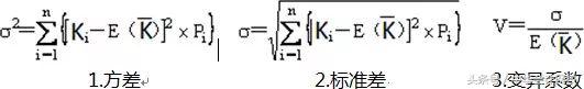
【提示】标准差或方差指标衡量的是期望报酬率相同资产之间的风险大小,而变异系数没有该限制。
4.两项资产组合的报酬率的方差满足以下关系式:
5.系统风险的度量(贝塔系数):
6.资本资产定价模型:
某项资产的必要报酬率=无风险报酬率+β×(市场组合的平均报酬率-无风险报酬率)
【提示】本章的公式,大多以字母来表示,这些字母不需要记忆,考试时候,能根据具体的条件,带入公式进行计算即可。
【学习要求】掌握债务资本成本和股权资本成本的计算
计算不考虑发行费用的税前资本成本是关键,涉及到到期收益率法、可比公司法、风险调整法和财务比率法。重点把握到期收益率法和风险调整法。
到期收益率法的基本思路是 “计算现金流出的现值和现金流入现值相等的折现率”,即:
税前债务成本:
税后债务成本=税前债务成本×(1-所得税税率)
【提示】如果有发行费,那么在计算税前债务成本的公式中,左侧为 P×(1-F)。
二、权益资本成本的估计
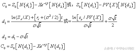
(一)资本资产定价模型:KS=Rf+β×(Rm-Rf)
1+r名义=(1+r 实际)(1+通货膨胀率)
(二)股利增长模型:
(三)债券报酬率风险调整模型:
【学习要求】
1.熟练掌握项目评价中的指标计算;
2.理清互斥型项目的分析思路。
(一)净现值法
净现值是指特定方案未来现金流入的现值与未来现金流出的现值之间的差额。
(二)内含报酬率法
能够使未来现金流入量现值等于未来现金流出量现值的折现率,或者说是使投资项目净现值为零的折现率。
(三)回收期法
投资引起的现金流入累计到与投资额相等所需要的时间。它代表收回投资所需要的年限。
(四)会计报酬率法
会计报酬率=年平均净收益/原始投资额
如果两个方案的年限不同,可以用如下三种思路来解决:
1.最小公倍期数法;
2.净现值的等额年金额=该方案净现值/(P/A,i,n);
3.永续净现值=等额年金额/资本成本。
【提示】只有重置概率很高的项目才适宜于上述分析方法。
营业现金毛流量=营业收入-付现营业费用-所得税
=营业收入- (营业费用-折旧)-所得税
=税前经营利润+折旧-所得税
=税后经营净利润+折旧
=营业收入×(1-税率)-付现营业费用×(1-税率)-折旧×税率
【提示】资本预算的基本公式,务必掌握,涉及到项目决策,这个公式是绕不过去的。
可比公司法是寻找一个经营业务与待评估项目类似的上市企业,以该上市企业的β推算项目的β。
①卸载可比公司财务杠杆:
β资产=β权益÷[1+(1-税率)×(负债/股东权益)]
②加载目标企业财务杠杆
β权益=β资产×[1+(1-税率)×(负债/股东权益)]
③根据目标公司的β权益计算股东要求的报酬率
股东要求的报酬率=无风险利率+β权益×市场风险溢价
④计算目标公司的加权平均资本成本
加权平均资本成本=负债成本×(1-税率)×负债比重+股东权益成本×股东权益比重
【学习要求】 1.掌握价值评估思路;
2.掌握计算收益率的思路。(重思路轻公式)
一、债券价值的评估方法
基本思路:投资债券后,所获得的未来现金流入的现值和。
二、普通股价值的评估方法
股票价值=未来各期股利收入的现值+未来售价的现值
(一)有限持有:
(二)永久持有:
1.零增长股票:
2.固定增长股票:
【链接 1】股利增长模型下求普通股资本成本(没有发行费用):
【链接 2】当上述式子中的 g=0,即得到零增长股票价值的计算公式:
【提示】公式的应用比字母表达式更重要。
三、投资收益率的计算
现金流入的现值等于现金流出现值的折现率即为证券投资的收益率。
【学习要求】
1.理清保护性看跌和抛补性看涨两种投资策略的组合净收入;
2.掌握复制原理、套期保值原理和风险中性原理。
【提示】以上公式不要“死记”,课堂上听懂,把握基本思路,完全可以进行推导掌握。
期望报酬率=无风险利率
=(上行概率×上行时报酬率)+(下行概率×下行时报酬率)
=上行概率×股价上升百分比+下行概率×(-股价下降百分比)(不发放红利时)
【提示】上述两个原理的公式结合教材的例题掌握;教材【7-10】值得研究。
三、二叉树期权定价模型
1.单期二叉树
r=上行概率×(u-1)+(1-上行概率)×(d-1)
2.多期二叉树模型
【提示】二叉树模型其实是风险中性原理的延伸,其本身没有太多的新内容,注意一下多期二叉树确定变动乘数的公式。教材【7-11】予以把握。
四:布莱克-斯科尔斯期权定价模型
【提示】实在太复杂,没有时间就战略(性放弃)吧。
【学习要求】
1.熟练掌握现金流折现模型评估企业价值(尤其是现金流量的确定,是难点,也是重点)
2.理解相对价值法的三种模型(市销率、市净率和市盈率)
一、现金流折现模型的参数和种类
(一)预计现金流量
核心公式:实体现金流量=税后经营净利润–净经营资产增加债务现金流量=税后利息费用-净负债增加
股权现金流量=股利分配-股权资本净增加支撑公式:
净利润=经营损益+金融损益=税后经营净利润-税后利息费用净经营资产合计=净负债+股东权益=净投资资本
(二)方法思路总结
【提示 2】实体现金流量
=税后经营净利润+折旧与摊销-经营营运资本净增加-资本支出
=税后经营净利润-(资本支出-折旧与摊销+经营营运资本净增加)
实体现金流量=税后经营净利润–净经营资产增加
二、相对价值评估方法
1.市盈率模型
2.市净率模型
3.市销率模型
4.修正比率方法
修正平均市盈率(市净率、市销率)=可比企业平均市盈率(市净率、市销率)÷[可比企业平均预期增长率(股东权益净利率、营业净利率)×100]
目标企业每股价值=修正平均市盈率(市净率、市销率)×目标企业预期增长率(股东权益净利率、销售净利率)×100×目标企业每股收益(每股净资产、每股营业收入)
【学习要求】
1.掌握杠杆系数的计算公式;
2.理解 MM 资本结构理论;
3.掌握最优资本结构的决策方法。
一、资本结构的 MM 理论
1.无税 MM 理论
2.有税 MM 理论
3.资本结构的其他理论
【提示】根据以上的公式,回忆各种理论的观点和推论。
二、每股收益无差别点法
【链接】每股收益=归属于普通股的净利润÷发行在外普通股的加权平均数
三、企业价值比较法
【提示】如果企业存在优先股,在上述计算基础上,还需要加上优先股价值 P。
四、杠杆系数的计算
(一)经营杠杆系数
(二)财务杠杆系数
(三)联合杠杆系数的衡量
同时发放现金股利、股票股利和资本公积转增股本后的除权参考价:
通常配股股权登记日后要对股票进行除权处理。除权后股票的理论除权基准价格为:
一、营运资本的筹资策略
【结论】
1.易变现率高,资金来源的持续性强,偿债压力小,管理起来比较容易,称为保守型筹资政策;
2.易变现率低,资金来源的持续性弱,偿债压力大,称为激进型筹资政策;
3.介于保守型和激进型之间的即为适中型筹资策略。
二、现金管理
总成本=机会成本+交易成本=(C/2)×K+(T/C)×F
C*应当满足:机会成本=交易成本,(C*/2)×K=(T/C*)×F,可知:
三、应收账款管理
应收账款占用资金的应计利息=日销售额×平均收现期×变动成本率×资本成本
四、存货管理
1.基本的经济订货批量:
2.存货陆续供应和使用:
经济订货量公式为:
相关总成本公式为:
五、短期债务管理
【学习要求】 1.掌握辅助生产费用分配的三种方法;
2.掌握产品成本结转的分步法。
一、辅助生产费用的归集和分配
(一)直接分配法
(二)交互分配法
【学习要求】掌握成本差异的计算
一、变动成本差异分析
直接材料:
价格差异=(实际价格-标准价格)×实际数量
用量差异=(实际数量-标准数量)×标准价格
直接人工:
工资率差异=(实际工资率-标准工资率)×实际工时
效率差异=(实际工时-标准工时)×标准工资率
变动制造费用:
耗费差异=(实际分配率-标准分配率)×实际工时
效率差异=(实际工时-标准工时)×标准分配率
【提示】
1.上述差异分析均针对实际产量;
2.括号外面记住“价标量实”,即价格用标准,用量用实际;
3.不同的费用差异有不同的名称:价差和量差分别为,直接材料为价格差异和用量差异,直接人工为工 资率差异和效率差异,变动制造费用为耗费差异和效率差异。
二、固定制造费用的差异分析
【学习要求】
1.掌握本量利分析的核心公式;
2.在本量利分析的核心公式基础上,分析盈亏平衡点和敏感性分析。
一、基本的损益方程式
利润=销售收入-总成本
=销售收入-(变动成本+固定成本)
=销量×单价-销量×单位变动成本-固定成本
=销量×(单价-单位变动成本)-固定成本
二、包含期间成本的损益方程式
利润=销量×单价-销量×单位变动成本-固定成本
税前利润=单价×销量-(单位变动产品成本+单位变动销售和管理费)×销量-(固定产品成 本+固定销售和管理费用)
三、计算税后利润的损益方程式
利润=销量×单价-销量×单位变动成本-固定成本
税后利润=(单价×销量-单位变动成本×销量-固定成本)×(1-所得税税率)
【提示】这里的税后利润,其实就是息前税后利润
【学习要求】掌握销售预算、直接材料预算和现金预算的编制,尤其涉及到的现金流入流出。
投资中心的业绩评价
部门投资报酬率=部门税前经营利润÷部门平均净经营资产
部门剩余收益=部门税前经营利润-部门平均净经营资产×要求的报酬率
经济增加值=税后净营业利润-平均资本占用×加权平均资本成本
基本经济增加值=税后净营业利润-报表总资产×加权平均资本成本
简化的经济增加值:
经济增加值=税后净营业利润-资本成本=税后净营业利润-调整后资本×平均资本成本率
税后净营业利润=净利润+(利息支出+研究开发费用调整项)×(1-25%)
版权声明:我们致力于保护作者版权,注重分享,被刊用文章【cpa套期会计(注意)】因无法核实真实出处,未能及时与作者取得联系,或有版权异议的,请联系管理员,我们会立即处理! 部分文章是来自自研大数据AI进行生成,内容摘自(百度百科,百度知道,头条百科,中国民法典,刑法,牛津词典,新华词典,汉语词典,国家院校,科普平台)等数据,内容仅供学习参考,不准确地方联系删除处理!;
工作时间:8:00-18:00
客服电话
电子邮件
beimuxi@protonmail.com
扫码二维码
获取最新动态
