“格林将分析应用于电磁领域并引出了他在数学物理中的一系列重要结果。”
——摘自《中国大百科全书》数学卷
“我将致力于揭示位势函数与带电物体中荷密度之间的关系,并将所获得的关系应用于电学理论。”
——格林
格林是英国数学家、物理学家,1793年7月14日生于诺丁汉;1841年5月31日卒于剑桥。
格林出生在一个磨坊主家庭,童年辍学在父亲的磨坊干活,他一边干活一边利用工余时间坚持自修数学和物理,特别是在读拉普拉斯的《天体力学》后很受启发,于是自己试图完全用数学方法来论述静电磁学,在32岁那年出版了一本他私人印的小册子《数学分析在电磁学中的应用》,这是在电磁学的数学理论方面的最初尝试。在这本书中,他引入了位势函数,他说:“这样的函数以如此简单的形式给出电荷基元在任意位置受力的数值。由于它在下文中频繁出现,我们冒昧地称其为属于该系统的位势函数,它显然是所考虑的电荷基元P的坐标的函数。”
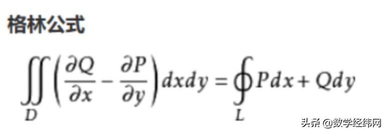
在该书中还包含了他首先发现的展布在一个平面区域上的二重积分与沿这个区域边界的曲线积分之间的关系(即数学分析中有名的格林公式),但由于这份小册子印数不多、传播范围不广,未引起人们的注意。几年后,威廉·汤姆逊( Willia Thomson)发现了这本小册子,并认识到它的巨大价值,于1850年将它推荐发表在《纯粹与应用数学杂志》上,但这时格林已去世10年。
格林的父亲去世后,一些好友鼓励他到大学去深造,他经过4年的自学,将其初等教育中的空白填补后,在1833年——当时他已经40岁,才以自费生的身份进入剑桥大学科尼斯学院学习,4年后毕业获学士学位,毕业时数学成绩名列第四。1839年被聘为剑桥大学教授,并被选为剑桥冈维尔科尼斯学院评议员。
格林发展了电磁理论,他引入的位势等概念其意义远远超出了解位势方程。他首次研究了与求解数学物理边值问题密切相关的特殊函数——格林函数。格林函数现已成为偏微分方程理论中的一个重要概念和一项基本工具,格林还发展了能量守恒定律,将其运用于变形弹性体,得出了弹性理论的基本方程。格林在光学与声学领域也很有成绩,其中关于光在晶体中的反射和折射的研究具有特别重要的意义。他还发表了关于流体平衡定律、关于n维空间中的引力及关于流体受椭球体振动而引起的运动等论文,他在1828年的论著里,毫不犹豫地考虑了n维位势问题,关于这个理论,他说:“已经不像过去那样局限于三维空间了。”他率先发展n维分析、在研究波管道中的传播问题时,讨论过用发散级数来解微分方程的方法。
格林在学术研究中反对门阀偏见。在分析引入英国后,他是第一个沿着欧洲大陆上的研究线索前进的英国数学家。他的工作培育了数学物理学方面的剑桥学派,其中包括了近代很多伟大的数学物理学家,如汤姆逊,斯托克斯( Stokes)、瑞利( Rayleigh)、麦克斯等。
格林留下的著作于1871年汇集出版。为数虽然不多,但在现代数学物理方面具有举足轻重的地位,以他的姓氏命名的格林函数、格林公式、格林定律、格林曲线、格林测度,格林算子、格林方法等,都是数学物理中经典的内容。特别是格林那种自强不息的精神、自学成才的范例,深受人们赞扬。为了缅怀这位磨坊出身、勤奋刻苦的杰出数学家,诺丁汉市决定维护好陪伴格林度过艰苦自学岁月的磨坊。如今,到诺丁汉旅游的人,很远就可以看到它耸立的风轮,特别是在夕阳的照耀下构成了一幅极美丽的风景。
版权声明:我们致力于保护作者版权,注重分享,被刊用文章【格林公式证明(以他姓氏命名的数学物理知识数不胜数)】因无法核实真实出处,未能及时与作者取得联系,或有版权异议的,请联系管理员,我们会立即处理! 部分文章是来自自研大数据AI进行生成,内容摘自(百度百科,百度知道,头条百科,中国民法典,刑法,牛津词典,新华词典,汉语词典,国家院校,科普平台)等数据,内容仅供学习参考,不准确地方联系删除处理!;
工作时间:8:00-18:00
客服电话
电子邮件
beimuxi@protonmail.com
扫码二维码
获取最新动态
