最小二乘法(即最小平方和)是一种数学优化技术。可以通过它计算最小化误差的平方和寻找数据的最佳函数匹配。
利用最小二乘法可以简便地求得未知的数据,并使得这些求得的数据与实际数据之间误差的平方和为最小。
通常一元线性回归和多元线性回归都用最小二乘法求得未知参数,比如一元线性回归方程的斜率和截距,多元线性回归的多个参数和常量。
用“残差和最小”确定直线位置是一个途径。但很快发现计算“残差和”存在相互抵消的问题。
用“残差绝对值和最小”确定直线位置也是一个途径。但绝对值的计算比较麻烦。
最小二乘法的原则是以“残差平方和最小”确定直线位置。用最小二乘法除了计算比较方便外,得到的估计量还具有优良特性。这种方法对异常值非常敏感。
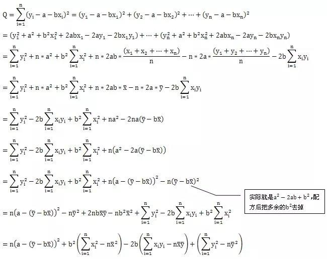
例如一元线性回归方程:y=a+bx
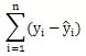
n个离差构成的总离差越小越好,只有如此才能使直线最贴近已知点。换句话说,求回归直线方程的过程其实就是求离差最小值的过程,也就是求最优参数的过程,机器学习训练模型也是求最优参数的过程,训练线性回归就是求最优参数。
一个很自然的想法是把各个离差加起来作为总离差。可是,由于离差有正有负,直接相加会互相抵消,就无法反映这些数据的贴近程度,即这个总离差不能用n个离差之和来表示,见下图:
离差
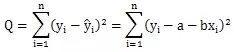
所以应该用离差平方和表示,即:
离差平方和公式
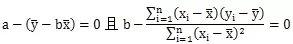
用最小二乘法求回归直线方程中的a、b的公式如下:
离差平方和最小时b和a的值
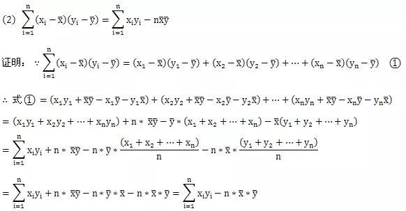
变形公式一:
变形公式二:
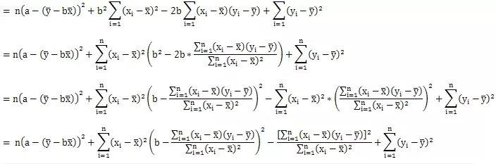
变形后,推导最小二乘法求回归直线方程的公式:
到此,公式推导完成,从最后公式可以看出后两项
与a、b无关,属于常数项
与a、b无关,属于常数项,所以要想让最小二乘法的平方差最小,只需要让
只需让前面的项为0
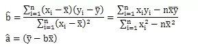
这样可以得到误差平方和最小时b(斜率)和a截距的值:
版权声明:我们致力于保护作者版权,注重分享,被刊用文章【证明离均差平方和最小(机器学习之最小二乘法)】因无法核实真实出处,未能及时与作者取得联系,或有版权异议的,请联系管理员,我们会立即处理! 部分文章是来自自研大数据AI进行生成,内容摘自(百度百科,百度知道,头条百科,中国民法典,刑法,牛津词典,新华词典,汉语词典,国家院校,科普平台)等数据,内容仅供学习参考,不准确地方联系删除处理!;
工作时间:8:00-18:00
客服电话
电子邮件
beimuxi@protonmail.com
扫码二维码
获取最新动态
