题组一 常见有机物的性质及应用
[解题指导]
1.掌握两类有机反应类型
(1)加成反应:主要以烯烃和苯为代表,碳碳双键、苯环可以发生加成反应。
(2)取代反应:烷烃、苯、乙醇和乙酸均容易发生取代反应。
2.区分三个易错问题
(1)不能区分常见有机物发生反应的反应类型。如塑料的老化发生的是氧化反应,不是加成反应,单糖不能发生水解反应等。
(2)不能灵活区分有机反应的反应条件。如苯与溴水不反应,只与纯液溴反应。
(3)不能准确地对有机物进行分类。如油脂不是高分子化合物。
3.牢记三种物质的特征反应
(1)葡萄糖:在碱性、加热条件下与银氨溶液反应析出银;在碱性、加热条件下与新制氢氧化铜悬浊液反应产生砖红色沉淀。
(2)淀粉:在常温下遇碘变蓝。
(3)蛋白质:浓硝酸可使蛋白质变黄,发生颜色反应。
4.同分异构体判断时必记的三个基团
丙基(C3H7—)有2种,丁基(C4H9—)有4种,戊基(C5H11—)有8种。
[挑战满分](限时10分钟)
1.下列涉及有机物的性质的说法错误的是( )
A.乙烯和聚氯乙烯都能发生加成反应
B.将铜丝在酒精灯上加热后,立即伸入无水乙醇中,铜丝恢复成原来的红色
C.黄酒中某些微生物使乙醇氧化为乙酸,于是酒就变酸了
D.HNO3能与苯、甲苯、甘油、纤维素等有机物发生反应,常用浓硫酸作催作剂
答案 A
2.下列说法中不正确的是( )
A.有机化合物中每个碳原子最多形成4个共价键
B.油脂、淀粉、蛋白质在一定条件下都能发生水解反应
C.用溴水既可以鉴别甲烷和乙烯,也可以除去甲烷中的乙烯
D.乙烯和苯均能发生氧化反应,说明乙烯和苯分子中均有碳碳双键
答案 D
解析 苯分子没有碳碳双键,苯的燃烧是苯的氧化反应,与分子中是否含有碳碳双键无关,D项错误。
3.有机化合物与我们的生活息息相关,下列说法正确的是( )
A.甲苯的硝化、油脂的皂化均可看作取代反应
B.蛋白质水解生成葡萄糖,放出热量,提供生命活动的能量
C.石油裂解的目的是为了提高轻质液体燃料的产量和质量
D.棉花和合成纤维的主要成分是纤维素
答案 A
解析 蛋白质水解生成氨基酸,B项错误;石油裂解的目的是为了获得更多的乙烯、丙烯等化工基本原料,C项错误;合成纤维不属于纤维素,D项错误。
4.下列说法正确的是( )
A.糖类、油脂、蛋白质在一定条件下都能发生水解反应
B.植物油的主要成分是高级脂肪酸
C.棉、麻、羊毛完全燃烧都只生成CO2和H2O
D.乙烷的二氯取代物有两种同分异构体
答案 D
解析 A项,糖类中的单糖不能发生水解反应;B项,植物油的主要成分是不饱和高级脂肪酸的甘油酯;C项,羊毛的主要成分为蛋白质,完全燃烧时还生成氮的化合物等;D项,二氯乙烷中,两个氯原子可在同一个碳原子上,也可以在两个碳原子上,共两种结构。
5.下列说法正确的是( )
A.乙烷与氯气在光照条件下发生加成反应
B.将石蜡油(液态烷烃混合物)加强热分解生成的气体都是烷烃
C.甲苯能够使溴的四氯化碳溶液和酸性高锰酸钾溶液褪色
D.乙醇能够被酸性的高锰酸钾溶液直接氧化成乙酸
答案 D
解析 A项,发生取代反应,错误;B项,烷烃裂解生成小分子的烯烃和烷烃,错误;C项,甲苯能使酸性高锰酸钾溶液褪色,但不能使溴的四氯化碳溶液褪色,错误。
6.下列与有机物的结构、性质有关的叙述正确的是( )
A.苯、油脂均不能使酸性KMnO4溶液褪色
B.甲烷和Cl2的反应与乙烯和Br2的反应属于同一类型的反应
C.葡萄糖、果糖的分子式均为C6H12O6,二者互为同分异构体
D.乙醇、乙酸均能与Na反应放出H2,二者分子中官能团相同
答案 C
解析 油脂中的不饱和高级脂肪酸的甘油酯含有碳碳双键,能使酸性KMnO4溶液褪色,A项错误;甲烷和氯气的反应属于取代反应,乙烯和Br2的反应属于加成反应,B项错误;葡萄糖和果糖的分子式相同,但结构不同,互为同分异构体,C项正确;乙醇、乙酸中的官能团分别为羟基、羧基,D项错误。
7.下列关于苯的叙述正确的是( )
A.反应①为取代反应,有机产物与水混合浮在上层
B.反应②为氧化反应,反应现象是火焰明亮并伴有浓烟
C.反应③为取代反应,只生成一种产物
D.反应④中1mol苯最多与3molH2发生加成反应,是因为苯分子含有3个碳碳双键
答案 B
解析 A项,反应①是苯的卤代反应,生成的溴苯不溶于水,密度比水大,故在下层;B项,反应②为苯的燃烧反应,因其含碳量高,故燃烧时伴有浓烟;C项,反应③为苯的硝化反应,属于取代反应,得到硝基苯和水;D项,反应④是苯的加成反应,但苯中不含有碳碳双键,苯分子中的碳碳键是一种介于单键和双键之间的独特的键。
8.有机反应类型较多,形式多样。下列反应中属于加成反应的是( )
A.①②B.③④
C.①③D.②④
答案 D
9.下列每个选项中,甲、乙两个反应属于同一种反应类型的是( )
答案 D
解析 A中甲为消去反应,乙为加成反应;B中甲为取代反应,乙为氧化反应;C中甲为氧化反应,乙为取代反应;D中两个反应都是取代反应。
10.下列各组中的反应,属于同一反应类型的是( )
A.乙醇和乙酸制乙酸乙酯;苯的硝化反应
B.乙烷和氯气制氯乙烷;乙烯与氯化氢反应制氯乙烷
C.葡萄糖与新制氢氧化铜共热;蔗糖与稀硫酸共热
D.乙醇和氧气制乙醛;苯和氢气制环己烷
答案 A
解析 乙醇和乙酸制乙酸乙酯和苯的硝化反应都属于取代反应,A项符合题意;乙烷和氯气制氯乙烷属于取代反应,乙烯与氯化氢反应制氯乙烷属于加成反应;葡萄糖与新制氢氧化铜共热属于氧化反应,蔗糖与稀硫酸共热属于水解反应;乙醇和氧气制乙醛属于氧化反应,苯和氢气制环己烷属于加成反应。
题组二 有机物的结构特点和同分异构体判断
[挑战满分](限时10分钟)
1.下图甲、乙表示的是两种有机化合物,对于图中表示的有机化合物的结构与性质的描述正确的是( )
A.表示的是同一种物质
B.甲中是否混有乙,可用加入金属钠是否产生气体进行检验
C.都能发生氧化反应
D.乙表示的分子结构中含有碳碳双键
答案 C
解析 甲表示乙醇,乙表示乙酸,A项错误;乙醇和乙酸都可与钠反应放出气体,B项错误;乙酸中含有碳氧双键,不是碳碳双键,D项错误。
2.下列有关同分异构体数目的叙述中正确的是( )
A.戊烷有2种同分异构体
B.C8H10中只有3种属于芳香烃的同分异构体
C.甲苯苯环上的一个氢原子被含3个碳原子的烷基取代,所得产物有6种
D.CH3CH2CH2CH3光照下与氯气反应,只生成1种一氯代烃
答案 C
解析 A项,戊烷有3种同分异构体;B项,有
、
、
、
4种同分异构体;C项,丙基的同分异构体有2种,所以取代
苯环上的氢原子分别得到邻、间、对各3种同分异构体,共6种,正确;D项,光照条件下的取代反应,得到2种一氯代物。
3.下列物质在给定条件下的同分异构体数目正确的是( )
A.C4H10属于烷烃的同分异构体有3种
B.分子组成是C5H10O2属于羧酸的同分异构体有5种
C.分子组成是C4H8O属于醛的同分异构体有3种
D.结构简式为
的一溴代物有5种
答案 D
解析 C4H10属于烷烃的同分异构体有2种:正丁烷和异丁烷,A项错误;分子组成的C5H10O2的属于羧酸的同分异构体可写成C4H9—COOH,丁基有4种,故属于羧酸的同分异构体有4种,B项错误;分子组成为C4H8O属于醛的有机物可写成C3H7—CHO,丙基有2种,故属于醛的同分异构体有2种,C项错误;甲基环己烷的一溴代物有5种,其取代位置如图
。
4.下列说法正确的是( )
A.氟苯所有原子都处于同一平面
B.聚丙烯的结构简式可表示为CH3—CH—CH2
C.分子式为C3H6O的有机物只含有一种官能团
D.
和
的结构相似,化学性质相似
答案 A
解析 苯分子中的所有原子共面,故其中一个氢原子被氟原子取代的产物氟苯中的所有原子也共面,A项正确;聚丙烯的结构简式应为
,B项错误;分子式为C3H6O的有机物,若其结构简式为CH2===CHCH2OH,则含有羟基和碳碳双键两种官能团,C项错误;
中含有独立的碳碳单键和碳碳双键,而
中的碳碳键是介于碳碳单键和碳碳双键之间的特殊的键,结构不相似,化学性质也不相似,D项错误。
5.(2015·海南,5)分子式为C4H10O并能与金属钠反应放出氢气的有机物有(不含立体异构)( )
A.3种B.4种C.5种D.6种
答案 B
解析 分子式为C4H10O并能与金属钠反应放出氢气的有机物属于醇类,因—C4H9有4种同分异构体,故对应的醇也有4种同分异构体,即选B。
6.分子式为C4H8Cl2的同分异构体有(不考虑立体异构)( )
A.7种B.8种
C.9种D.10种
答案 C
解析 碳主链为C—C—C—C时,两个Cl原子在同一个碳原子上的同分异构体为2种,两个Cl原子在不同碳原子上的同分异构体为4种;碳主链为
时,两个Cl原子在同一个碳原子上的同分异构体为1种,两个Cl原子在不同碳原子上的同分异构体为2种,共9种。
7.分子式为C5H12O的醇与和它相对分子质量相同的一元羧酸进行酯化反应,生成的酯共有的种数(不考虑立体异构)为( )
A.15B.16C.17D.18
答案 B
解析 分子式为C5H12O的醇有8种,与其相对分子质量相同的一元羧酸的分子式为C4H8O2,其同分异构体有2种,所以它们形成的酯一共有2×8=16种,B项正确。
8.某有机物的分子式为C4H8O2,下列有关其同分异构体数目的说法中错误的是( )
A.属于酯类的有4种
B.属于羧酸的有2种
C.既含有羟基又含有醛基的有3种
D.存在分子中含有六元环的同分异构体
答案 C
解析 分子式为C4H8O2的酯的同分异构体有甲酸丙酯、甲酸异丙酯、乙酸乙酯、丙酸甲酯4种,A项正确;分子式为C4H8O2的羧酸的同分异构体有丁酸、2甲基丙酸2种,B项正确;既含有羟基又含有醛基的有5种,即丁醛中除醛基外,另外三个碳原子均可单独连有羟基,2甲基丙醛中除醛基外,另外两个甲基碳原子可连有羟基及与醛基相连的碳原子上也可以连有羟基,C项错误;通过分子式可写出含有4个碳原子和2个氧原子的六元环,D项正确。
9.二苯并呋哺的结构简式为
,其一氯代物有( )
A.3种B.4种
C.5种D.6种
答案 B
解析
10.已知下列芳香化合物,请推测第12列有机物的分子式为( )
第1列 第2列 第3列
第4列
A.C72H48B.C72H50
C.C72H52D.C72H54
答案 B
解析 根据给出的前四列的规律可知第12列含有12个苯环,且有11×2个无氢碳原子,故其分子中含有的碳原子数为12×6=72,氢原子数为12×6-11×2=50,即分子式为C72H50,B项正确。
题组三 官能团决定物质的性质
[挑战满分](限时15分钟)
1.如图是四种常见有机物的比例模型示意图。有关下列说法正确的是( )
A.甲能使酸性KMnO4溶液褪色
B.乙可与溴水发生取代反应而使溴水褪色
C.丙与浓硫酸、浓硝酸的混合液共热可发生取代反应
D.丁在稀硫酸作用下可与乙酸发生取代反应
答案 C
解析 甲为甲烷,不能使酸性KMnO4溶液褪色;乙为乙烯,可与溴水发生加成反应而使溴水褪色;丙为苯,可与浓硫酸、浓硝酸的混合液共热发生取代反应;丁为乙醇,在浓硫酸作用下加热可与乙酸发生取代反应。
2.山梨酸是应用广泛的食品防腐剂,其结构如图所示,下列关于山梨酸的说法错误的是( )
A.分子式为C6H8O2
B.1mol该物质最多可与3molBr2发生加成反应
C.可使酸性KMnO4溶液褪色
D.可与醇发生取代反应
答案 B
解析 该有机物的官能团有
和—COOH两种,Br2不能与—COOH发生加成反应。
3.葡萄酸的结构简式为
。下列有关葡萄酸的说法不正确的是( )
A.葡萄酸能发生取代反应
B.葡萄酸既能与醇发生酯化反应,也能与羧酸发生酯化反应
C.相同物质的量的葡萄酸消耗Na和NaOH的物质的量之比为2∶1
D.葡萄酸能使溴的四氯化碳溶液褪色
答案 D
解析 葡萄酸中羧基和羟基均能发生取代反应,A项正确,不合题意;葡萄酸分子中含有羧基和羟基,B项正确,不合题意;羟基和羧基均可与Na反应生成氢气,羟基不能与NaOH反应,C项正确,不合题意;葡萄酸不能与溴发生反应,D项错误,符合题意。
4.下列两种化合物的结构或性质描述正确的是( )
Ⅰ
Ⅱ
A.两种物质的分子式均为C10H14O2,互为同分异构体
B.两种物质均能发生加成和取代反应
C.两种物质分子中都含有甲基、苯环和羧基
D.两物质都含有碳碳双键,因此都能使溴的四氯化碳溶液褪色
答案 B
解析 两种物质的分子式均为C10H12O2,互为同分异构体,A项错误;两种物质中都有苯环,均能发生加成反应和取代反应,B项正确;两种物质分子中都有甲基、苯环,Ⅰ中存在羧基,Ⅱ中含有酯基,C项错误;两物质分子中都没有碳碳双键,都不能使溴的四氯化碳溶液褪色,D项错误。
5.葡萄糖在人体中进行无氧呼吸产生乳酸,乳酸的结构简式为
。下列有关乳酸的说法不正确的是( )
A.乳酸能发生催化氧化、取代反应
B.乳酸和葡萄糖所含官能团相同
C.乳酸能和碳酸氢钠、钠反应放出气体
D.乳酸和
互为同分异构体
答案 B
解析 乳酸分子中含有羧基、醇羟基,能发生酯化反应,含有醇羟基,能发生催化氧化,A项正确;葡萄糖含有羟基、醛基,不含有羧基,B项错误;羧基能和碳酸氢钠反应放出二氧化碳,羟基、羧基能和钠反应放出氢气,C项正确;
与乳酸含有相同官能团且分子式相同,结构不同,二者互为同分异构体,D项正确。
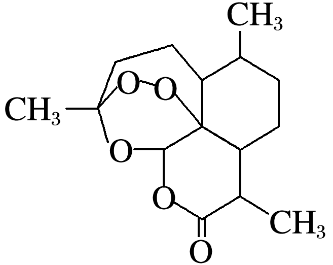
6.我国科学家屠呦呦因发现青蒿素治疗疟疾新疗法而获得2015年诺贝尔生理学或医学奖,已知青蒿素的结构简式如下。下列说法不正确的是( )
A.青蒿素可能具有强氧化性,具有杀菌消毒作用
B.青蒿素难溶于水,能溶于NaOH溶液
C.青蒿素分子中含有碳氧双键,但不能发生加成反应
D.青蒿素与纤维素一样,都属于有机高分子化合物
答案 D
解析 青蒿素分子中含有过氧键,迁移H2O2的性质可知A项正确;青蒿素分子中含有酯基,可在NaOH溶液中发生水解,B项正确;青蒿素分子中的碳氧双键在羧酸酯中,不能发生加成反应,C项正确;青蒿素不属于高分子化合物,D项错误。
7.乙酸橙花酯是一种食用香料,其结构简式如图,关于该有机物的叙述中正确的是( )
①属于芳香族化合物;②不能发生银镜反应;③分子式为C12H20O2;④它的同分异构体中可能有酚类;⑤1mol该有机物水解时只能消耗1molNaOH。
A.②③④B.①④⑤
C.①②③D.②③⑤
答案 D
解析 ①不含有苯环,不属于芳香族化合物;②不含有醛基,不能发生银镜反应;③分子式为C12H20O2;④因为仅含有三个不饱和键,所以不可能组成酚类;⑤只有水解生成的—COOH消耗NaOH;②、③、⑤正确。
8.某有机物X的结构简式如下图所示,则下列有关说法中正确的是( )
A.X的分子式为C12H16O3
B.X在一定条件下能发生加成、加聚、取代、消去等反应
C.在Ni作催化剂的条件下,1molX最多只能与1molH2加成
D.可用酸性高锰酸钾溶液区分苯和X
答案 D
解析 A项,分子式为C12H14O3;B项,不能发生消去反应(与—OH相邻的碳原子上不含有H);C项,发生加成反应,1molX最多消耗4molH2;D项,苯不能使酸性KMnO4溶液褪色,而X能使酸性KMnO4溶液褪色。
版权声明:我们致力于保护作者版权,注重分享,被刊用文章【证明苯不是单双键(2017年高考化学选择第10题预测题汇总)】因无法核实真实出处,未能及时与作者取得联系,或有版权异议的,请联系管理员,我们会立即处理! 部分文章是来自自研大数据AI进行生成,内容摘自(百度百科,百度知道,头条百科,中国民法典,刑法,牛津词典,新华词典,汉语词典,国家院校,科普平台)等数据,内容仅供学习参考,不准确地方联系删除处理!;
工作时间:8:00-18:00
客服电话
电子邮件
beimuxi@protonmail.com
扫码二维码
获取最新动态
