#高中数学#
不等式,我们作为高中生对这个概念很熟悉,经常学到、解题中会经常用到,不等式包含了很多的内容哪个包含了很多数学的性质在其中。例如对称性、传递性、加法单调性(即同向不等式可加性)、乘法单调性、同向正值不等式可乘性、正值不等式可乘方、正值不等式可开方等等很多,不等式的分类也有很多,例如有琴生不等式、均值不等式、绝对值不等式、权方和不等式、赫尔德不等式、基本不等式等等,所以不等式在高考中占有重要地位 一定不能忽视
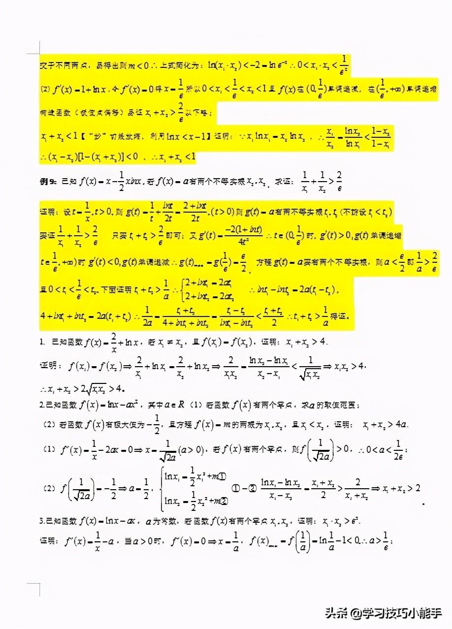
今天就帮大家根据历年高考真题总结归纳出了28个针对于对数不等式的高考核心考点及 题型解析 掌握这些核心考点及解题技巧 数学至少120
版权声明:我们致力于保护作者版权,注重分享,被刊用文章【对数不等式证明(高中数学)】因无法核实真实出处,未能及时与作者取得联系,或有版权异议的,请联系管理员,我们会立即处理! 部分文章是来自自研大数据AI进行生成,内容摘自(百度百科,百度知道,头条百科,中国民法典,刑法,牛津词典,新华词典,汉语词典,国家院校,科普平台)等数据,内容仅供学习参考,不准确地方联系删除处理!;
工作时间:8:00-18:00
客服电话
电子邮件
beimuxi@protonmail.com
扫码二维码
获取最新动态
