矩阵的逆矩阵的求法
给定矩阵A,如果存在AB = BA = I的矩阵B,则B称为A的逆矩阵。我们可以类比将一个数乘以它的倒数,得到1,当我们将一个矩阵乘以它的逆矩阵,得到单位矩阵I(参考矩阵的基本知识)。 A的逆矩阵用A-1表示。 逆矩阵被用来求线性方程组的解。 利用行列式和伴随式,我们可以很容易地求出方阵的逆矩阵。
预备知识:
什么是余子式?
什么是代数余子式?
什么是伴随矩阵?
行列式的计算(参见行列式的基本概念)
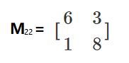
让我们考虑以下矩阵:
为了找到2的余子式,我们在2上放上两条横竖线,去掉包含2的行和列,如下所示:
剩下的就是原矩阵的2的余子式:
余子式用M表示,来源于英语Minor。方阵A的 余子式是指划掉列的元素第i行和第j所余下的行列式。
有了上面余子式的概念,就容易理解代数余子式了,它是元素的余子式乘以一个正负号(±1)。.
设A为n * n阶的任意矩阵,为(n - 1) x (n - 1)矩阵,它是通过删除元素的第i行和第j列得到。 然后,这个余子式再乘以一个符号,正负号是由(-1)的(i+j)幂运算确定。 Aij代数余子式,Aij可由下式求出:
问题:求矩阵的余子矩阵
解:
设Mij是第i行和第j列元素的余子式。矩阵A各元素的余子式的值为:
每项的代数余子式可以求出;
矩阵A的代数余子阵形成的矩阵为:
怎样求逆矩阵?
伴随矩阵:
假如某个2阶矩阵的代数余子式为:
那么:
更高阶的伴随矩阵;
换一种说法,A的伴随矩阵就是将A中的每个元素换成其代数余子式的值,然后再做转置矩阵,就形成了A的伴随矩阵。
以下结论非常重要:
只有非奇异矩阵才具有逆,即方阵a具有逆当且仅当行列式| A | ≠0。 A是可逆的。
矩阵的逆若存在, 它是唯一的,即非奇异矩阵A不能拥有不同的逆,如B和C。如果A是一个非奇异矩阵,那么A的逆矩阵为:
求矩阵逆的算法:
假设已知一个方阵A,求其逆矩阵。
1 如果行列式|A| = 0,逆矩阵不存在。 如果| A | ≠0,逆矩阵存在,并继续步骤2。
2找出A中所有元素的余子式。
3写出矩阵A的代数余子式矩阵。
4写的一个伴随矩阵。
5 求出A逆矩阵
6 通过验算A是否是单位矩阵来判断所求的逆矩阵是否正确。
例题:
求A的可逆矩阵
解:
各个元素的余子式的值为:
=-2,
=1
=-3
=2
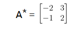
在其前面乘上(-1)i+j后,得出代数余子式的矩阵:
所以伴随矩阵(行列互换成为转置矩阵)为:
读者自己可以验证AA-1是否等于1。求逆矩阵还有一种方法请参考用高斯消元法解决线性系统问题。
版权声明:我们致力于保护作者版权,注重分享,被刊用文章【伴随矩阵证明(什么是矩阵的逆矩阵)】因无法核实真实出处,未能及时与作者取得联系,或有版权异议的,请联系管理员,我们会立即处理! 部分文章是来自自研大数据AI进行生成,内容摘自(百度百科,百度知道,头条百科,中国民法典,刑法,牛津词典,新华词典,汉语词典,国家院校,科普平台)等数据,内容仅供学习参考,不准确地方联系删除处理!;
工作时间:8:00-18:00
客服电话
电子邮件
beimuxi@protonmail.com
扫码二维码
获取最新动态
