我们同样进行拆解:柯西定理需要满足三个条件
f(x),g(x)在[a,b]内连续f(x),g(x)在(a,b)内可导g'(x)不等于0其中最后一个条件,可以推出以下式子成立:
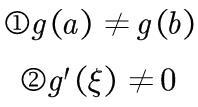
对于第二个式子,很明显成立,那么我们看看第一个式子的推导(反证法)
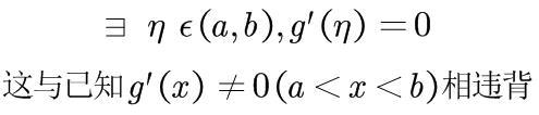
假设g(a)=g(b),那么g(x)满足罗尔定理所需条件,那么我们可以得出结论:
综上所述,当满足上述三个条件时,可使用柯西定理。
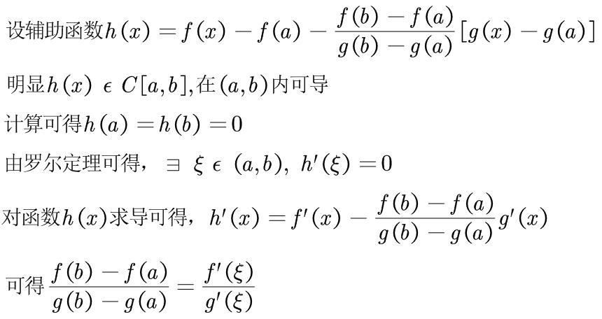
这里的辅助函数我们可以参考上篇拉格朗日定理证明所设的辅助函数,证明如下:
对比罗尔定理,拉格朗日定理和柯西定理,我们可以发现一个特点:
罗尔定理是特殊的拉格朗日定理(或在特殊情况下的)拉格朗日定理是特殊的柯西定理(或在特殊情况下的)三大中值定理需要注意的是它们所需要的条件。
版权声明:我们致力于保护作者版权,注重分享,被刊用文章【罗尔定理证明方程有根(高等数学)】因无法核实真实出处,未能及时与作者取得联系,或有版权异议的,请联系管理员,我们会立即处理! 部分文章是来自自研大数据AI进行生成,内容摘自(百度百科,百度知道,头条百科,中国民法典,刑法,牛津词典,新华词典,汉语词典,国家院校,科普平台)等数据,内容仅供学习参考,不准确地方联系删除处理!;
工作时间:8:00-18:00
客服电话
电子邮件
beimuxi@protonmail.com
扫码二维码
获取最新动态
