这是一系列文章中的第一部分,这些文章旨在以一种可理解的方式描述复(变)分析的最有趣的结果。即使你没有上过复函数理论的任何课程,你也应该能够对这个奇妙的领域有一些有价值的理解。如果你正在学习数学,我相信这个系列的文章会非常有用,因为我将介绍许多伟大的方法来看待这个理论。
让我们先从一些基础开始。
在单实变量实值函数的研究中,其连续性和可微性只依赖于两个方向的极限。一个从左到右,另一个从右到左。当然,实线上没有其他方向,因为它是一维的。
例如,为了检查连续性,一种方法是检查函数值的极限,当参数从左边接近某个数字时(比如a),与参数从右边接近a的值相同。
同理,可微性也有一个双向条件,但这是一个比连续性强的条件。
极限只能从两个方向取,这使得这些性质在实分析中相当弱,在实线上的某一点上,我们可以得到许多满足可微性准则的函数,但如果一个函数满足这个条件那么它的导数在这一点上就不一定是可微的。事实上,它甚至不能保证接近那个点的极限存在。
然而,在复数及其函数的世界里,情况就完全不同了你们马上就会看到。结果证明条件更强,因此我们有大量有用的工具和很多漂亮的定理可供选择。
实际上,在实分析中有很多问题,我们只能通过使用复分析技术来解决。
在我们深入了解一些有趣的事实之前,让我们在一些事情上达成共识。在实分析中,我们通常将实线的一个可能无限区间映射到自身。特别是,这些函数的定义域是一维的。
在讨论复函数之前,我要简单地提醒大家复数的一些性质以及它们的几何和拓扑结构。
虚数单位i满足i²= -1。
复数可以理解为由基“1”和“i”张成的二维实向量空间。复数的形式为A +bi,满足向量空间的一般规律,如分配律、交换律等。它们有大小和方向,它们应该被想象成位于ℝ²的一个平面(称为复平面)同构(意味着相同的代数结构)。
例如,复数3+4i是这个平面上的点(3,4)。更一般地说,复数a+bi是复数平面上的点(a, b)。
这个复数的向量视图很像ℝ²,但实际上有更多的结构,我们当然也可以把复数相乘。也就是说,它是数学家所谓的“环”,因为向量空间是关于它们的加法运算的交换群。
事实证明它不仅仅是一个环。因为每个非零元素(复数)都有一个逆,也就是你可以除复数,所以它是一种特殊的环,称为域。当两个复数相乘时要用到分配律。
现在我们了解了复平面。
在复分析中,我们通常研究以复平面的子集为域的函数。在你的脑海中,你可以想象一个可能变形的圆盘,它有0个或多个洞,有时是整个复平面。
特别地,函数的定义域是二维的,这就得到了一些有趣的结果。
复分析的出发点是复可微函数的概念,也称为全纯函数。
在导论中提到,可微性是指存在一定的极限,但当函数定义在二维域上时,可以从无穷多个方向逼近一个数。这对全纯函数的集合提出了很大的限制,并赋予了这些函数一些重要的性质。
在说明它们之前,让我们先探讨一下这个限制。
由于含有一个复变量的复函数将一个复数映射到一个复数,我们可以将输入和输出写成如下函数:
为了给出一个简单的例子,请考虑:
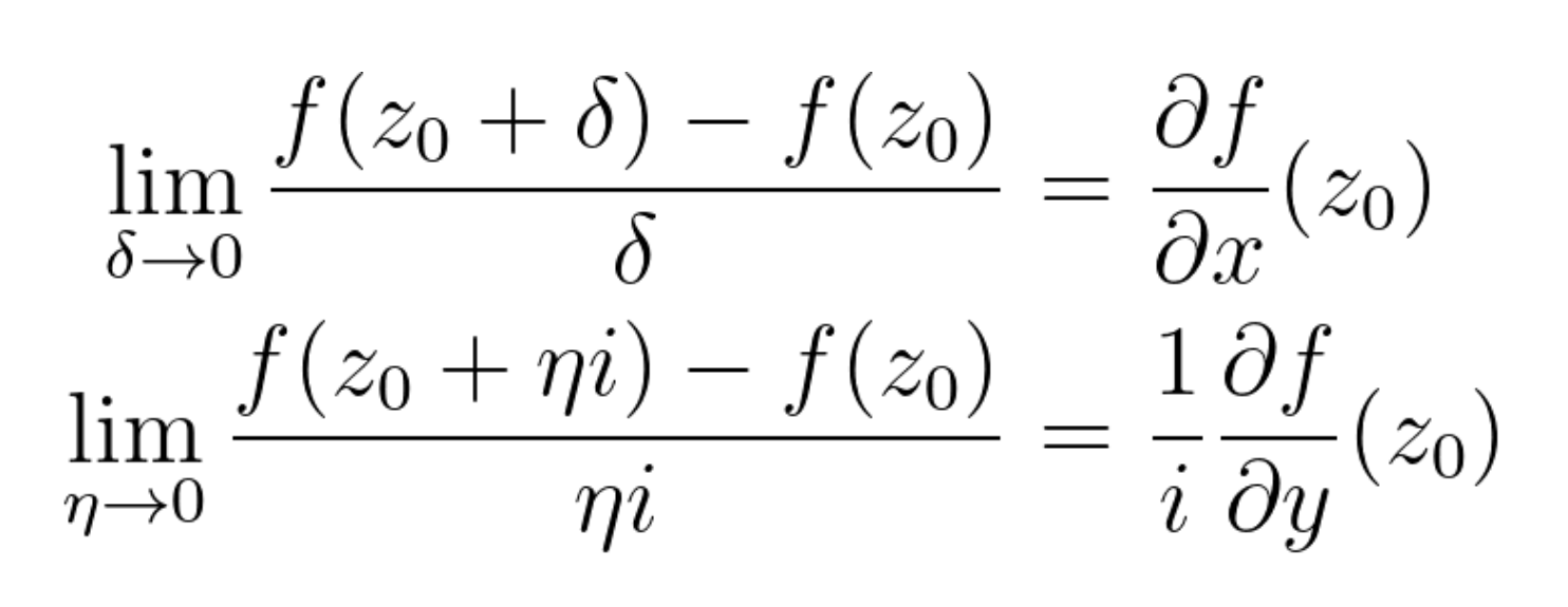
极限的方向无关紧要,这意味着,如果我们沿实轴取极限,我们会得到和沿虚轴取极限一样的结果。
让我们看看这意味着什么。
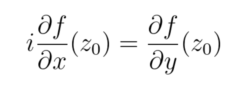
其中δ和η沿实轴运动。这两个限制必须是一样的,
当我们把f用上面的实数函数u和v展开使f = u+iv,然后把它代入我们刚刚找到的微分方程中,我们得到了一个偏微分方程组叫做柯西-黎曼方程。
上面的推导表明,每一个全纯函数都必须满足这些方程,并对它们提出了严格的要求。反之亦然。但是我们需要一些连续性的论证来证明这一点。当一个全纯函数的导数不为零时,这个函数是保角的。
如果一个函数是全纯的,也就是在包含点p的域上复可微,那么它在p处是无限次复可微的。
这个可以表述得更简洁一些,也就是复可微函数的导数是复可微的。
对于一般的实函数,这当然是不正确的。
解析函数
这也意味着全纯函数是解析的,也就是说,它们在其域内的任何点周围都有一个收敛的幂级数,并且具有一定的收敛半径。事实上,反过来也是正确的。任何解析函数都是全纯的。因此,我们有时称它们为解析函数而不是全纯函数。这两种定义在数学上是等价的,即使我们通过这两种表达表达不同的意思。我们保留这两个定义,因为还有一个实解析函数的概念,作为一个定义,它并不等同于实可微性。
如上所述,全纯函数具有幂级数展开式。幂级数有所谓的收敛半径。你应该试着把复平面上的一个圆盘想象成这个级数的定义域,这个圆盘的半径就是它的收敛半径。这意味着在圆盘的边界上至少有一点使级数发散。
正如你将在下一部分看到的,有一些方法可以绕过这些烦人的点,这同样是因为复平面是二维的。
在深入研究全纯的含义之前,我想和你们分享一个特别好的东西,那就是根的几何。我说的不是多项式的根而是平方根,立方根等等。
在学校,我们都知道平方根。4的平方根是2。我们指的是正的平方根,但是4有两个平方根,即2和-2。那么立方根呢?我们都学过实数只有一个立方根。但事实上,这是一个经过修正的真理。一个实数确实只有一个实数立方根,但实际上,在另一个维度里还有两个根,除0以外的任何数都有三个不同的立方根。
任何复数(当然也包括实数)都有n个不同的n次根。
更神奇的是,复数z的n个根对称地分布在半径为z,圆心为0的圆周上。
这解释了为什么一个实数只有一个实数立方根和两个实数平方根,因为如果它们必须围绕一个圆对称放置,那么一个根决定了其他根的位置。例如,1的一个平方根是1,但因为有两个平方根,而另一个必须在单位圆上对称放置,所以它必须是-1。
同样地,1的一个立方根是1,但另外两个根位于单位圆内接的一个顶点为1的等边三角形的顶点上。
一般来说,1的n个根构成正n边多边形的顶点,它们都在单位圆上。这些被称为统一的根。
这已经表明,通过将实数扩展到另一个维度,许多隐藏的秘密现在变得清晰,这只是我们启蒙的开始。
它就像一直在那里,我们努力在黑暗中看清。在一个更低的维度,我们只看到真实事物的影子,这使得我们不可能正确地理解它们。然而,额外的维度给了我们我们迫切需要的光。
当我们对实数函数积分时,我们在实数线的区间内积分。由于是一维的,当给出了端点时,我们除了方向之外在区间上没有太多选择。
这不是复积分的情况。当我们在复平面上有两个端点(可能是同一个点),那么我们就有无限多条曲线,我们可以对它们进行积分,因为这个区域是二维的。
这可能看起来令人难以想象,但它并不像听起来那么复杂。事实上,对于全纯函数,下列令人惊奇的事情是正确的。
当在相同的两个端点之间选择两条等高线(你可以把等高线想象成复平面上的曲线),那么如果我们可以连续地将一条等高线变形为另一条等高线(参见下面的gif),那么沿着它们的积分是相等的。
这意味着,如果在轮廓之间的区域没有洞,那么我们选择哪个轮廓都没有关系。
从纯粹的拓扑原因来看,这有一些有趣的结果。
如果一个轮廓的两个端点重合,那么如果这个轮廓所包含的空间是可收缩的,即同伦(同调,同源)到一个点,那么这个轮廓的积分是零。这就是以奥古斯汀-路易斯·柯西命名的柯西定理。
如果函数在这个定义域上是全纯的,那么积分就是零。
对于f来说,它是在含有γ的域D上的全纯函数。
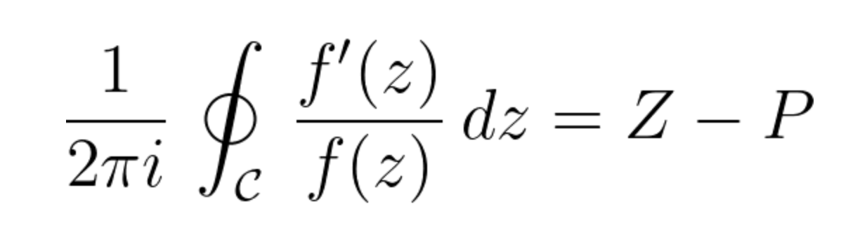
回想一下,全纯函数在它们的定义域上没有极点。它们很好处理,但是有时你想处理的函数在它们的定义域中都是全纯的。
这些函数称为亚纯函数。它们的伟大之处在于它们具有全纯性质但也允许有极点或奇点。数学中一些最重要的函数是亚纯函数,包括黎曼Zeta函数、Gamma函数、1/z等。
如果f是封闭轮廓C内和上的亚纯函数,且f在C上没有零点或极点,则:
其中Z是0点的个数,P是C中的极点的数目。
很有趣的是,积分只关心拓扑而不关心几何!曲线的面积和位置并不重要,但它是封闭的,函数在复平面轮廓内的子集中有极点和零点,这很重要。
在结束这部分之前,让我们回顾一下所学的内容。
由于一维几何和二维拓扑的不同,复函数比实函数有更严格的限制,如果它们需要满足一些有极限的条件。这反过来又导致了满足这些条件的函数的强性质,使得全纯函数在解决复分析和实分析问题时非常有用。此外,由于称为轮廓积分的复积分只依赖于轮廓的同伦等价类而不依赖于路径本身,因此拓扑领域变得有用。这导致了奥古斯汀-路易斯·柯西的发现,并可用于计算亚纯函数的零点和极点,我们将很快进行研究。在下一部分,我们将继续研究全纯函数和亚纯函数的美妙之处,因为正如你将看到的,它们有一些性质可以应用到量子物理中,但还没有完全理解。它涉及到给发散级数赋值以及从函数中提取深层信息,即使是在函数的定义域之外。
许多人认为数学是一门枯燥的科学。然而,实际上,这是一门需要大量想象力的科学。
版权声明:我们致力于保护作者版权,注重分享,被刊用文章【证明函数可微(复函数的美丽世界)】因无法核实真实出处,未能及时与作者取得联系,或有版权异议的,请联系管理员,我们会立即处理! 部分文章是来自自研大数据AI进行生成,内容摘自(百度百科,百度知道,头条百科,中国民法典,刑法,牛津词典,新华词典,汉语词典,国家院校,科普平台)等数据,内容仅供学习参考,不准确地方联系删除处理!;
工作时间:8:00-18:00
客服电话
电子邮件
beimuxi@protonmail.com
扫码二维码
获取最新动态
