11月28日李文林老师受北京林业大学数学社邀请,为同学们开展了一场精彩的数学科普讲座,题目是《瘟疫中的科学巨人 ——漫话微积分的发展,兼议数学之美》。本文系讲座记录稿,整理发布以供大家学习参考。数学经纬网经授权发布。
主讲人简介:
李文林
中科院数学与系统科学研究院研究员,我国著名的数学史专家,曾任数学研究所副所长、全国数学史学会理事长。李文林老师长期研究数学史,曾发表过大量关于数学史的研究论文,著有《数学史概论》等重要学术著作,为我国数学史的研究作出了重大贡献。
本文目录
1疫情中的伟大发明
2人类精神的最高胜利
3数学之美
4讲座提问355年前(1665年)的冬春之交,一场瘟疫席卷伦敦并向整个英格兰蔓延,从那时起大约两年的时间,被形容为英国历史上的“至暗时刻”。鼠疫肆虐,经济停摆,学校关闭,百姓惶惶不可终日。整个疫情期间,据统计全英有8-10万人死亡。形势十分惨烈。
时年23岁的牛顿正在剑桥大学就学,迫于疫情,1665年8月,剑桥大学关闭,牛顿只好回到家乡——林肯郡伍尔索村躲避瘟疫。正是随后的两年,竟成为牛顿科学生涯中的黄金岁月:发现万有引力,创立颜色理论,制定微积分,......,可以说牛顿一生大多数科学创造的蓝图,都是在这两年绘就的。
牛顿对微积分问题的研究始于1664年秋,当时他反复阅读笛卡尔的《几何学》,对笛卡尔求切线的“圆法”发生兴趣并试图寻找更好的方法。与此同时,牛顿钻研沃利斯的著作《无穷算术》,直接引导了有理数幂的二项式定理的发现。二项式定理在牛顿发明微积分过程中扮演了重要角色。1665年夏至1667年春,牛顿在家乡躲避瘟疫期间,继续探讨微积分并取得了突破性进展:
1665.11 正流数术(微分法)
1666.5 反流数术(积分法)
1666.10 《流数简论》(历史上第一篇微积分文献)牛顿
牛顿在《流数简论》中提出了两个基本问题:
(a)设有两个或更多个物体A,B,C,...,在同一时刻内描写线段x,y,z,...。已知表示这些线段关系的方程,求它们的速度p,q,r,...的关系。
(b)已知表示线段x和运动速度p、q之比p/q的关系方程式,求另一线段y。
牛顿对多项式情形给出(a)的解法,以下举例说明牛顿的解法:
牛顿的“反流数法”,即问题(b)的解法,基本上是上述流数法的逆步骤。
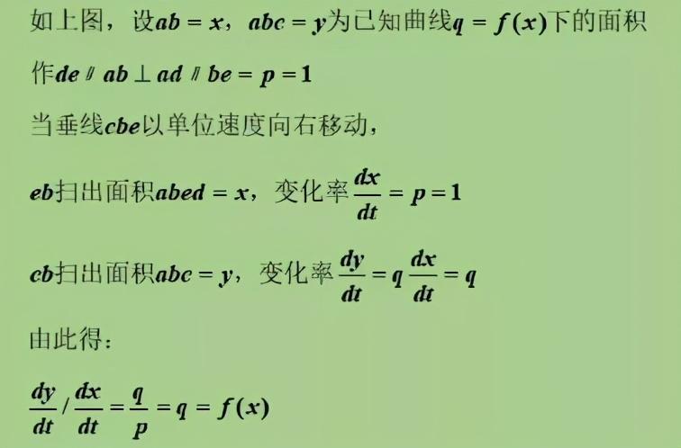
牛顿在《简论》中明确提出微积分基本定理并给出了一个证明。他如此来推导微积分基本定理:
这就是说,面积y在点x处的变化率是曲线在该处的q值。这就是微积分基本定理。利用问题 ( b )的解法可求出面积y。牛顿在《简论》中明确提出微积分基本定理并给出了一个证明。他如此来推导微积分基本定理:
1667春,疫情得到控制,牛顿回到剑桥,但未发表其微积分成果,只在同事之间传阅。1667年10月,他凭借着制造望远镜,成为三一学院成员。由于流数论中很多概念不严格,无穷小到底是什么说不清(贝克莱批评其为召之即来挥之即去的“鬼魂”)。所以,此后近30年里,牛顿一直在发展、完善自己的流数理论。其主要成果为:三篇论文,一本巨著。
三篇论文——(1)《运用无限多项方程的分析》(简称《分析学》,完成于1669年,发表于1711年)。牛顿从运动学观点向不可分量观点摇摆。(2)《流数法与无穷级数》(简称《流数法》,完成于1671年,发表于1736年)。牛顿又回到了运动学观点。(3)《曲线求积术》(简称《求积术》,完成于1691年,发表于1704年,《光学》附录 )。牛顿提出了“首末比方法”──极限理论。
一本巨著——《自然哲学中的数学原理》(简称《原理》,发表于1687年)。这是牛顿微积分理论的首次发表。为什么在1687年开始发表?一是看到莱布尼茨发表了微积分理论,着急了。二是因为天文学家哈雷的敦促。哈雷与牛顿也是好朋友,他认识到牛顿用微积分推导引力反平方律与行星椭圆轨道之间的关系的重大意义,决定出资帮助牛顿尽快发表其著作。
纪念《自然科学的数学原理》出版300周年邮票
《自然哲学中的数学原理》是牛顿公开发表其微积分理论的最早著作,但其中的流数理论披上了几何的外衣,使得很多人读起来感到困难。牛顿一生当中对无穷小给了三种表述:第一种,运动学观点,时间的无限小增量瞬;第二种,不可分量观点,一种实无穷的观点;第三种,首末比方法,极限观点。牛顿最终倾向于第三种表述,但在《原理》中还是保留了其它二种观点,这说明他很清楚建立严格的微积分基本概念的困难。
牛顿将自古希腊以来求解无限小问题的各种特殊技巧统一为两类普遍的算法——正、反流数术亦即微分与积分,并证明了二者的互逆关系而将这两类运算进一步统一成整体。因此,我们说牛顿发明了微积分。
接下来李文林老师详述牛顿的生平经历,评价其为“站在巨人肩膀上的科学巨人”,并重点介绍了牛顿谦逊和勤奋的科学精神。
谦逊——“如果我看得更远些,那是因为我站在巨人的肩膀上。” “我不知道世人将怎样看我。我自己认为我不过是一个在海边玩耍的小孩,偶然拣到一些比寻常更光滑的卵石或更美丽的贝壳并因此沾沾自喜。而在我面前,却仍然是一片浩瀚未知的真理的海洋。”
勤奋——“心里总是装着研究的问题,等待那最初的一线希望渐渐地变成普照一切的光明。”“除了顽强的毅力和失眠的习惯,牛顿不承认自己与常人有什么区别。”李文林老师总结说:勤奋是成才的必要条件,大才必有大勤奋!
微积分发明到底有什么意义?恩格斯说过,微积分的发明是人类精神的最高胜利!为什么给这么高的评价?首先从数学上,微积分实现了从常量向变量、有限向无限的过渡。实际上最重要的是有限向无限的过渡。在应用方面,微积分提供了描述运动与变化的工具,从而空前地扩展了数学的应用范围与能力。
首先来看牛顿本人在《原理》中的应用。《原理》从三条基本的力学定律出发,运用微积分工具,严格地推导证明了包括开普勒行星运动三大定律、万有引力定律等在内的一系列结论。牛顿还将微积分应用于流体运动、声、光、潮汐、彗星乃至宇宙体系,充分显示了微积分这一新数学工具的巨大威力。
在牛顿与莱布尼茨之后,数学家们一方面大胆前进,大大扩展了微积分的应用范围,使产生了一系列新的分支,这些分支与微积分自身一起形成了被称为“数学分析”的广大领域,一方面努力探索使微积分严格化的途径,最终在19世纪建立了微积分的严格逻辑基础 。这都极大增强了微积分的应用范围与能力。
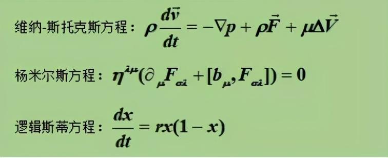
由微积分引起的新分支包括常微分方程论、偏微分方程论、变分法、微分几何、分析力学等。李文林老师从自己的本专业——偏微分方程出发,介绍了8种为世界带来重大变化的微分方程,它们分别为:
最后,李文林老师说:“微分方程的出发点是微积分,没有微积分就没有微分方程。由此也可看到,描述世界也好,改造世界也好,都离不开微积分。”
未完待续。
版权声明:我们致力于保护作者版权,注重分享,被刊用文章【微积分基本定理证明(漫话微积分的发展及意义)】因无法核实真实出处,未能及时与作者取得联系,或有版权异议的,请联系管理员,我们会立即处理! 部分文章是来自自研大数据AI进行生成,内容摘自(百度百科,百度知道,头条百科,中国民法典,刑法,牛津词典,新华词典,汉语词典,国家院校,科普平台)等数据,内容仅供学习参考,不准确地方联系删除处理!;
工作时间:8:00-18:00
客服电话
电子邮件
beimuxi@protonmail.com
扫码二维码
获取最新动态
