(许兴华数学)
许兴华数学(东方IC图片)
昨天下午,今日头条网友50119885961邀请我写一写关于“拉格朗日中值定理的证明”(严格地说,这个问题不属于高中数学,而是高等数学内容。但这个定理在高考中非常有用!)。那好吧!今天,我们就来研究一下这个内容,并附以这个定理在高考题中的典型应用,如果认真研读,同学们一定会从中受益。
“拉格朗日中值定理”是高等数学的微分学的基础定理之一,它是沟通函数及其导数之间关系的桥梁。在高等代数与数学分析中的一些理论推导中起着非常重要的作用。目前的高中数学教材中没有出现这一定理,在大学课本中对拉格朗日中值定理的应用也只是简单的举了个别例子,而很多研究者也只是研究了它在某个方面的应用,并没有高考数学中的典型例子,所以研究“拉格朗日中值定理”在高考中的应用,要求同学们很好正确地理解和掌握它是非常有用的,它往往可以举一反三,触类旁通,从而解决与此有关的问题时出奇制胜。
要证明这个定理,需要先证明一个预备定理,即下面的“罗尔定理”:
下面,我们再用“罗尔定理”来证明“拉格朗日中值定理”:
1.证明函数的单调性
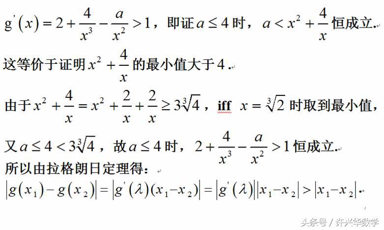
2.证明不等式
3.在高考数学中的应用
近几年,以高等数学为背景的高考命题成为热点.许多省市高考试卷有关导数的题目往往可以用“拉格朗日中值定理”解答.现在我们将通过一些具体的高考试题,利用拉格朗日中值定理解答,从而体现高观点下用高等数学解高中题的妙处.
【小结点评】这道题用初等数学的方法证明较为冗长,而且技巧性较强.因而思路较为突兀,大多数考生往往难以想到.相比之下,如果会用“拉格朗日中值定理证明来解,思路就较为自然、流畅,这充分体现了高观点解题的优越性,说明了学习一些简单的高等数学对解答高考数学压轴题显得非常重要.
【关于“许兴华数学”】
本头条号是南宁三中许兴华老师的今日头条号。许兴华老师是中学高级教师,南宁市学科带头人。
非常欢迎您关注头条号“许兴华数学”,获取更多的数学知识、数学方法和解题技巧!
在不久的将来,我们相信,您将会深切体会到:
喜爱数学,如虎添翼!精通数学,天下无敌!
版权声明:我们致力于保护作者版权,注重分享,被刊用文章【中值定理证明(跟名校重点中学教师学习高考数学)】因无法核实真实出处,未能及时与作者取得联系,或有版权异议的,请联系管理员,我们会立即处理! 部分文章是来自自研大数据AI进行生成,内容摘自(百度百科,百度知道,头条百科,中国民法典,刑法,牛津词典,新华词典,汉语词典,国家院校,科普平台)等数据,内容仅供学习参考,不准确地方联系删除处理!;
工作时间:8:00-18:00
客服电话
电子邮件
beimuxi@protonmail.com
扫码二维码
获取最新动态
