数学很难,它们需要抽象的思维和利用某些逻辑基本规则运算数学符号的能力。这就是为什么在整个数学史上,我们想出了许多方法来简化这种复杂性,以使数学不那么复杂。相量(Phasor)就是一个典型的例子。但是,相量概念背后的直觉究竟是什么,它们在现实世界中有哪些应用?
三角函数和指数函数是数学中使用最广泛的函数之一。它们帮助我们描述了大量的自然现象。让我们快速回顾一下它们的一些特性,因为我们在研究相位时将会用到这些知识。
正弦函数
余弦和正弦。可能是最基本的周期函数。余弦和正弦分别是一个围绕单位圆运动的点的x和y坐标。这就是为什么它们被用于物理学的各个领域(以及数学)以描述任何形式的振荡。
尽管它们在物理学和数学学科中都极为重要,但从纯代数的角度来看,余弦和正弦并不那么容易使用。例如,三角函数的加法和乘法比较复杂,为此还制定了一个庞大的公式表,作为涉及三角函数运算的参考。
除了加法和乘法,当我们看一下它们的导数和积分时,就会发现余弦和正弦的另一个缺点。正如我们所知,余弦的导数是正弦,反之亦然。这看起来很简单,那么问题出在哪里?让我们来看一个具有上述所有特性的函数。
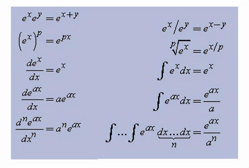
它是函数f(x)=e^x,其中e是欧拉数(e=2.71828),自变量 "x "作为指数出现。在所有的指数函数中,这是迄今为止最重要的一个。抛开所有现实世界的应用,以e为底的指数函数是所有数学中最容易运算的函数。我们可以花很多时间来讨论它的属性,但由于你们已经很熟悉了,我将在下面的图片中总结一下。
指数函数在大多数运算中都比较简单,从乘法和平方根到导数和积分。
但为什么我们要说这些呢?如果我们能用指数函数代替数学和物理中遇到的任何正弦函数不是很好吗?从代数的角度来看,这将极大地简化任何问题。这就是相量的主要思想,也是相量在物理学家和数学家中如此受欢迎的原因。让我们看看我们如何才能真正实现这一目标。
可以说,这有数学中最美的公式之一。欧拉公式在三角函数和指数函数之间架起了一座桥梁。这个公式是由欧拉在1748年发现的。理查德-费曼(Richard Feynman)将这个公式称为 "数学中最杰出的、令人震惊的公式之一"。
上述公式中的符号'i'是虚数单位,你可以把它仅仅看作是一个数字。
现在终于到了深入研究相量概念的时候了。利用Re{}和Im{}函数,我们可以将余弦和正弦分别表示为复数指数的实部和虚部。
在文章的剩下部分,我们将选择余弦作为重点,但我们要讲的一切也适用于正弦的情况。通过分解上面公式中的指数,我们得到:
通过分解指数,我们得到两个独立指数的乘积。第一个指数只包含参数phi,即余弦的初始相位,而另一个指数则包含角频率omega和自变量t。在大多数情况下,无论是物理学还是工程学,系统中都存在许多频率相同的正弦。然而,它们的振幅和相位将是不同的。这就是相量发挥作用的地方。
相量是一个复数,用来表示正弦函数。这个复数包含函数的振幅和初始相位,但它不包含其频率(重点)。
你已经可以看到为什么相量如此重要。如果我们有一个系统,所有的正弦波都有相同的频率,那么我们只需要一个数字,一个复数来表示每一个正弦信号。如果我们有了这个数字,那么我们所要做的就是用它乘以包含频率信息的exp(jωt),来得到实际的正弦波。
复数可以被认为是复平面上的向量,这个平面是由垂直的虚轴和水平的实轴构造的。向量的长度代表复数的振幅,而与正实轴的角度代表其相位。
正如我们所看到的,振幅和相位是我们完全描述向量所需要的一切。这就是为什么频率不会出现在相量中。它不是向量的内在特征。相反,频率告诉我们这个箭头在复平面上逆时针旋转的速度。频率越大,向量的旋转速度就越快。
由于相量使我们能够用复数替代正弦函数,我们可以在遇到正弦函数时使用它们。从电路和电磁场,一直到波浪和量子力学,相量似乎都是主宰。
电路
在电路中,当我们处理交变电流和电压时,相量就会派上用场。在这种情况下,电流和电压都是振荡的,因此,我们可以使用三角函数来模拟它们。此外,它们还能帮助我们定义一个元件的阻抗,简单地说,这个概念使我们能够用一个数值为复数的电阻来代替任何元件如电容器、电感器等。
波动力学
波动力学是研究波的物理学领域。波是一种扰动或振荡,它在空间和时间中传播,传递能量和动量,但不传递物质。作为一种振荡,还有什么比使用正弦波更好的方式来描述它们呢?同样,我们用欧拉公式把这个正弦波变成一个指数。
因此:
应该注意的是,大多数时候我们完全省略Re{}函数,直接将波定义为复数指数。我们这样做是为了避免一遍又一遍地重写Re{}。相反,当我们找到问题的答案时,我们会在最后说,为了得到实际的实数波,我们取我们所找到的任何解的实数部分。
考虑到这一点,如果我们有一个包含许多相同频率ω的波的物理系统,我们可以通过使用相量使数学变得更加简单。就像我们之前所做的那样,我们把上面的复指数分解成两个指数,我们舍弃有频率成分的那个指数来获得相量。
所有包含波动力学中相量的概念都自然延伸到量子力学和电磁学。在电磁学中,振荡的量是电场和磁场,我们用相位数来描述它们。在量子力学中,要复杂一些,因为我们现在要处理的是概率波,但从数学的角度来看,同样的原则也适用。
指数函数的数学运算比三角函数的运算更简单。我们使用欧拉公式来实现转换。
此外,如果我们处理的是一个所有振荡频率相同的系统,我们可以将欧拉公式得到的指数分成两半,在代数运算中不考虑频率部分。因此,在这种情况下,只需要一个单一的复数,即相量,就可以完全描述我们系统中的每个正弦波。
版权声明:我们致力于保护作者版权,注重分享,被刊用文章【用向量法证明正弦定理(强大的相量)】因无法核实真实出处,未能及时与作者取得联系,或有版权异议的,请联系管理员,我们会立即处理! 部分文章是来自自研大数据AI进行生成,内容摘自(百度百科,百度知道,头条百科,中国民法典,刑法,牛津词典,新华词典,汉语词典,国家院校,科普平台)等数据,内容仅供学习参考,不准确地方联系删除处理!;
工作时间:8:00-18:00
客服电话
电子邮件
beimuxi@protonmail.com
扫码二维码
获取最新动态
