设
在
处的某邻域内具有二阶连续导数,且
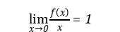
,证明:
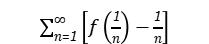
(1)级数
收敛;(2)级数
绝对收敛
【分析】:第一问,首先考虑导数的定义,证明级数是正项级数,再利用题中的极限条件,构造级数的比较法来证明;第二问通过一般项,利用二阶导数的定义,再利用泰勒展开公式,同理构造一个等价的级数,间接利用来证明。
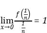
【解析】:(1)由极限
,且函数有二阶连续导数,则有
,
,再根据极限的保号性,在
的领域内,
,故
,由正项级数知,
,而级数
发散,所以原级数也发散;
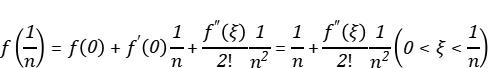
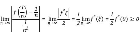
(2)由(1)知,
在
处的函数值以及一阶导数值均知道,由泰勒展开公式
同时
在
处由二阶连续导数,根据导数定义知
由于级数
收敛,所以原级数绝对收敛。
作者:小熊
写作日期:10.2
版权声明:我们致力于保护作者版权,注重分享,被刊用文章【大学极限证明(一道利用极限定义以及泰勒展开加级数判别法证明级数收敛性的问题)】因无法核实真实出处,未能及时与作者取得联系,或有版权异议的,请联系管理员,我们会立即处理! 部分文章是来自自研大数据AI进行生成,内容摘自(百度百科,百度知道,头条百科,中国民法典,刑法,牛津词典,新华词典,汉语词典,国家院校,科普平台)等数据,内容仅供学习参考,不准确地方联系删除处理!;
工作时间:8:00-18:00
客服电话
电子邮件
beimuxi@protonmail.com
扫码二维码
获取最新动态
